CONTENTS

Executive Summary........................................................................................................................................................................ 4

1.             Basic Project Information............................................................................................................................................... 5

2.             Water Quality........................................................................................................................................................................ 7

3.             Conclusion........................................................................................................................................................................... 20

 

 

Appendix A             Master Programme

 

Appendix B             Overview of Desalination Plant in Tseung Kwan O

Appendix C             Baseline Water Quality Monitoring Schedule

Appendix D             Baseline Water Quality Monitoring Data

Appendix E             HOKLAS Laboratory Certificate

Appendix F             Water Quality Monitoring Equipment Calibration Certificate

 

 

 


EXECUTIVE SUMMARY

 

Introduction

 

A1.      The Project, Design, Build and Operate First Stage of Tseung Kwan O Desalination Plant (TKODP), is a Designated Project under the Environmental Impact Assessment Ordinance (Cap. 499) (EIAO) and is currently governed by a Further Environmental Permit (EP No. FEP - 01/503/2015/A) for the construction and operation of the Project.

 

A2.      In accordance with the approved Environmental Monitoring and Audit (EM&A) Manual for the Project, baseline environmental monitoring for marine water quality should be carried out by Environmental Team (ET), Acuity Sustainability Consulting Limited (ASCL) prior to the commencement of marine construction works. Pursuant to FEP Condition 3.4, Baseline Monitoring Report shall be submitted to the Director within 2 weeks before the commencement of construction of the Project for record.

 

A3.      This is the Baseline Water Quality Monitoring Report, prepared by ASCL, for the Project summarizing the baseline water quality monitoring results at and around Tseung Kwan O Area 137 (TKO 137) during the period from 12 May 2020 to 6 June 2020.

 

 

 


1.            BASIC PROJECT INFORMATION

 

1.1.           BACKGROUND

1.1.1.       The Jardine Engineering Corporation, Limited, China State Construction Engineering (Hong Kong) Limited and Acciona Agua, S.A. Trading As AJC Joint Venture (AJCJV) is contracted to carry out the Design, Build and Operate First Stage of Tseung Kwan O Desalination Plant (DPTKO) under Contract No. 13/WSD/17 (the Project).

 

1.1.2.       Acuity Sustainability Consulting Limited (ASCL) is commissioned by AJCJV to undertake the Environmental Team (ET) services as required and/or implied, both explicitly and implicitly, in the Environmental Permit (EP), Environmental Impact Assessment Report (EIA Report) (Register No. AEIAR-192/2015) and Environmental Monitoring and Audit Manual (EM&A Manual) for the Project; and to carry out the Environmental Monitoring and Audit (EM&A) programme in fulfillment of the EIA Report¡¦s EM&A requirements and Contract No. 13/WSD/17 Specification requirements.

 

1.1.3.       Pursuant to the Environmental Impact Assessment Ordinance (EIAO), the Director of Environmental Protection granted the Environmental Permit (No. EP-01/503/2015) and Variation of Environmental Permit (No. EP-01/503/2015/A) to Water Supplies Department (WSD); and granted the Further Environmental Permit (No. FEP-01/503/2015/A) to AJCJV for the Project.

 

1.1.4.       According to the approved EM&A Manual, baseline environmental monitoring for marine water quality should be conducted to review the baseline conditions prior to the commencement of marine construction works for and establish Action and Limit Levels.

 

1.1.5.       Pursuant to Condition 3.4 of the FEP, the AJCJV shall submit a Baseline Monitoring Report at least 2 weeks before the commencement of construction of the Project.

 

1.1.6.       The master programme and overall view of TKODP alignment is shown in Appendix A and Appendix B respectively.

 

1.2.           PURPOSE OF THE BASELINE WATER QUALITY MONITORING REPORT

 

1.2.1.       The purposes of this Baseline Water Quality Monitoring Report are to:

 

-             Summarise and present the findings of baseline marine water quality including monitoring locations, equipment, period, methodology, results and observations: and

-             Establish the Action and Limit (A/L) levels in accordance with the EM&A Manual for the subsequent impact monitoring during marine construction stage.

 

Water Quality

 

 

 


1.2.2.       Baseline water quality monitoring was carried at thirteen monitoring stations, which are located at and around TKO 137 area. This Baseline Water Quality Monitoring Report contains baseline findings of these thirteen monitoring stations.

 

1.3.           REPORT STRUCTURE

 

1.3.1.       This Baseline Water Quality Monitoring Report comprises the following sections:

 

-             Section 1 introduces the background of the Project and purpose of this Report;

-             Section 2 presents the baseline water quality monitoring methodologies, requirements, results, influencing factors including major site activities and weather conditions, as well as determination of the action and limit levels of marine water quality; and

-             Section 3 presents concludes the findings of baseline water quality monitoring.

 

 

 


2.                WATER QUALITY

 

2.1.           MONITORING REQUIREMENTS

 

2.1.1.       To ensure no adverse water quality impact, water quality monitoring is recommended to be carried out at the nearby water sensitive receivers (WSRs) during construction phase including dredging activities and marine construction works.

 

2.1.2.       In accordance with the EM&A Manual, baseline water quality monitoring should be conducted 3 days per week for 4 weeks to obtain background water quality levels at thirteen monitoring stations. The interval between two sets of monitoring shall not be less than 36 hours.

 

2.2.           WATER QUALITY PARAMETERS, TIME AND FREQUENCY

 

2.2.1.       Baseline Marine Water Quality Monitoring was conducted 3 days per week for 4 weeks between 12 May 2020 and 6 June 2020.

 

2.2.2.       Dissolved oxygen (DO), turbidity, suspended solids (SS) levels, salinity, pH and temperature were monitored at all monitoring stations during mid-flood and mid-ebb tides at three water depths for Baseline Marine Water Quality Monitoring.

 

2.2.3.       Table 2.1 summarizes the monitoring parameters, frequency and duration of the baseline water quality monitoring. The monitoring location/position, time, water depth, sampling depth, tidal stages, weather conditions, sea conditions, current direction, velocity and any special phenomena or work underway nearby were also recorded. The monitoring schedule is provided in Appendix C.

 

Table 2.1 Water Quality Monitoring Parameters, Frequency and Duration

 

Parameter, unit

Frequency

No. of Depths

-          Water Depth(m)

-          Temperature(oC)

-          Salinity(ppt)

-          pH (pH unit)

-          Dissolved Oxygen (DO)(mg/L and % of saturation)

-          Turbidity(NTU)

-          Suspended Solids (SS), mg/L

-          Iron

-          Current Direction

-          Current Velocity (m/s)

 

 

Baseline water quality monitoring:

3 days per week, at mid-flood and mid-ebb tides, for a period of 4 weeks

 

3 water depths: 1m below sea surface, mid-depth and 1m above sea bed.

If the water depth is less than 3m, mid-depth sampling only.

If water depth less than 6m, mid- depth may be omitted.

 

 

 


2.3.           WATER QUALITY MONITORING LOCATIONS

 

2.3.1.       Monitoring Equipment

 

For baseline water quality monitoring, the following equipment will be used:

 

Dissolved Oxygen and Temperature Measuring Equipment - The instrument will be a portable, weatherproof dissolved oxygen measuring instrument complete with cable, sensor, comprehensive operation manuals, and will be operable from a DC power source. It will be capable of measuring: dissolved oxygen levels in the range of 0 - 20 mg/L and 0 - 200% saturation; and a temperature of 0 - 45 degrees Celsius. It shall have a membrane electrode with automatic temperature compensation complete with a cable of not less than 35 m in length. Sufficient stocks of spare electrodes and cables shall be available for replacement where necessary (e.g. YSI model 59 DO meter, YSI 5739 probe, YSI 5795A submersible stirrer with reel and cable or an approved similar instrument).

 

Turbidity Measurement Equipment - The instrument will be a portable, weatherproof turbidity- measuring unit complete with cable, sensor and comprehensive operation manuals. The equipment will be operated from a DC power source, it will have a photoelectric sensor capable of measuring turbidity between 0 - 1000 NTU and will be complete with a cable with at least 35 m in length (for example Hach 2100P or an approved similar instrument).

 

Salinity Measurement Instrument - A portable salinometer capable of measuring salinity in the range of 0 - 40 ppt will be provided for measuring salinity of the water at each monitoring location.

 

Water Depth Gauge - A portable, battery-operated echo sounder (for example Seafarer 700 or a similar approved instrument) will be used for the determination of water depth at each designated monitoring station. This unit will preferably be affixed to the bottom of the work boat if the same vessel is to be used throughout the monitoring programme. The echo sounder should be suitably calibrated. The ET shall seek approval for their proposed equipment with the client prior to deployment.

 

Current Velocity and Direction - No specific equipment is recommended for measuring the current velocity and direction. The environmental contractor shall seek approval of their proposed equipment with the client prior to deployment.

 

Positioning Device - A Global Positioning System (GPS) shall be used during monitoring to allow accurate recording of the position of the monitoring vessel before taking measurements. The Differential GPS, or equivalent instrument, should be suitably calibrated at appropriate checkpoint (e.g. Quarry Bay Survey Nail) to verify that the monitoring station is at the correct position before the water quality monitoring commence.

 

Water Sampling Equipment - A water sampler, consisting of a PVC or glass cylinder of not less than two litres, which can be effectively sealed with cups at both ends, will be used (e.g. Kahlsico Water Sampler 13SWB203 or an approved similar instrument). The water sampler will have a positive latching system to keep it open and prevent premature closure until released by a messenger when the sampler is at the selected water depth.

 

Total Residual Chlorine for Discharge of Sterilization Water - Total residual chlorine (TRC) shall be measured in-situ using a handheld colorimeter with its testing toolkits.

 

2.3.2.       Sampling / Testing Protocols

 

All in situ monitoring instruments will be checked, calibrated and certified by Australian Laboratory Services (ALS) accredited under HOKLAS or any other international accreditation scheme before use, and subsequently re-calibrated at monthly intervals throughout the stages of the water quality monitoring. Responses of sensors and electrodes will be checked with certified standard solutions before each use. The HOKLAS laboratory certificate was presented in Appendix E.

 

On-site calibration of field equipment shall follow the ¡§Guide to On-Site Test Methods for the Analysis of Waters¡¨, BS 1427: 2009. Sufficient stocks of spare parts shall be maintained for replacements when necessary. Backup monitoring equipment shall also be made available so that monitoring can proceed uninterrupted even when equipment is under maintenance, calibration etc.

 

2.3.3.       Laboratory Measurement and Analysis

 

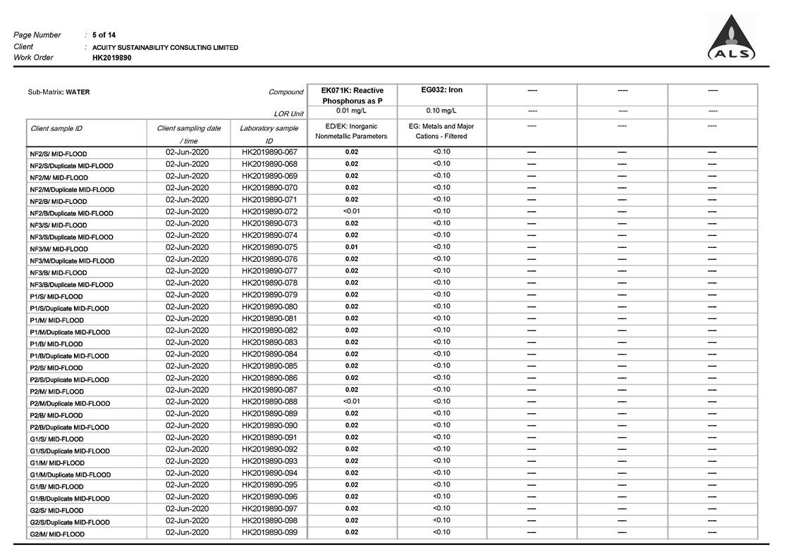
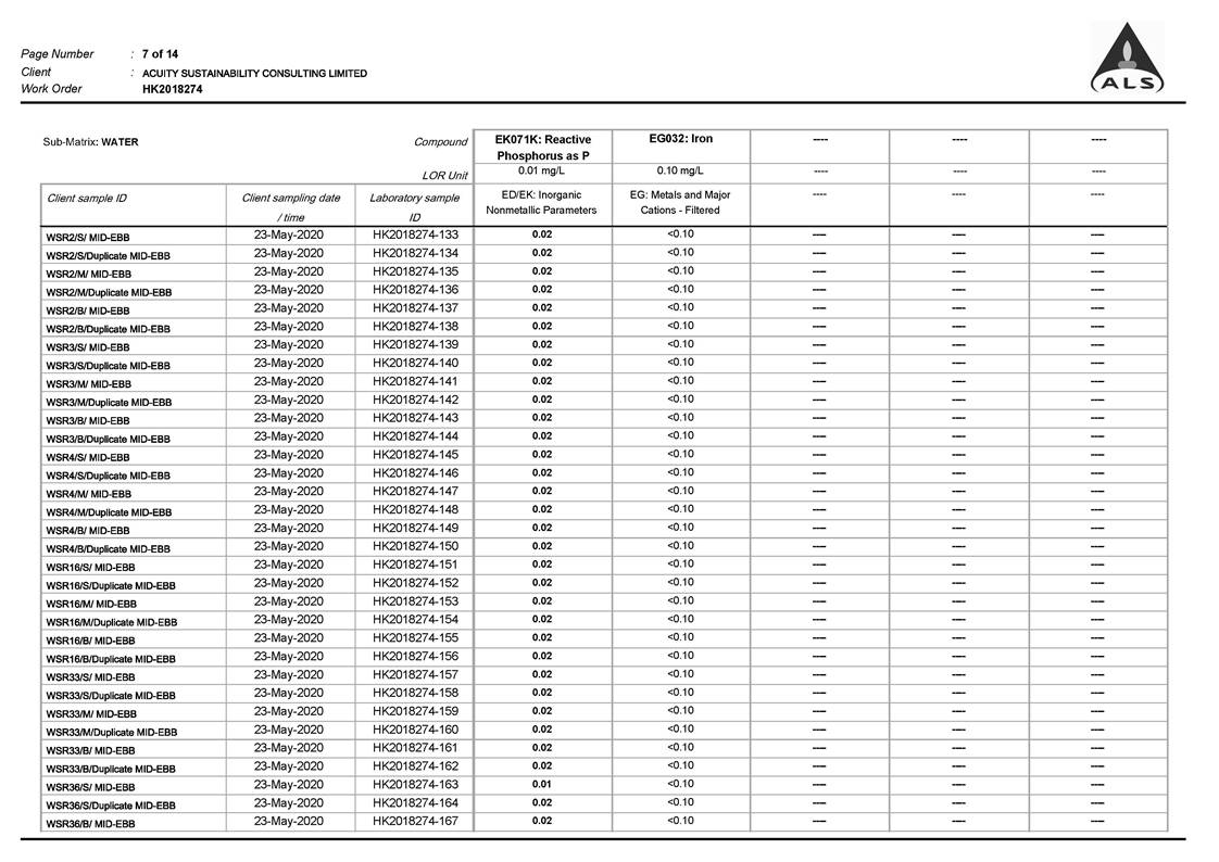
All laboratory work shall be carried out in ALS (HOKLAS accredited laboratory). Sufficient volume of each water sample shall be collected at the monitoring stations for carrying out the laboratory analyses. Using chain of custody forms, collected water samples will be transferred to an HOKLAS accredited laboratory for immediate processing. The determination work shall start within the next working day after collection of the water samples. The laboratory measurements shall be provided to the client within 5 working days of the sampling event. Analytical methodology and sample preservation of other parameters will be based on the latest edition of Standard Methods for the Examination of Waste and Wastewater published by APHA, AWWA and WPCF and methods by USEPA, or suitable method in accordance with requirements of HOKLAS or another internationally accredited scheme. The submitted information should include pre-treatment procedures, instrument use, Quality Assurance/Quality Control (QA/QC) details (such as blank, spike recovery, number of duplicate samples per-batch etc), detection limits and accuracy. The QA/QC details shall be in accordance with requirements of HOKLAS or another internationally accredited scheme.

 

Parameters for laboratory measurements, their standard methods and their detection limits are presented in Table 2.2.

 


Table 2.2 Laboratory measurements, standard methods and corresponding detection limits of marine water quality monitoring

 

Parameters

Standard Methods

Detection Limit

Reporting Limit

Precision

Dissolved oxygen (mg/L)

Instrumental, CTD

0.1

-

¡Ó25%

Temperature (oC)

Instrumental, CTD

0.1

-

¡Ó25%

pH

Instrumental, CTD

0.1

-

¡Ó25%

Turbidity (NTU)

Instrumental, CTD

0.1

-

¡Ó25%

Salinity (0/00)

Instrumental, CTD

0.1

-

¡Ó25%

Suspended Solids (mg/L)

APHA 17th Ed 2540D

1.0

2.0

¡Ó25%

Iron-soluble

USEPA 6010C NOTE 1

0.2NOTE1

0.2NOTE1

¡Ó25%NOTE1

NOTE1: The testing methods, Quality Assurance/Quality Control (QA/QC) details, detection limits and accuracy shall be submitted to EPD for approval prior to the commencement of monitoring programme.

 

2.3.4.       Monitoring Location

The water quality monitoring locations for baseline in accordance to the EM&A Manual and Contract Specification are shown in Figure 2.1 and detailed in Table 2.3 below. A schedule for water quality monitoring shall be prepared by the ET and approved by IEC and EPD prior to the commencement of the monitoring.

Table 2.3 Location of Baseline Water Quality Monitoring Station

 

Station

Easting

Northing

Description

 

CE

843550

815243

Upstream control station at ebb tide

 

CF

846843

810193

Upstream control station at flood tide

 

WSR1

846864

812014

Ecological sensitive receiver at Tung Lung Chau

 

WSR2

847645

812993

Fisheries sensitive receiver at Tung Lung Chau

 

WSR3

848023

813262

Ecological sensitive receiver at Tung Lung Chau

 

WSR4

847886

814154

Ecological sensitive receiver at Tai Miu Wan

 

WSR16

845039

815287

Ecological sensitive receiver at Fat Tong Chau

 

WSR33

847159

814488

Ecological sensitive receiver at Tai Miu Wan

WSR36

846878

814081

Ecological sensitive receiver at Kwun Tsai

WSR37

846655

813810

Ecological sensitive receiver at Tit Cham Chau

NF1

846542

813614

Edge of mixing zone, ~ 200m west of outfall diffuser

NF2

846942

813614

Edge of mixing zone, ~ 200m east of outfall diffuser

NF3

846742

813414

Edge of mixing zone, ~ 200m south of outfall diffuser

 

WSR1 to WSR37 were identified in accordance with Annex 14 of the EIAO-TM as well as Clause

3.4.4.2 of the Environmental Impact Assessment Study Brief for Desalination Plant at Tseung Kwan O (No. ESB-266/2013). WSR1 to WSR3 are sited near the Tung Lung Chau Fish Culture Zone; WSR16 and WSR36 are sited near the coral assemblages along the coastlines of Fat Tong Chau and Kwun Tsai respectively; WSR 4 and WSR33 are sited near the Coastal Protection Area and coral assemblages in waters of Tai Miu Wan; WSR37 is sited near the fisheries resource including spawning and nursery grounds at the coastal water of Tit Cham Chau.

2.4.           IN-SITU MEASUREMENT

 

2.4.1.       Levels of DO, pH, temperature, turbidity and salinity would be measured in-situ by portable and weatherproof measuring instrument, e.g. Horiba U-53 Multiparameter complete with cable and sensor. (Refer to https://www.horiba.com/fileadmin/uploads/Process- Environmental/Documents/Downloads_Catalog/Catalog_Water_Quality/U- 50_brochure_en_HRE1930E.pdf for Horiba U-53 technical specification). Water current velocity and Water Current direction would be measured by portable and weatherproof current meter, e.g. Valeport Current Meter Model 106 (Refer to https://www.indomultimeter.com/Pdf/Valeport-Model-106-Manual.pdf for Valeport Current Meter Model 106 Manual). The calibration certificates are presented in Appendix F.

 

Figure 2.1      Baseline water quality monitoring locations under EM&A  Manual

 

2.4.2.       Sampling Frequency

The measurements shall be taken at all designated monitoring stations including control stations, once per day for a minimum of 3 days per week for 4 weeks prior to the commencement of the construction works. Measurements shall be taken at each station at any time. The interval between two sets of monitoring shall not be less than 36 hours. No construction activities were conducted in the vicinity of the stations during the baseline water quality monitoring.

 

2.4.3.       Sampling Depths & Replication

For baseline water quality monitoring, each station was sampled and measurements/ water samples would be taken at three depths, 1 m below the sea surface, mid-depth and 1 m above the seabed. For stations that are less than 3 m in depth, only the mid depth sample shall be taken. For stations that are less than 6 m in depth, only the surface and seabed sample shall be taken. For in situ measurements, duplicate readings shall be made at each water depth at each station. Duplicate water samples shall be collected at each water depth at each station.

 

 


2.5.           MAINTENANCE AND CALIBRATION

 

2.5.1.       The multi-functional meters were checked and calibrated before use. Multi-functional meters were certified by a laboratory accredited under HOKLAS or any other international accreditation scheme, and subsequently re-calibrated at monthly intervals throughout all stages of the water quality monitoring. Responses of sensors and electrodes were checked with certified standard solutions before each use.

 

2.5.2.       The calibration certificates of monitoring equipment were presented in Appendix F.

 

2.5.3.       Sufficient stocks of spare parts were provided and maintained for replacements when necessary. Backup monitoring equipment was prepared for uninterrupted monitoring during equipment maintenance or calibration during monitoring.

 

2.6.           RESULTS AND OBSERVATIONS

 

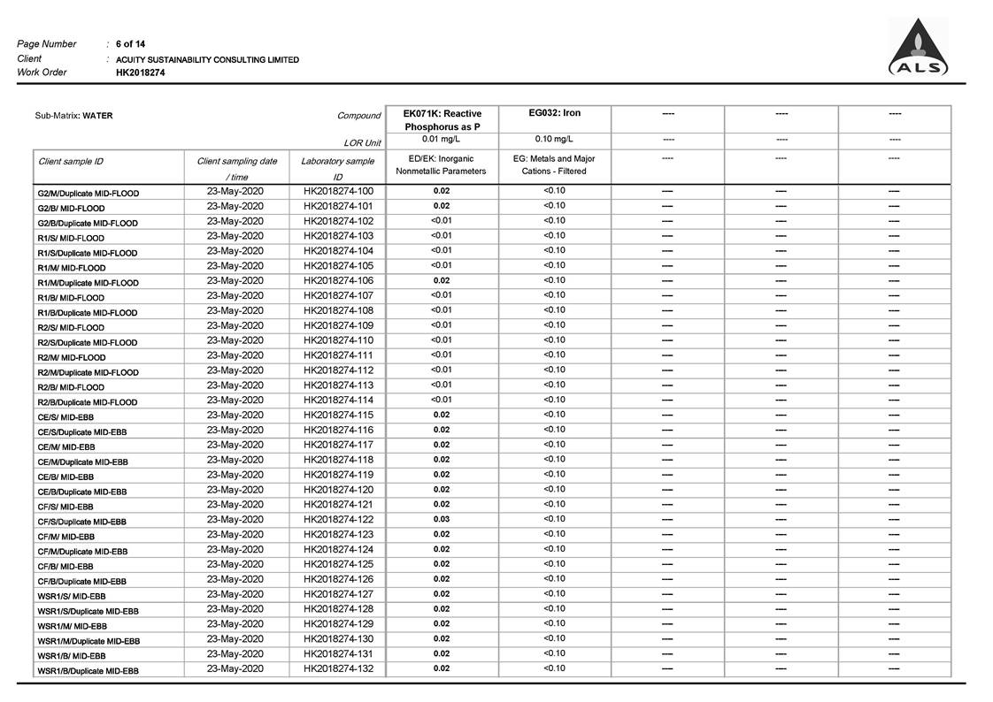
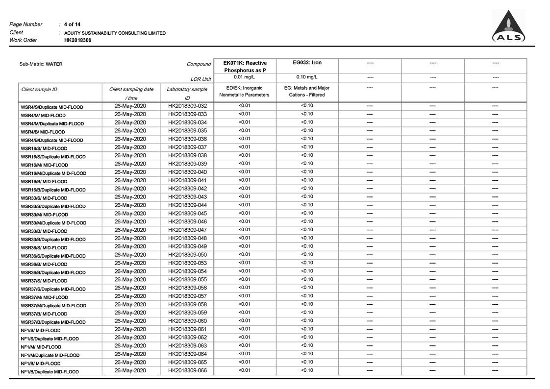
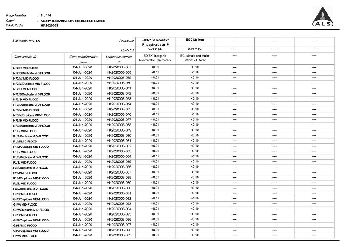
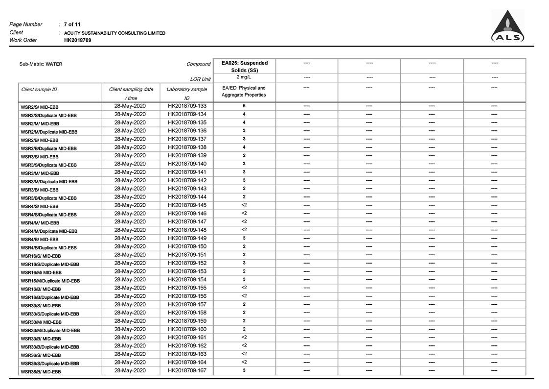
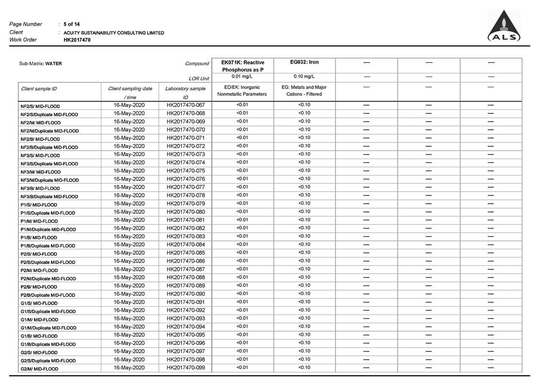
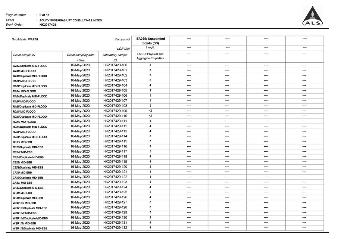
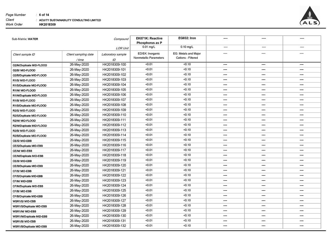
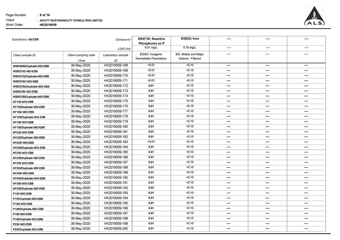
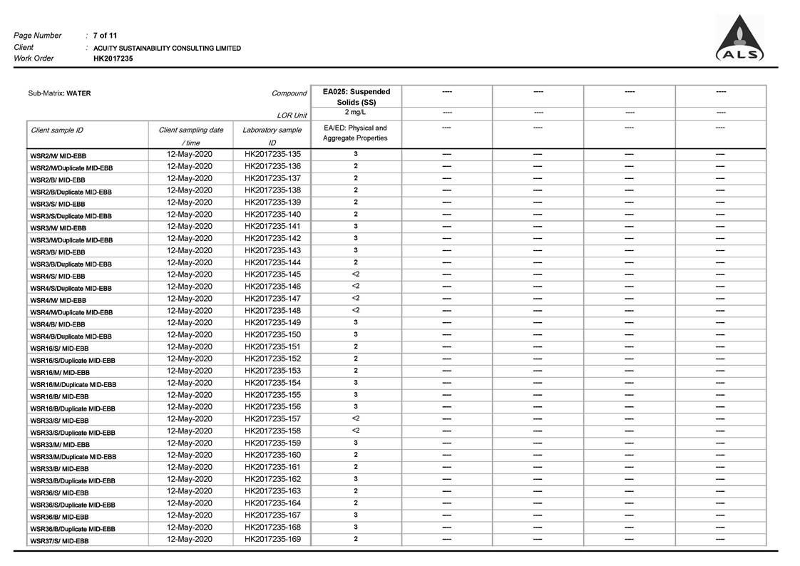
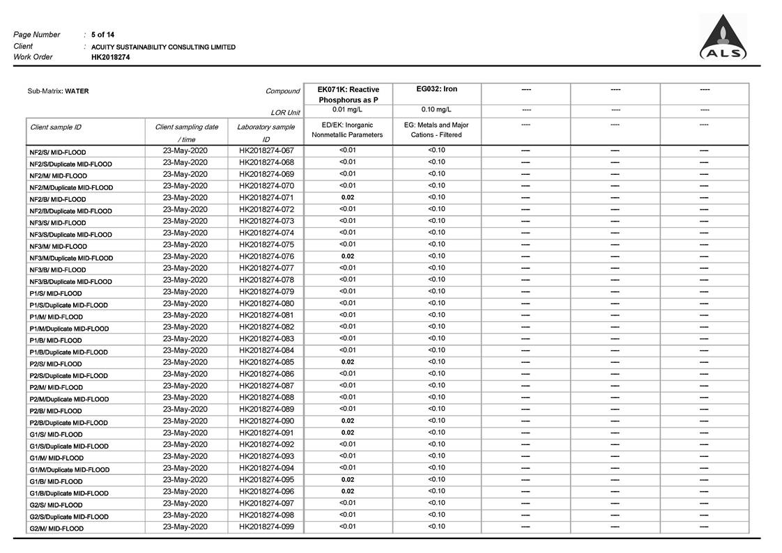
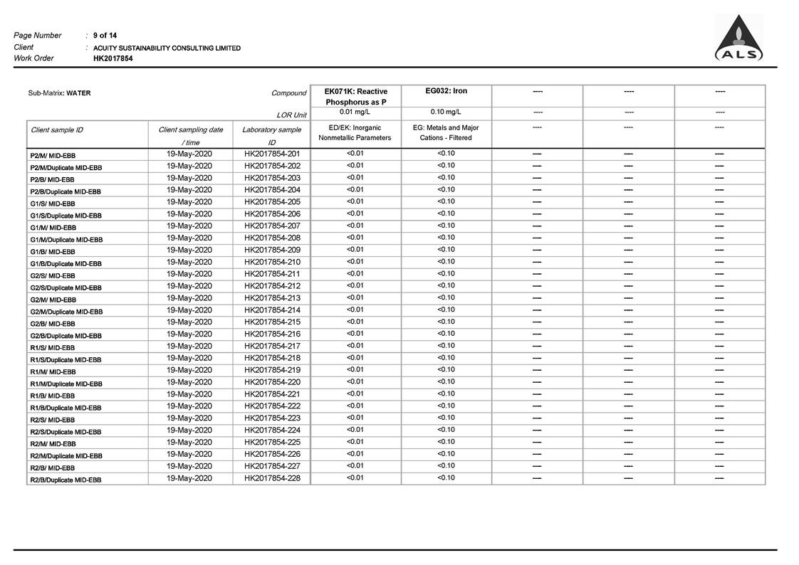
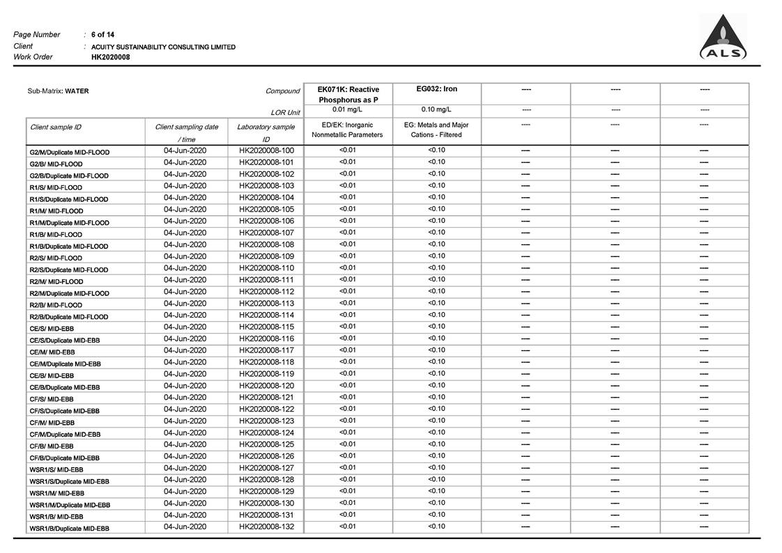
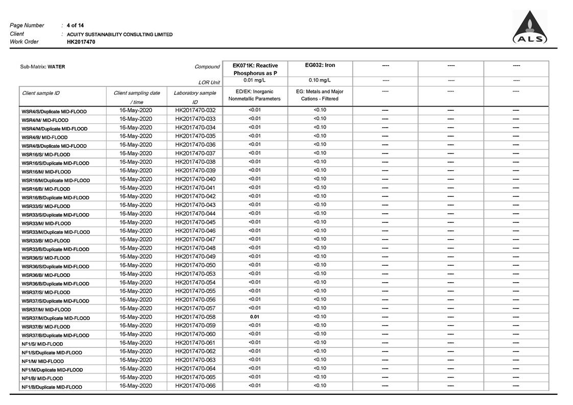
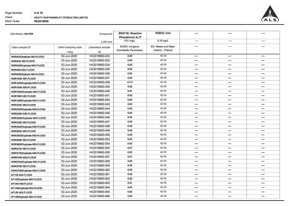
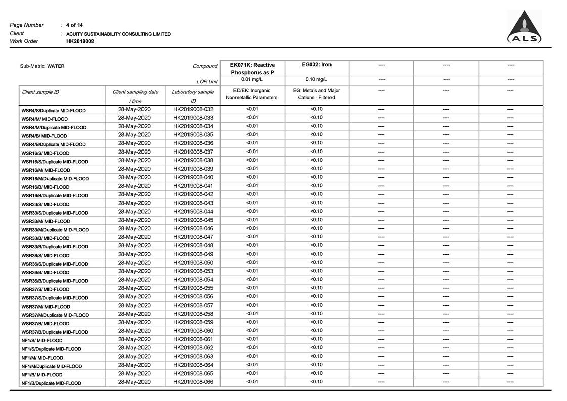
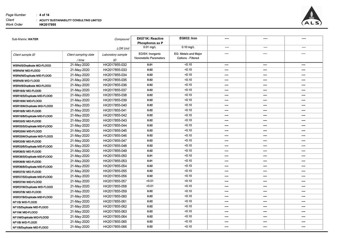
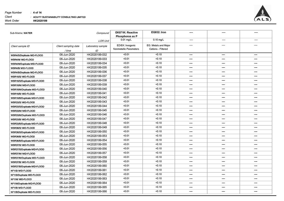
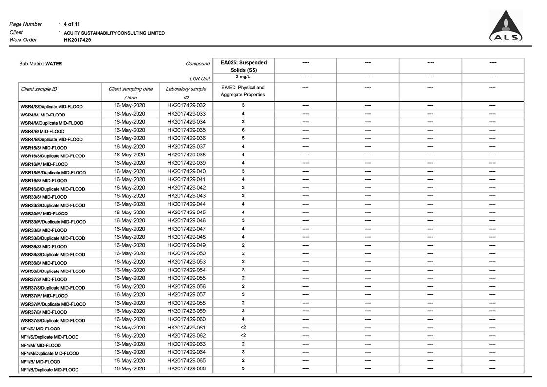
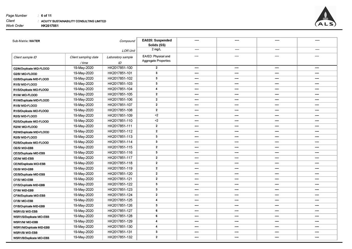
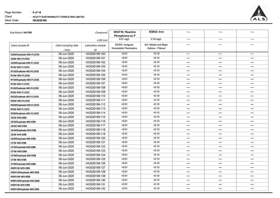
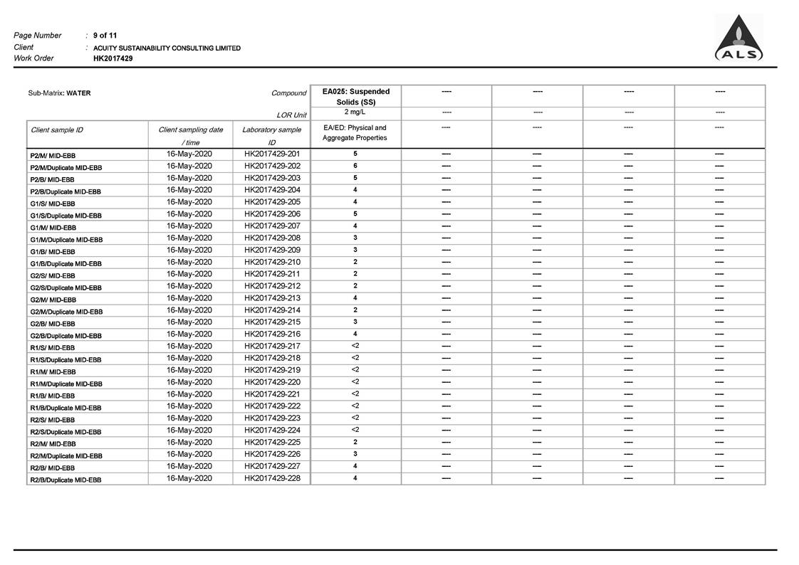
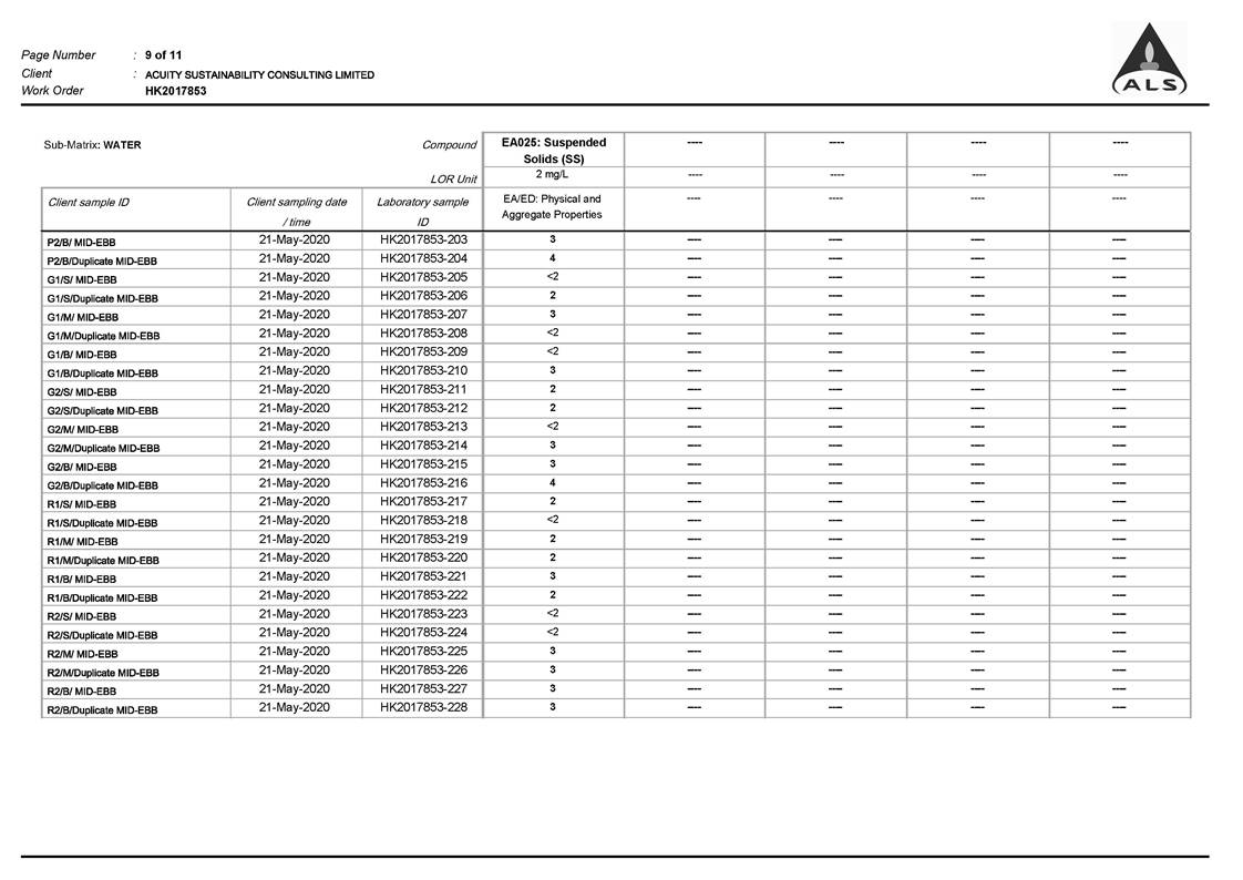
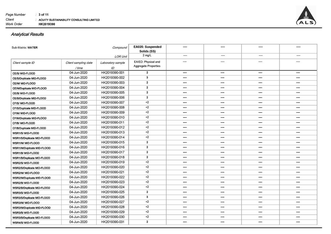
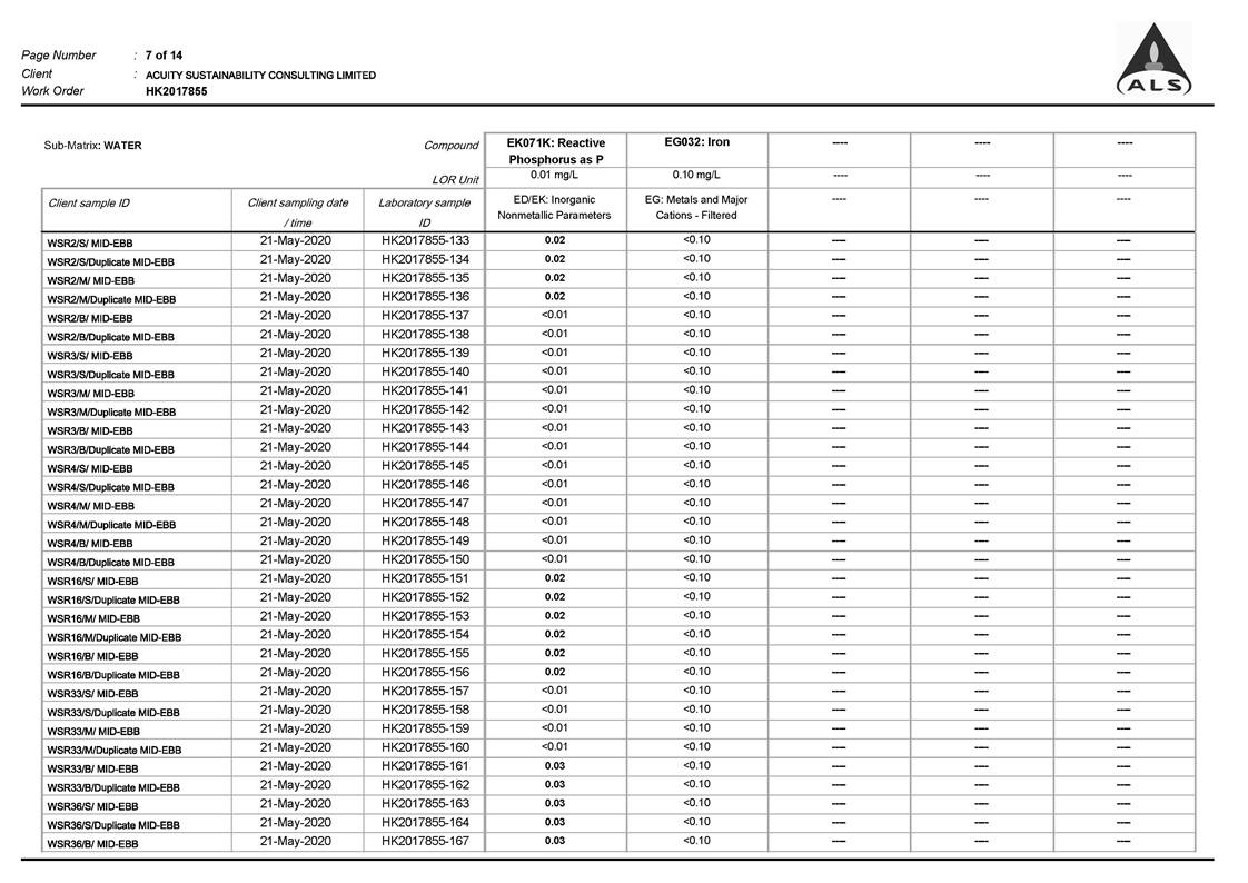
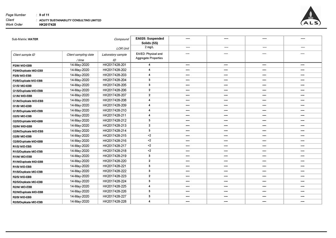
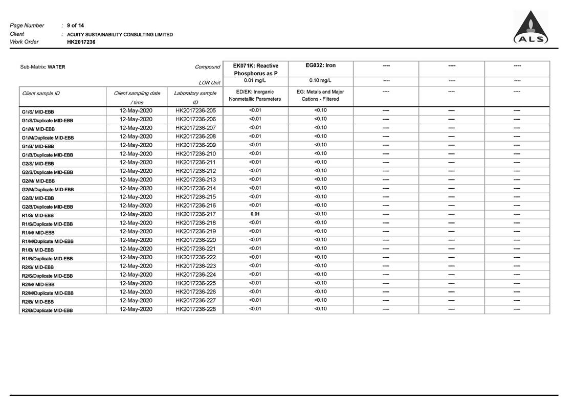
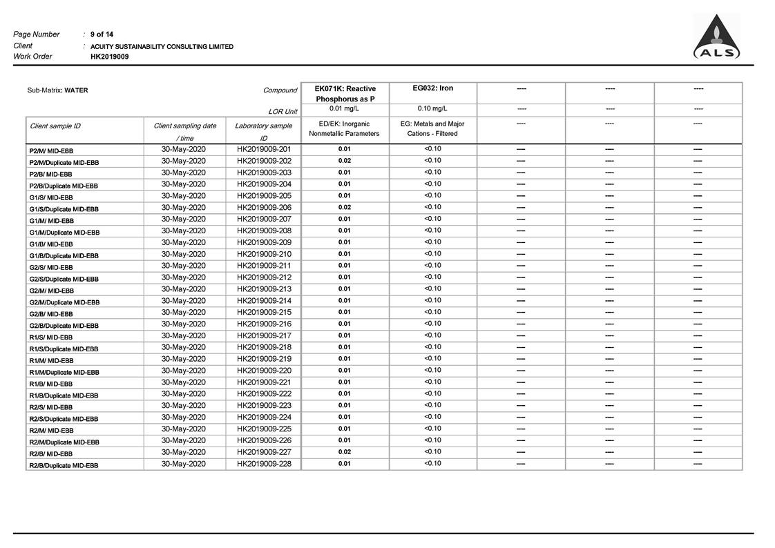
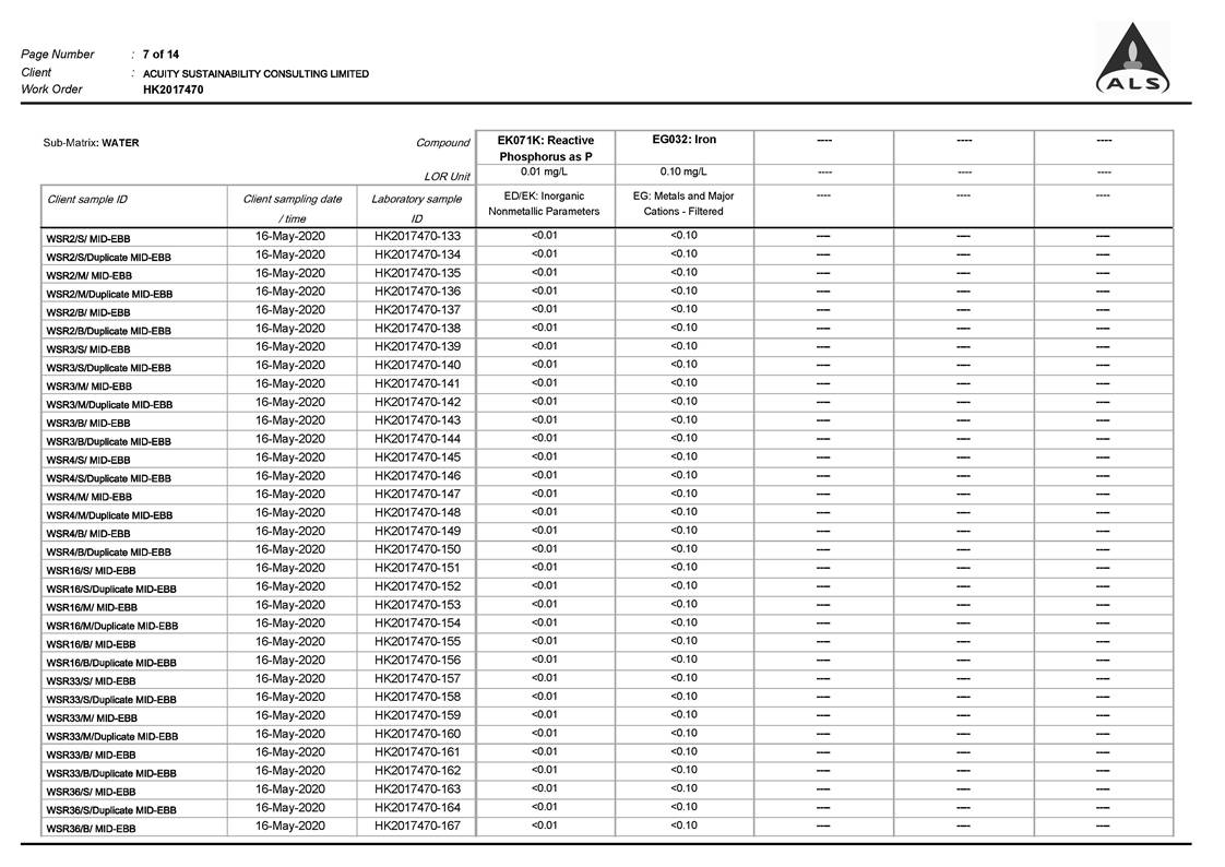
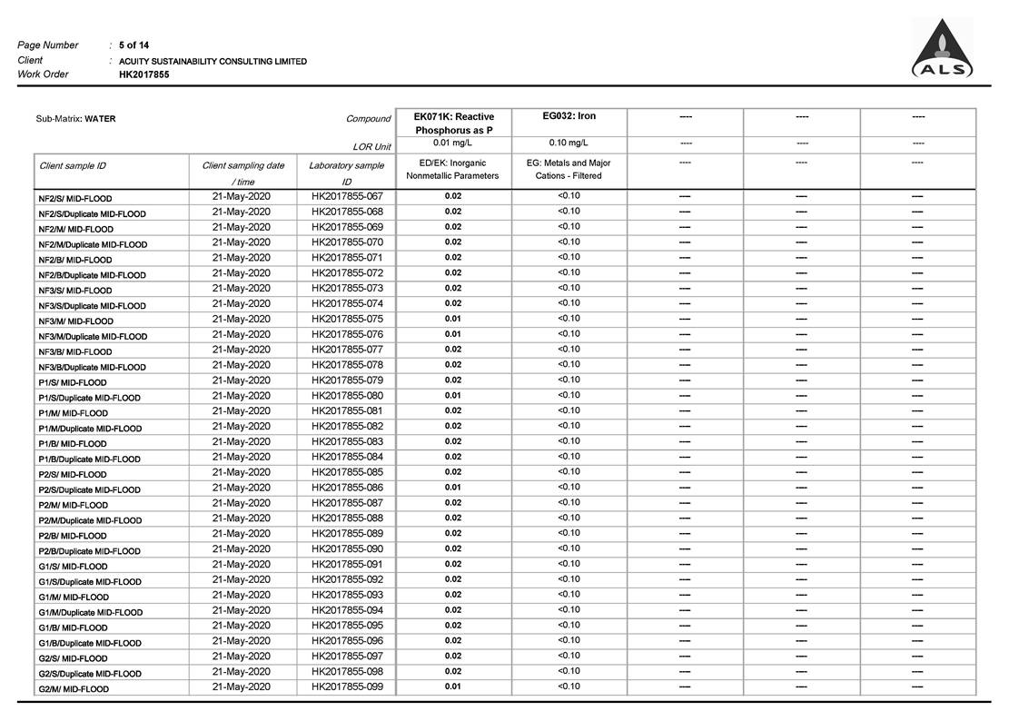
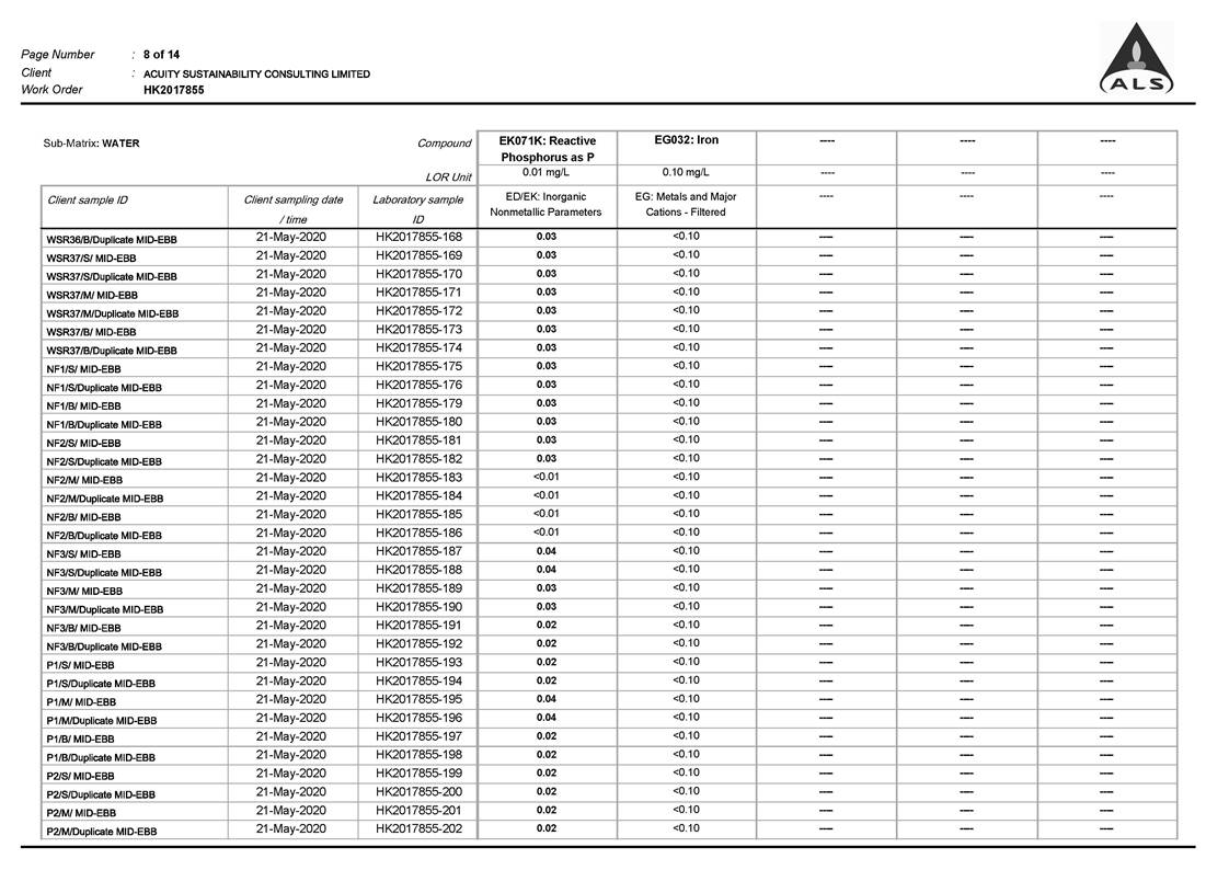
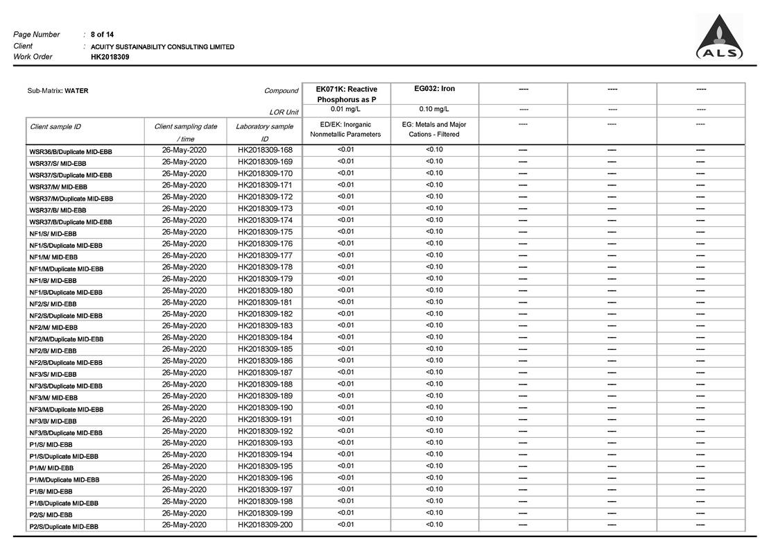
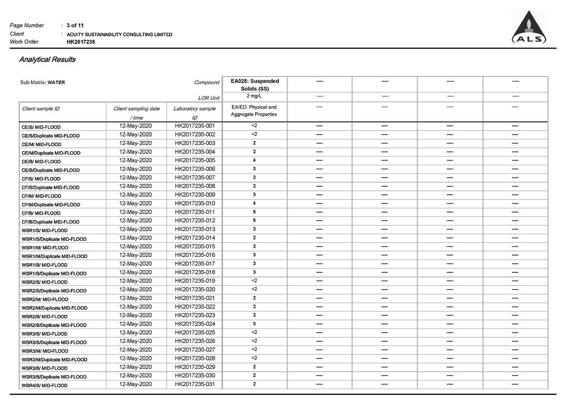
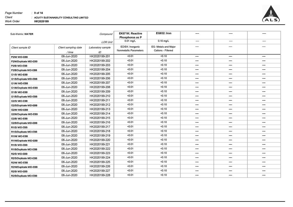
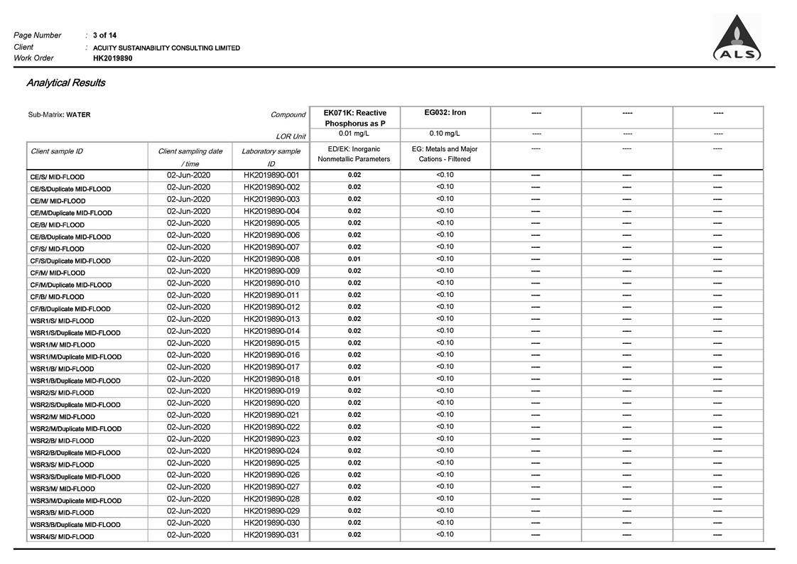
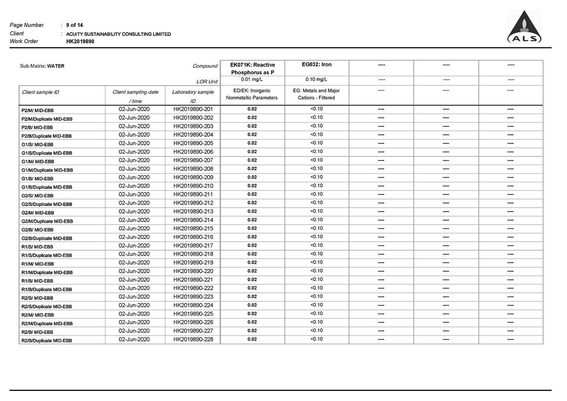
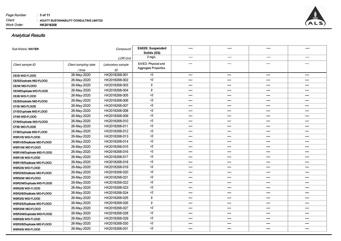
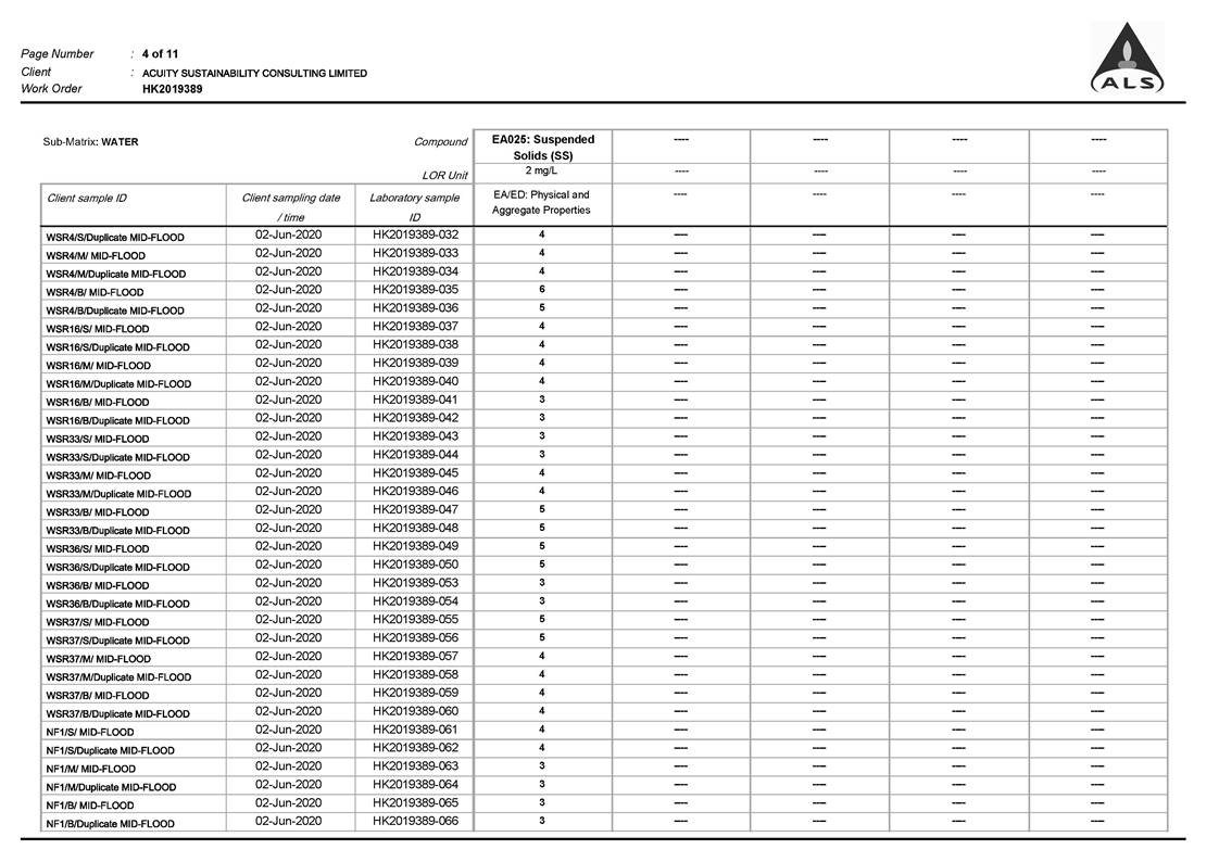
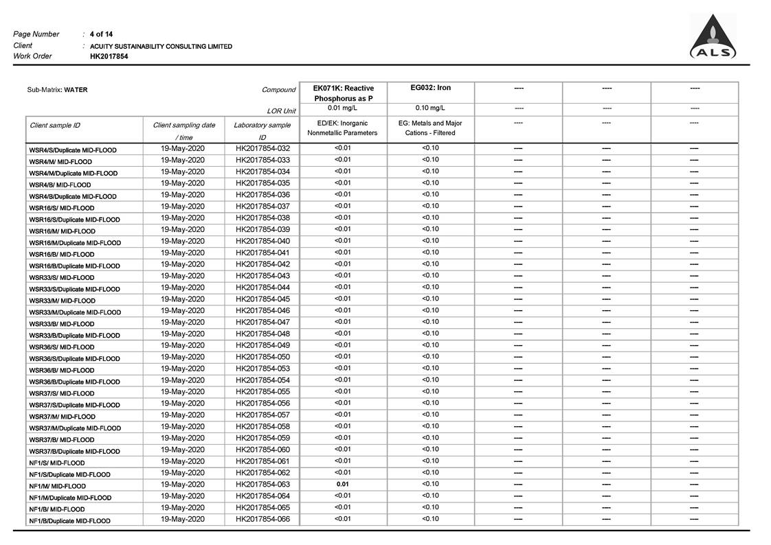
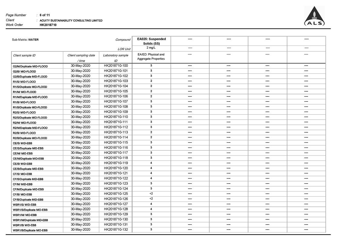
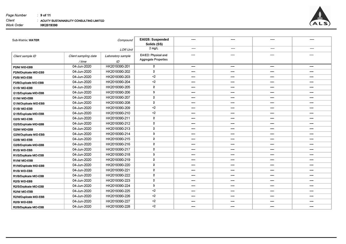
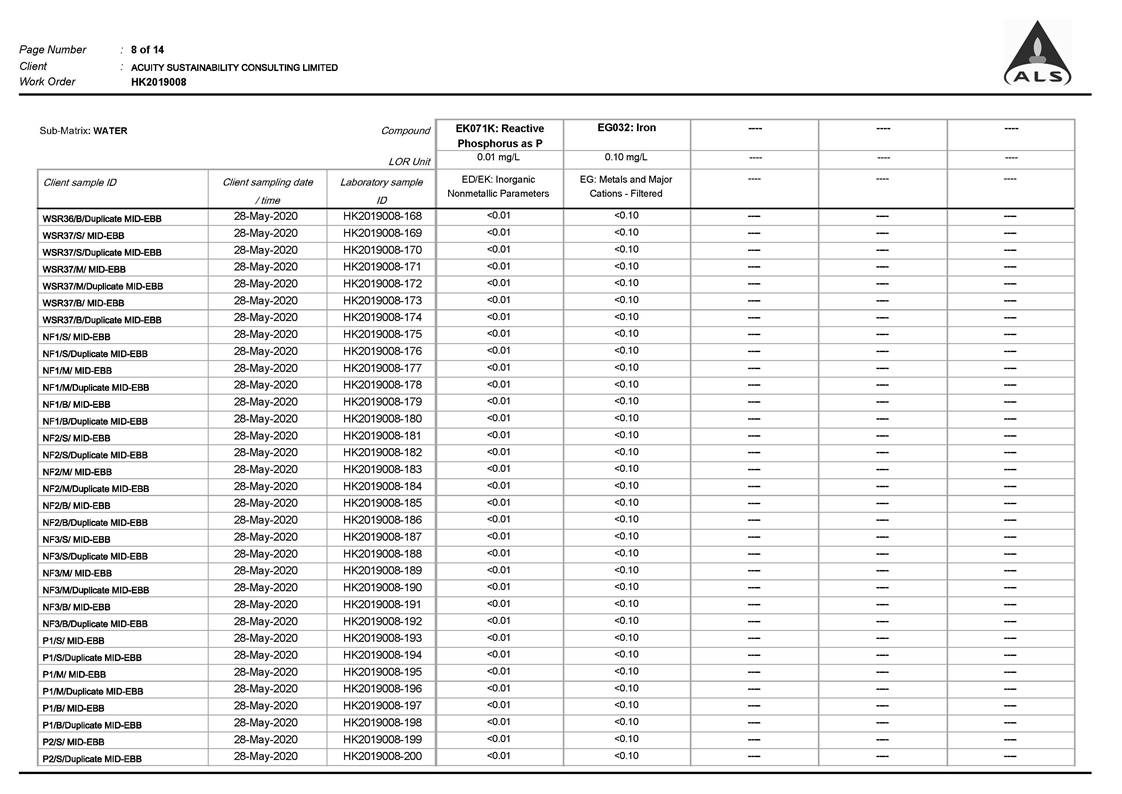
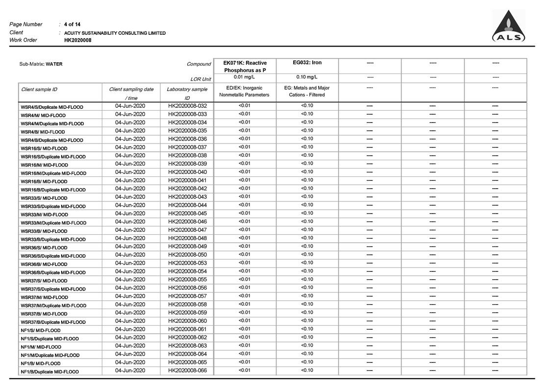
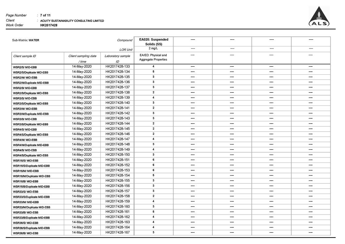
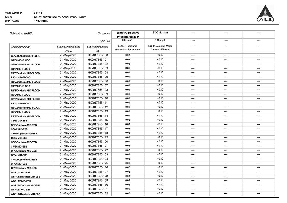
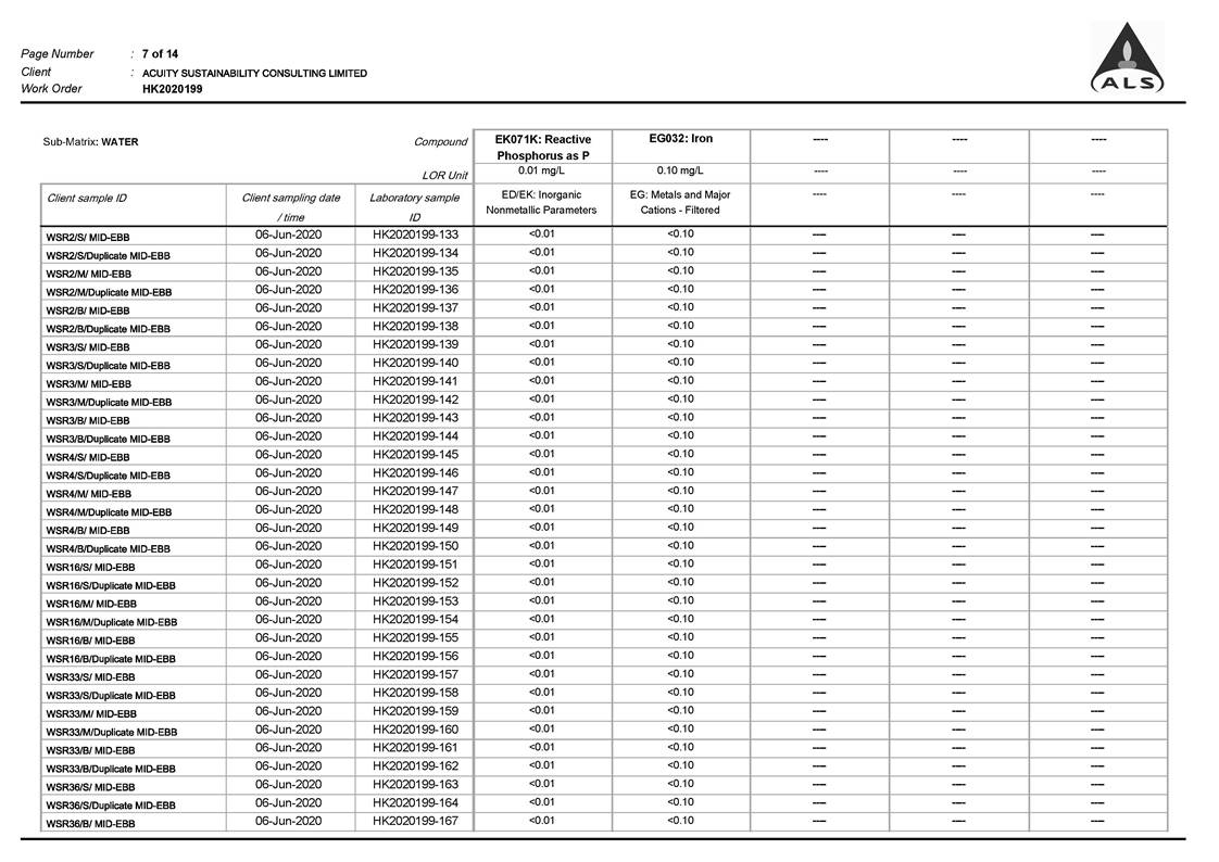
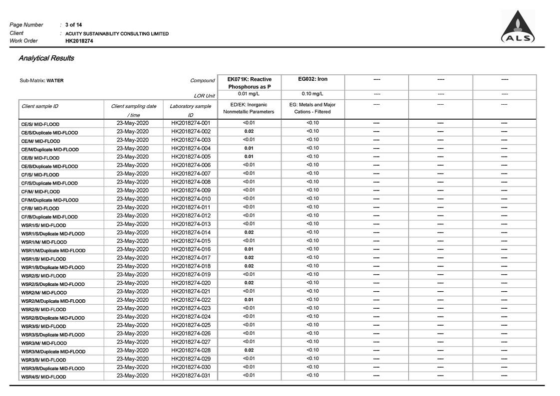
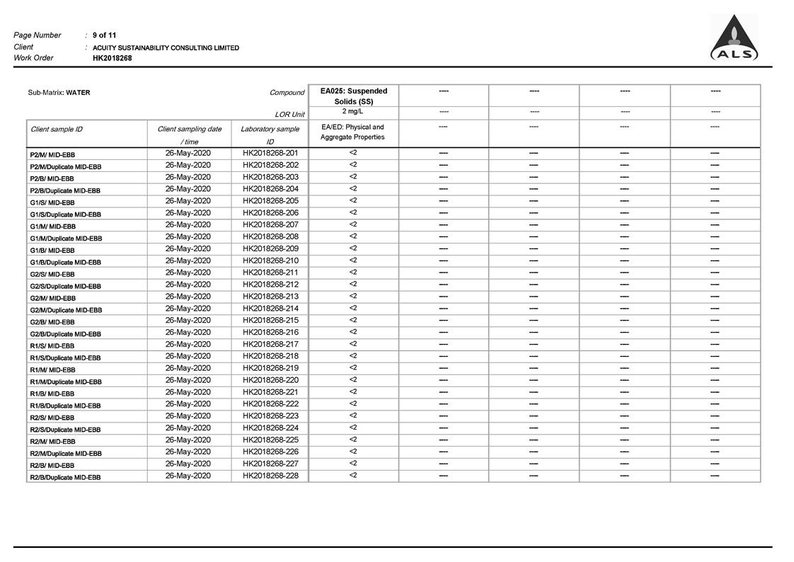
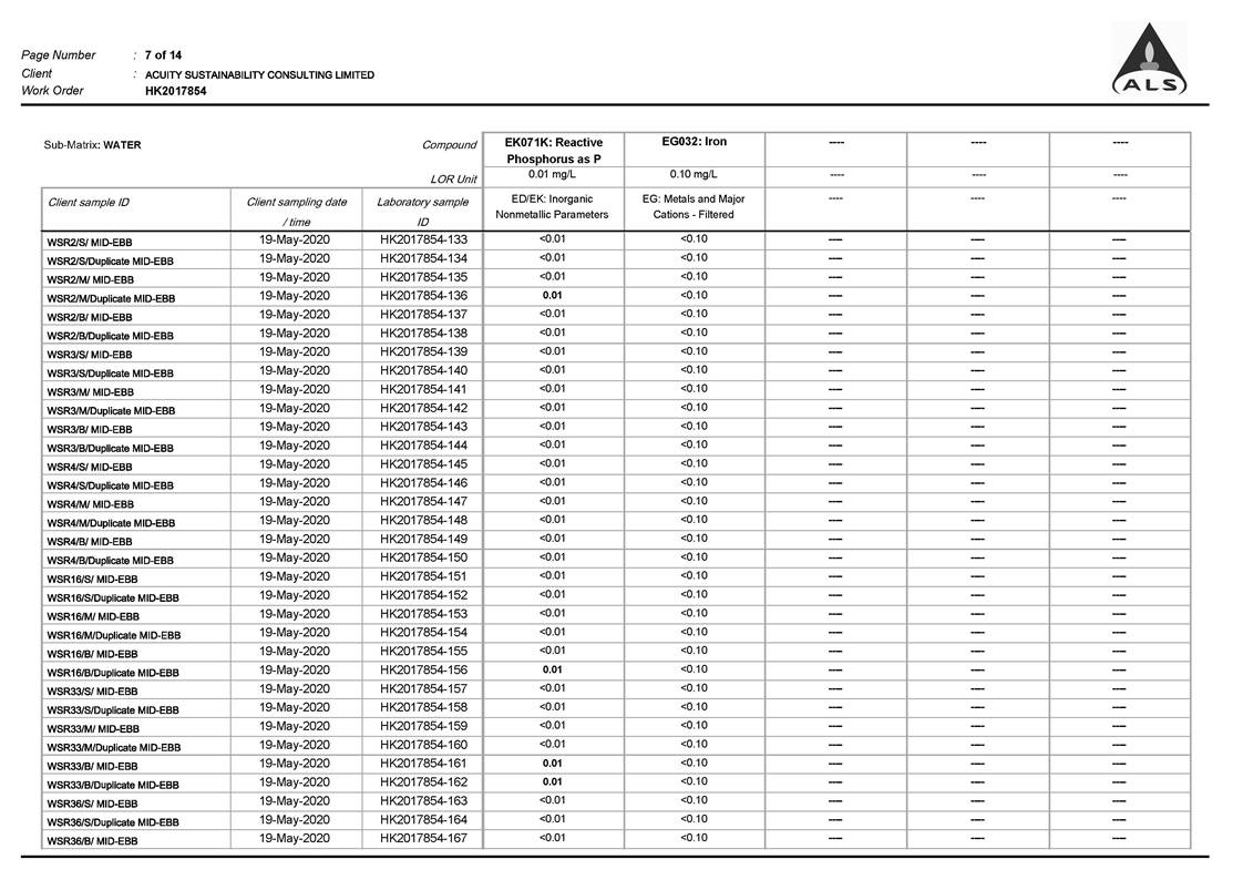
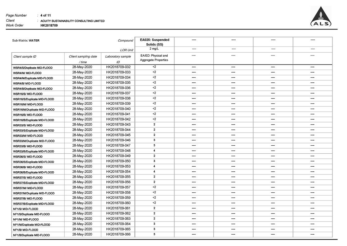
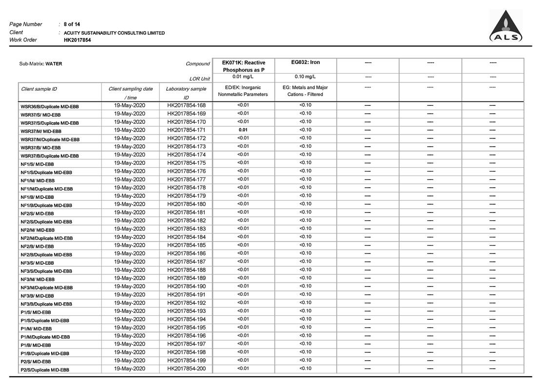
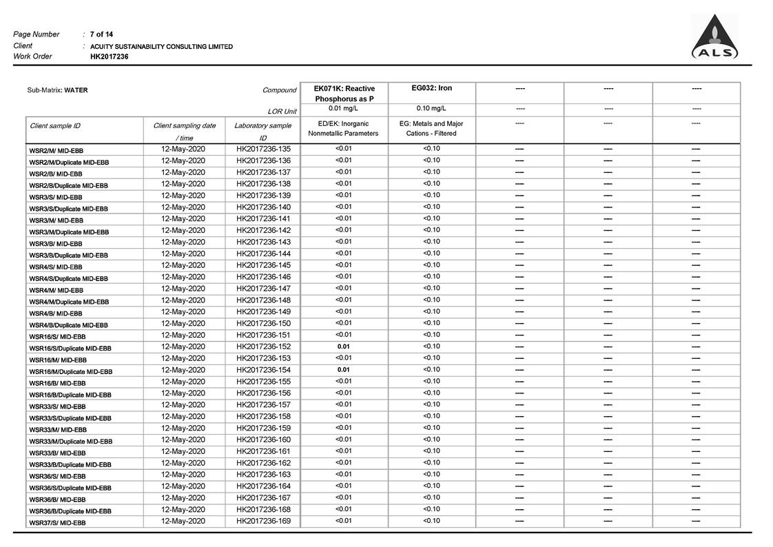
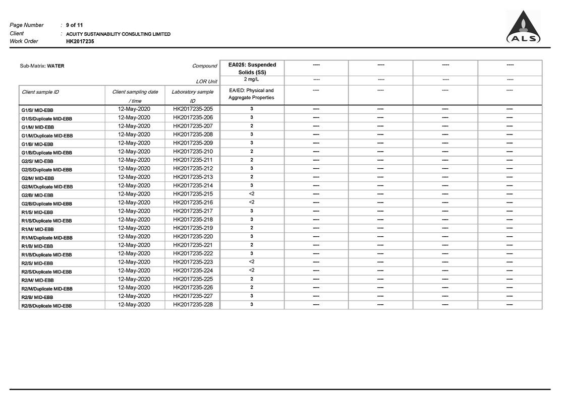
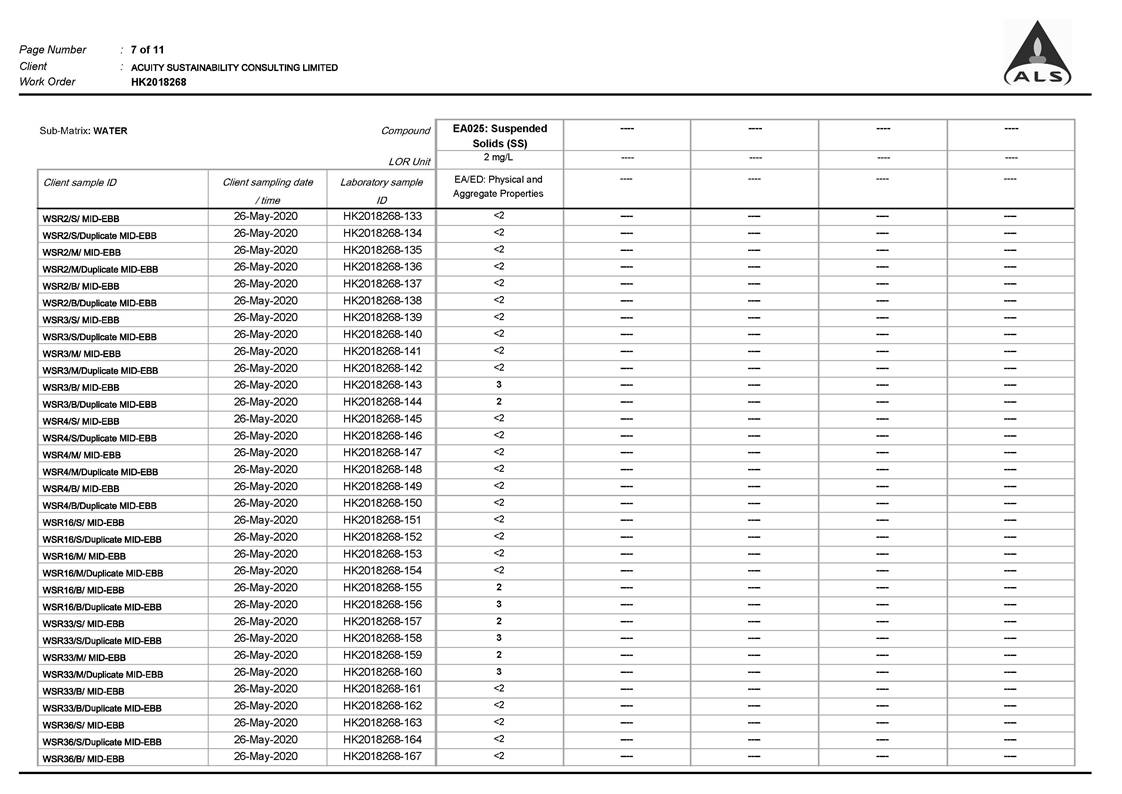
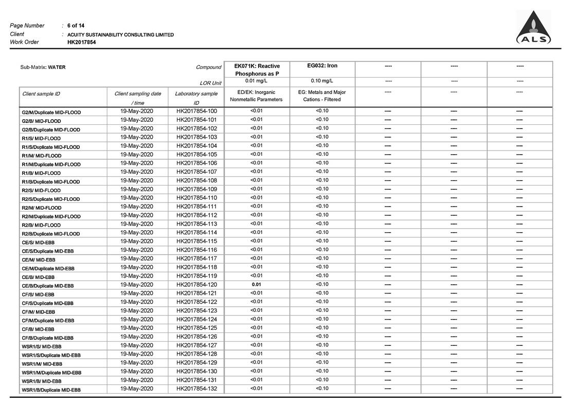
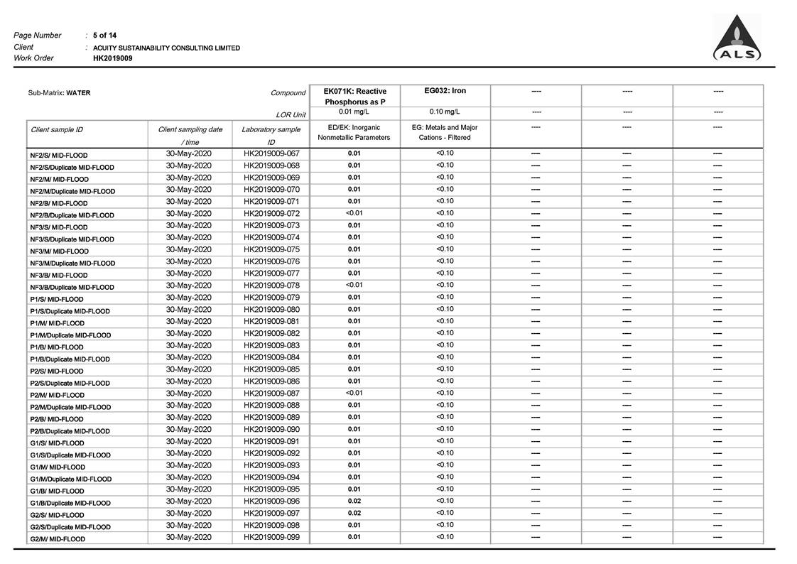
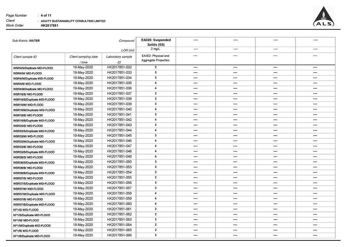
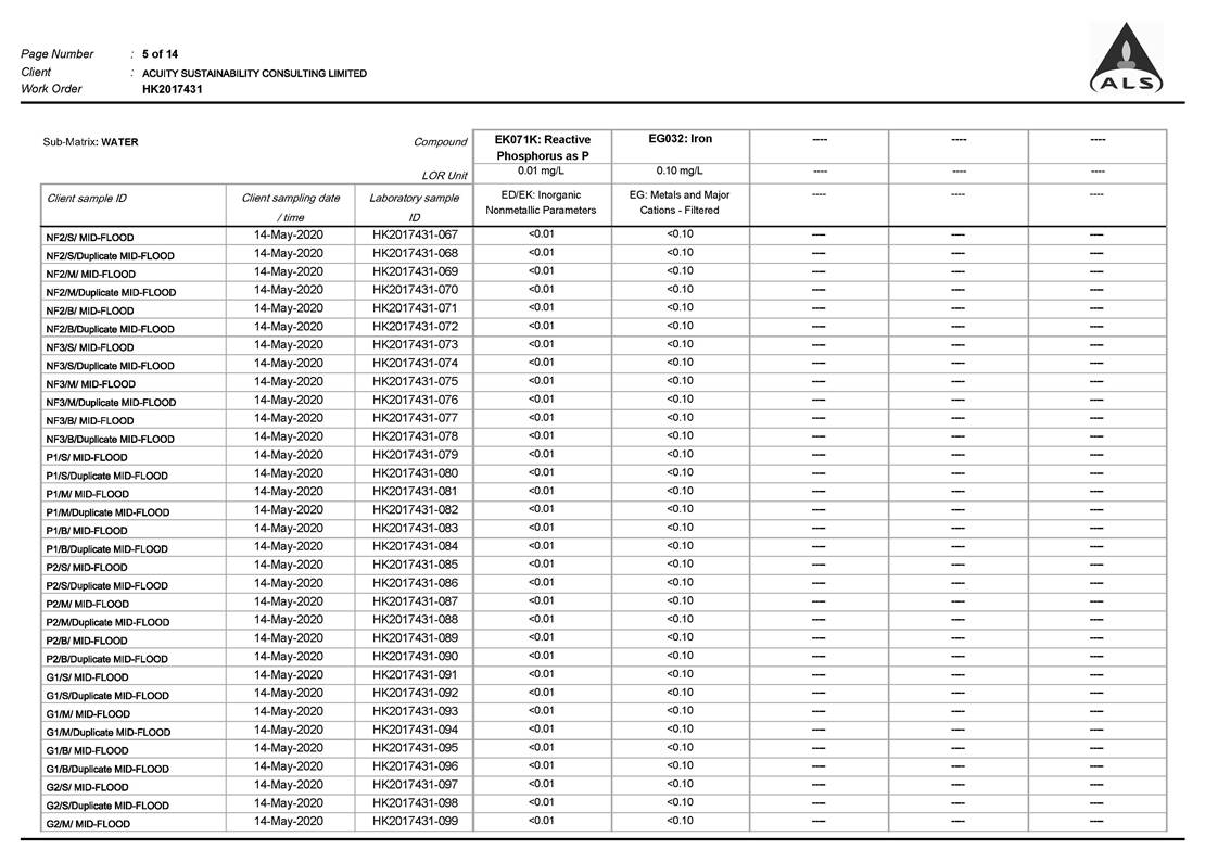
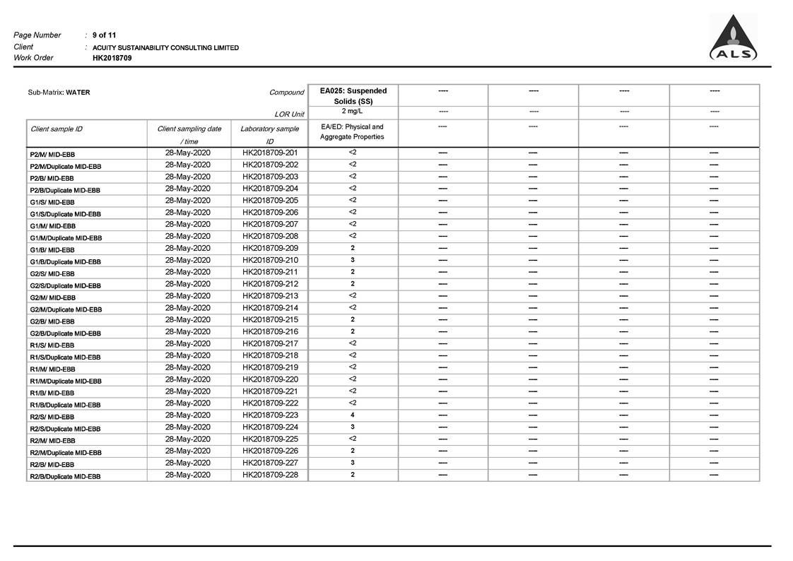
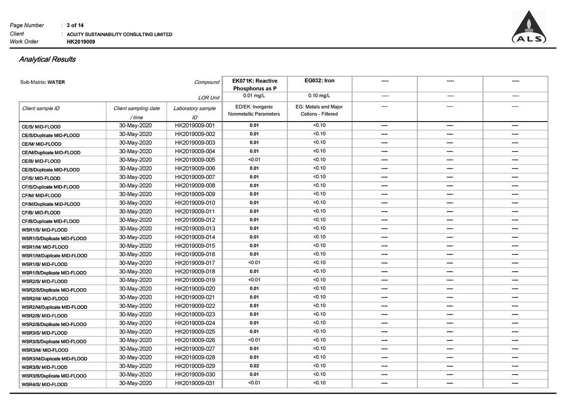
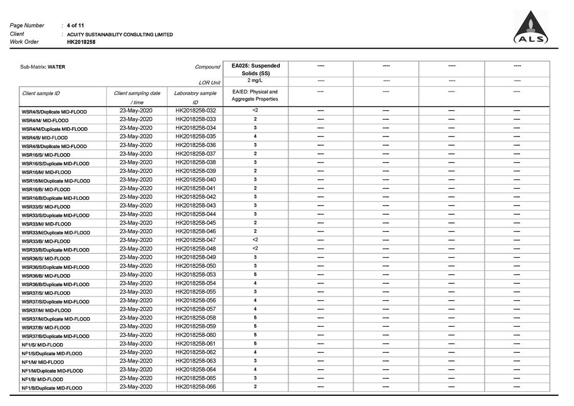
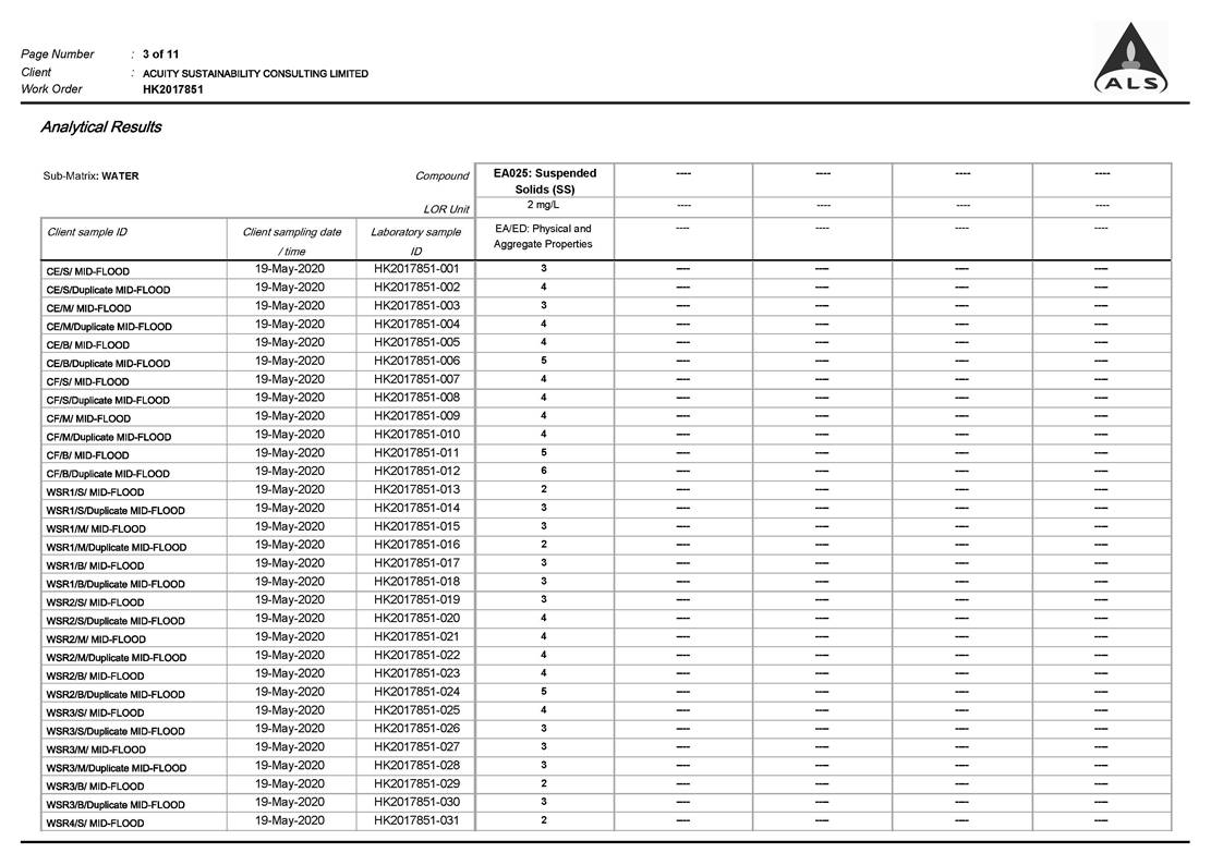
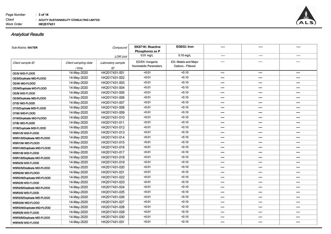
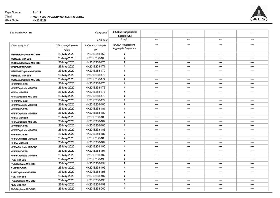
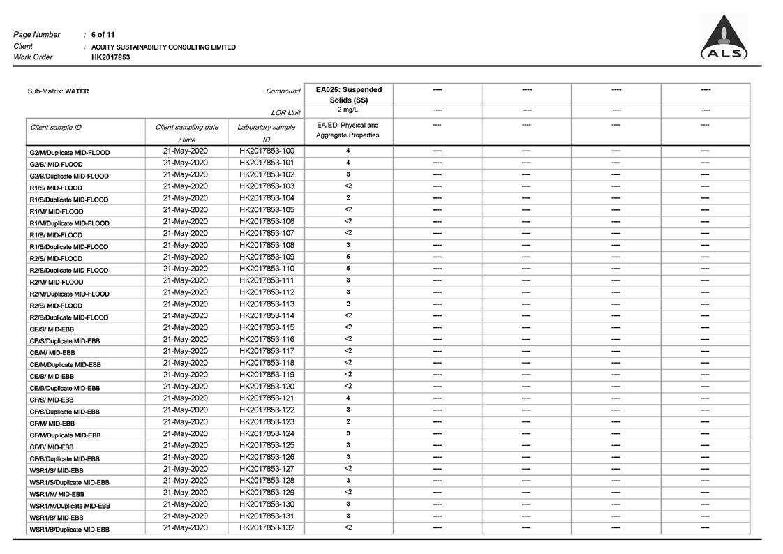
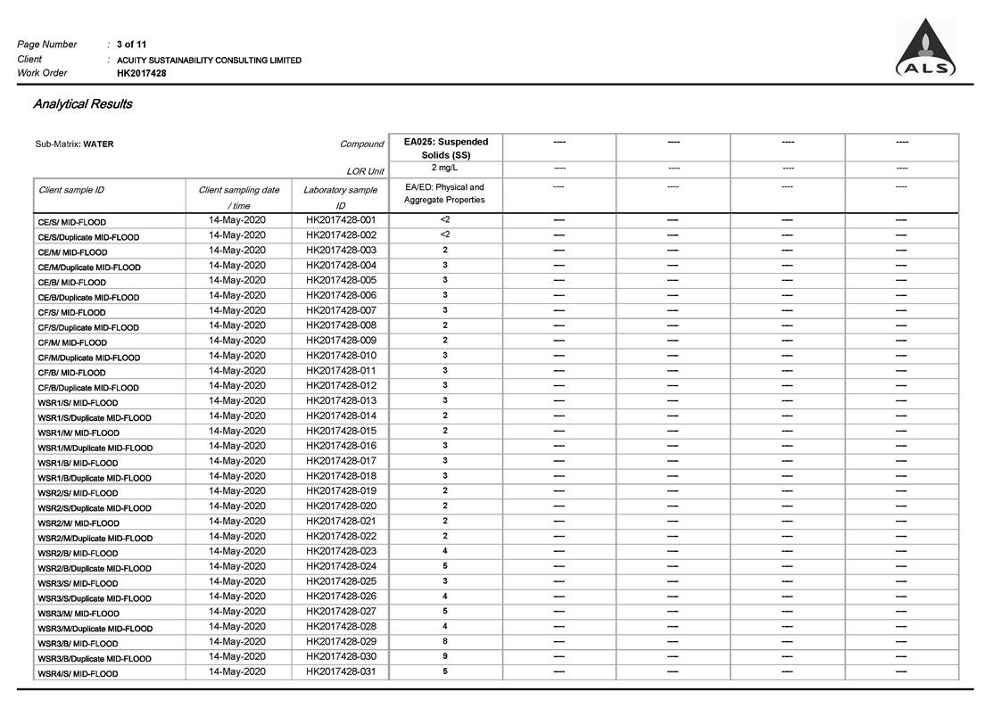
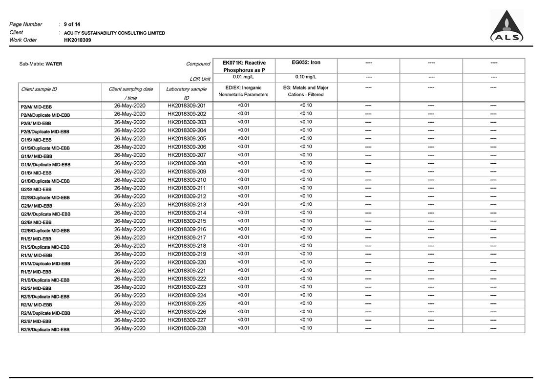
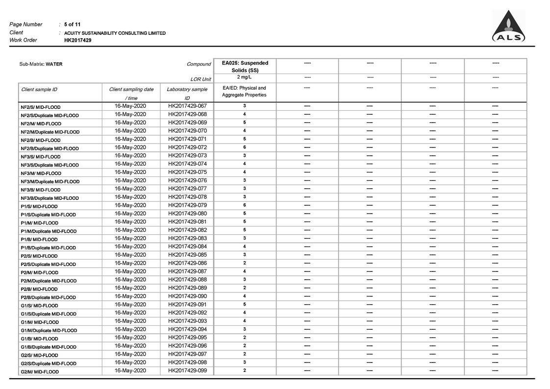
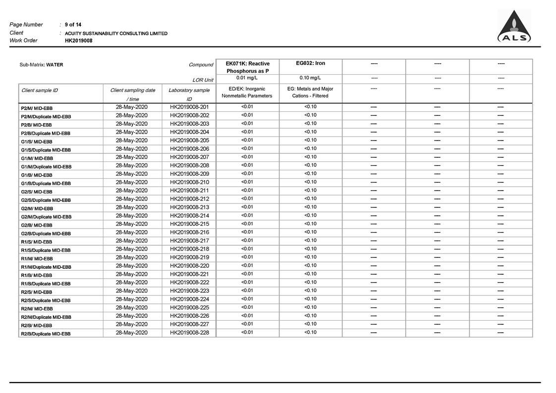
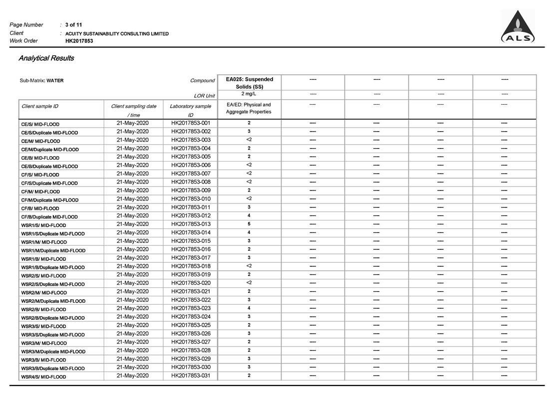
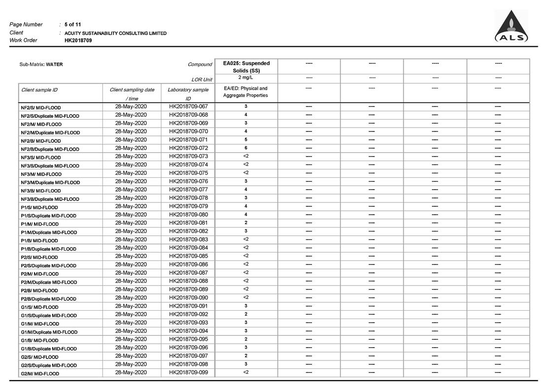
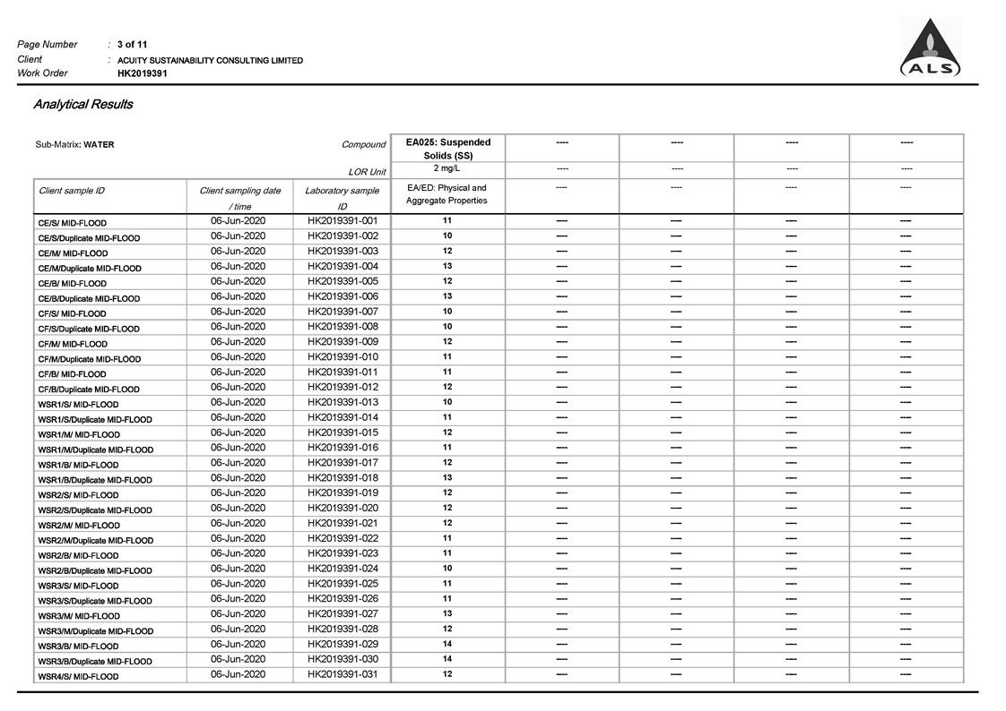
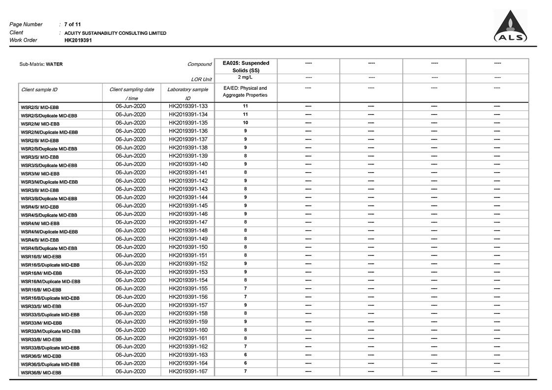
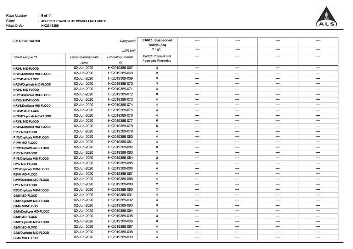
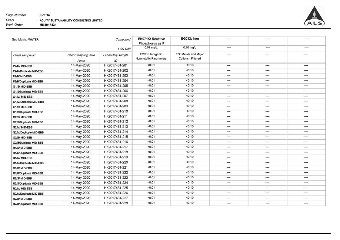
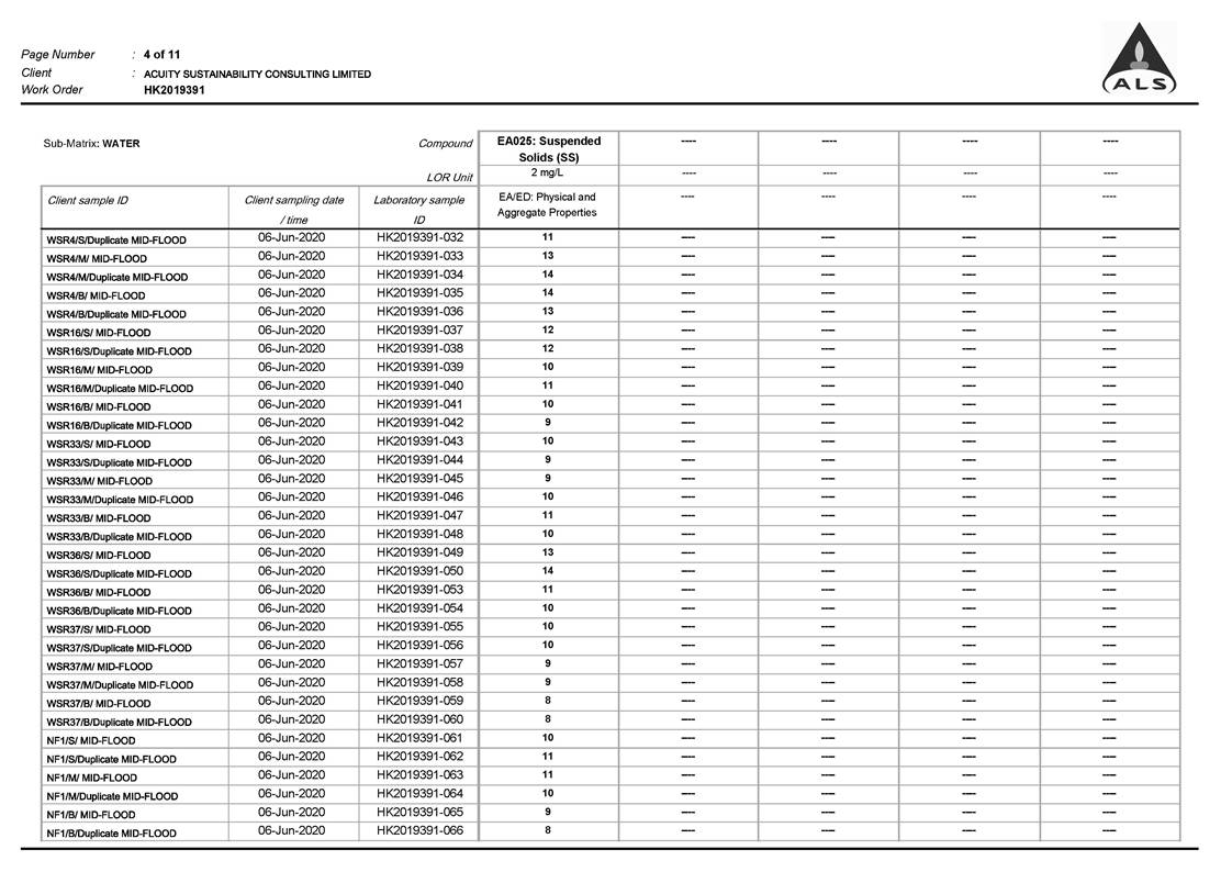
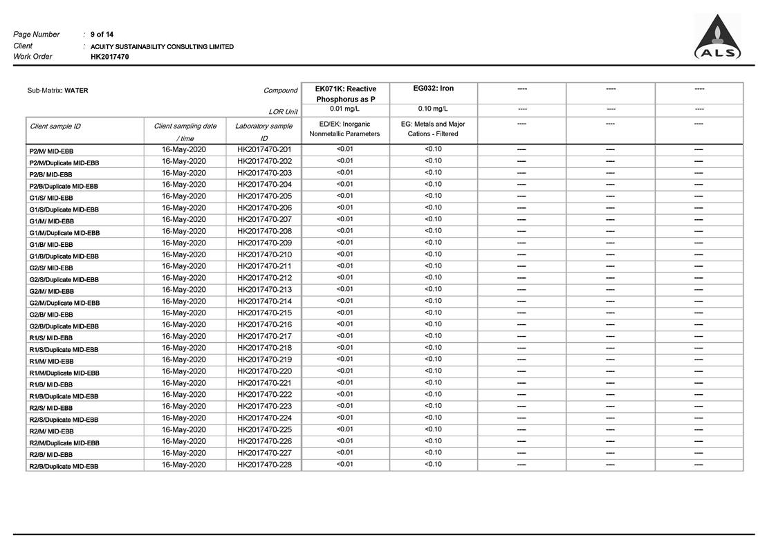
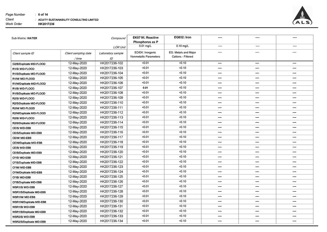
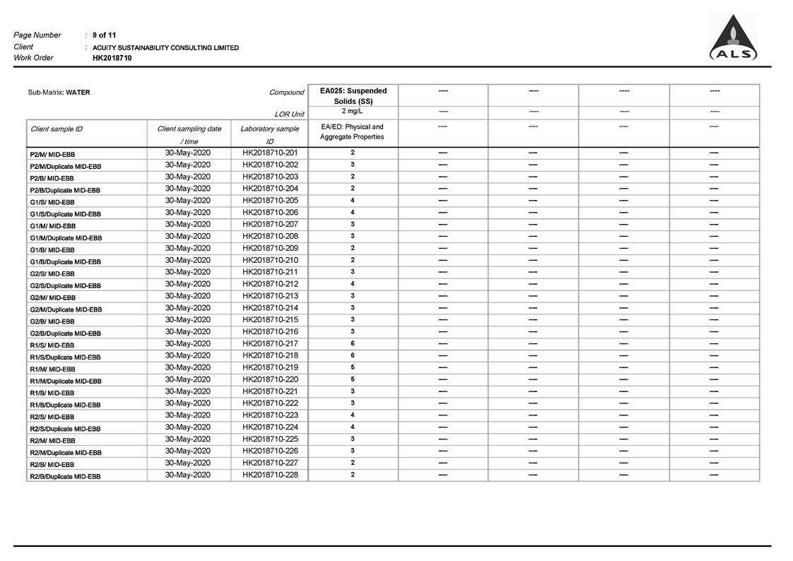
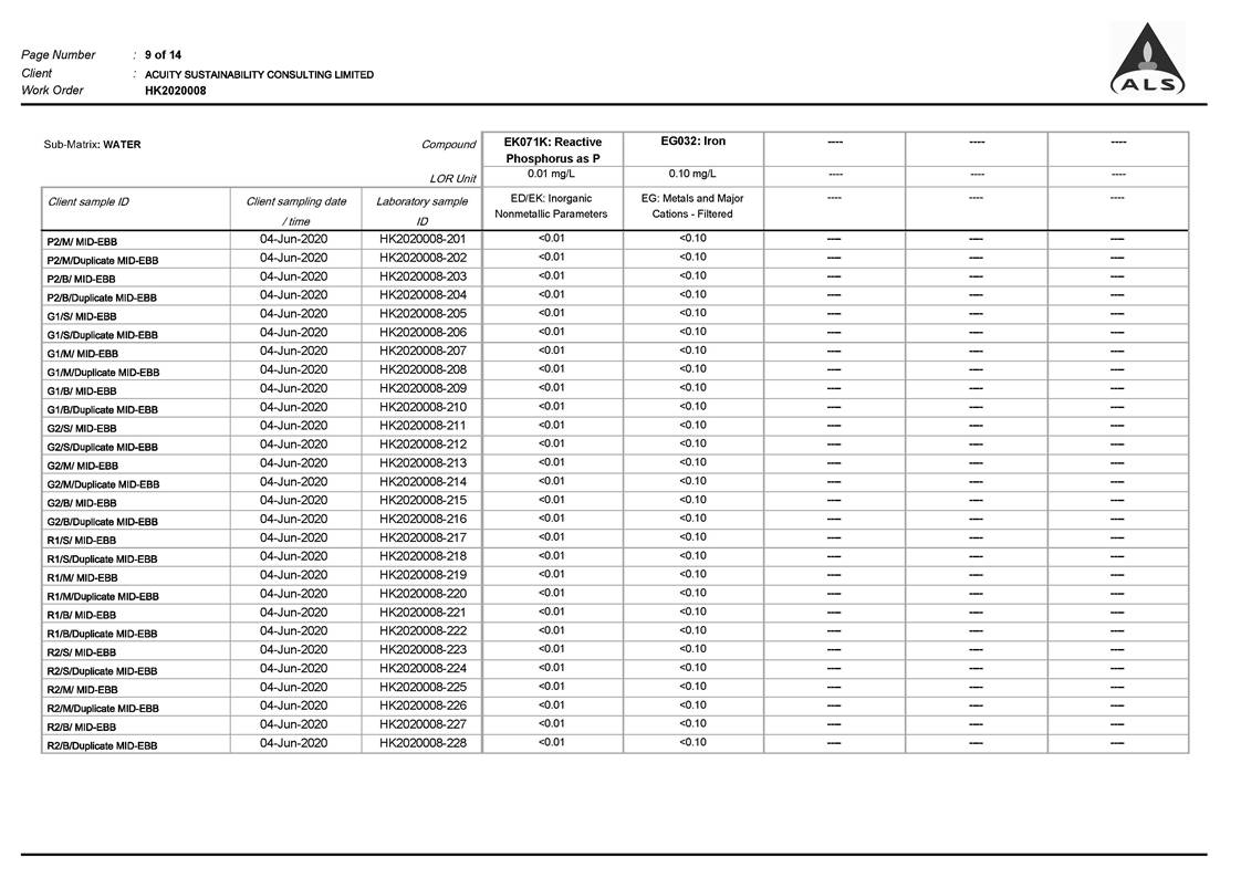
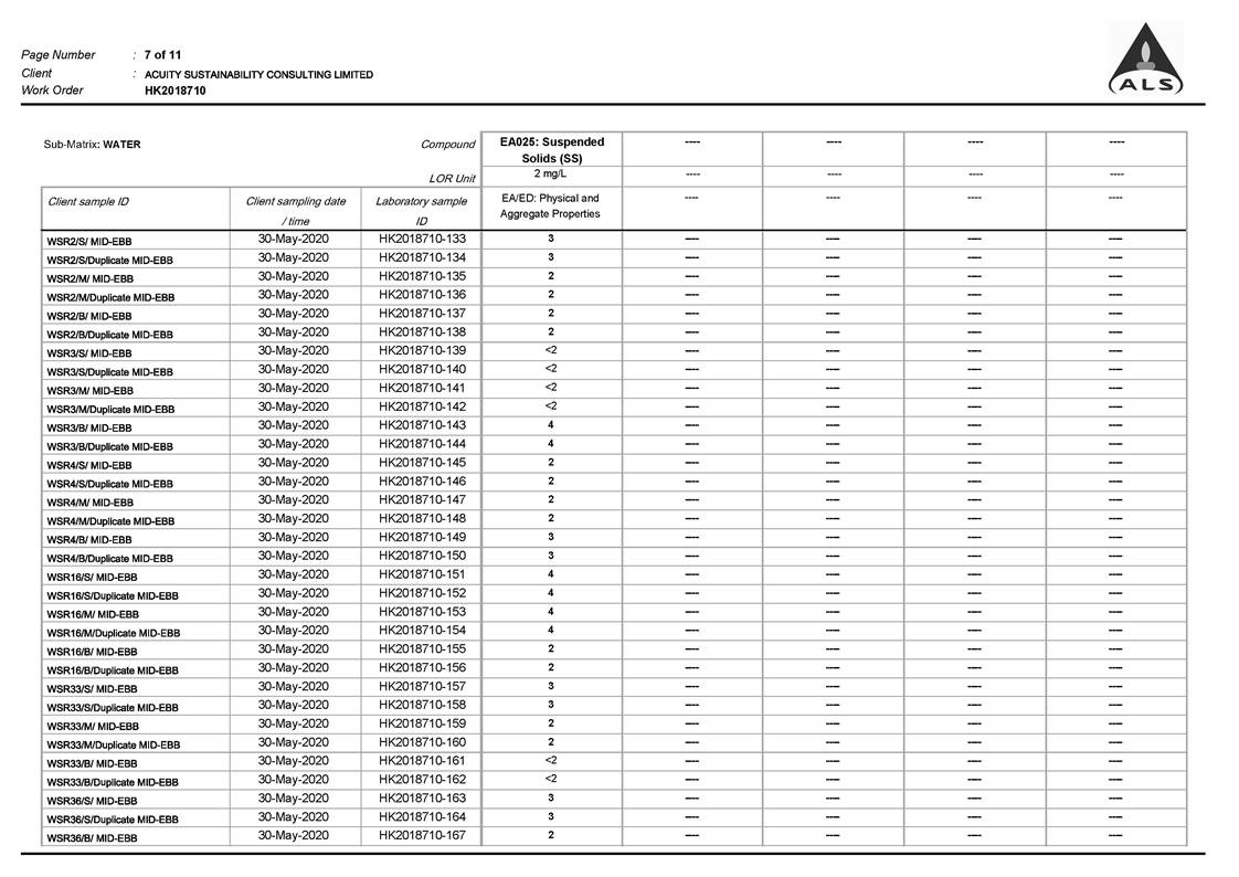
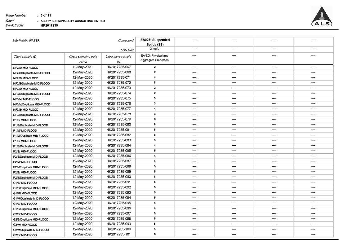
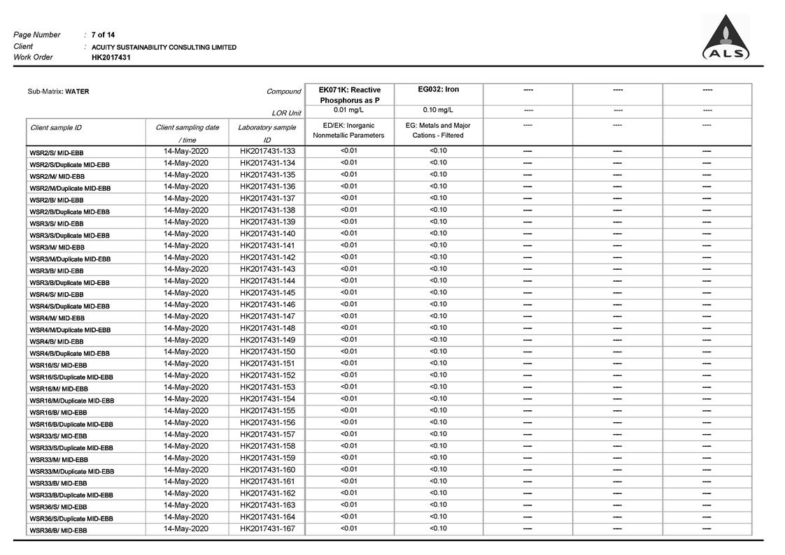
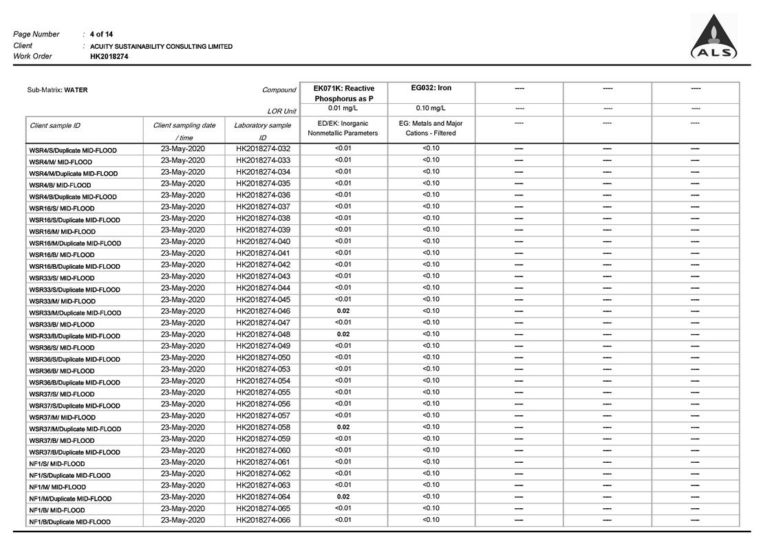
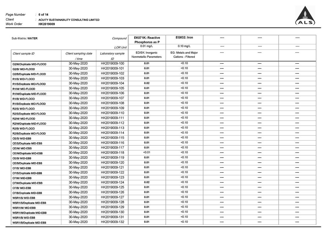
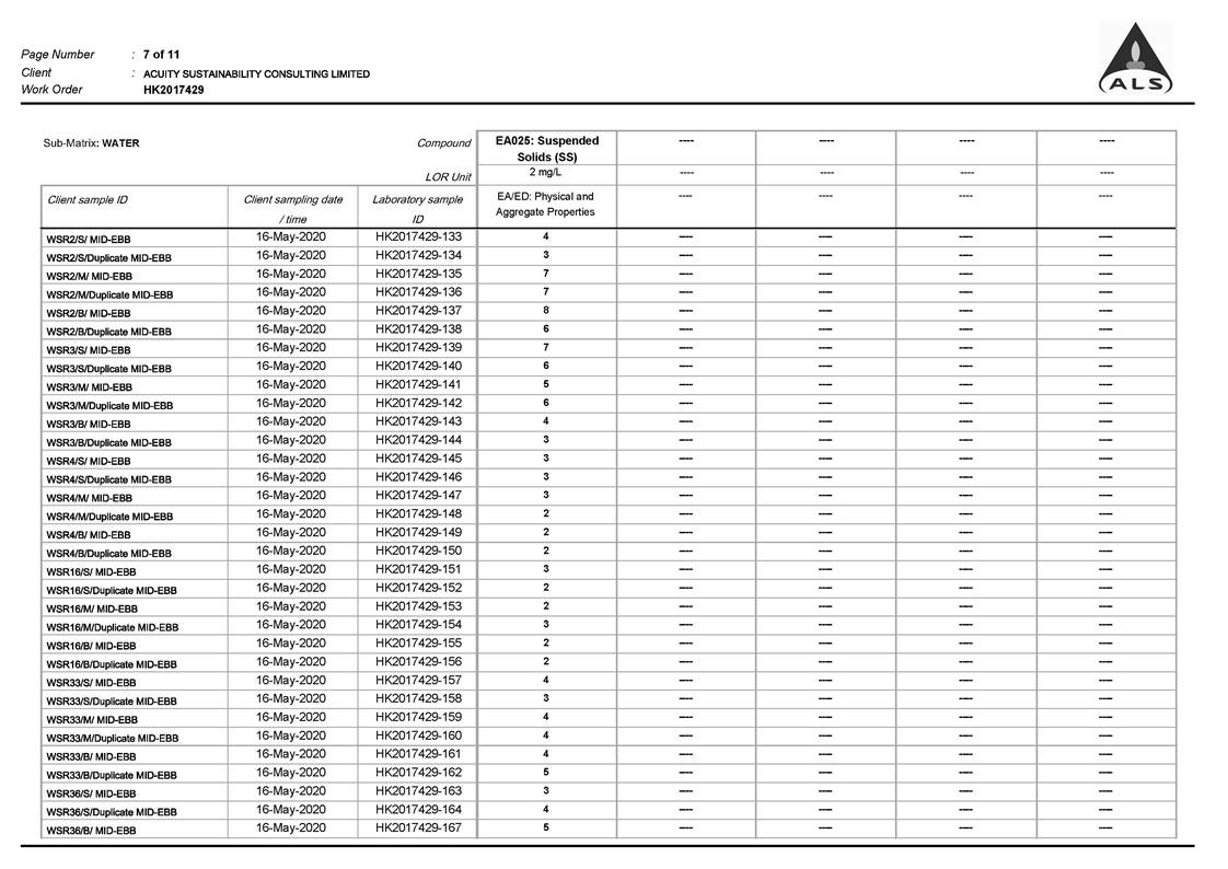
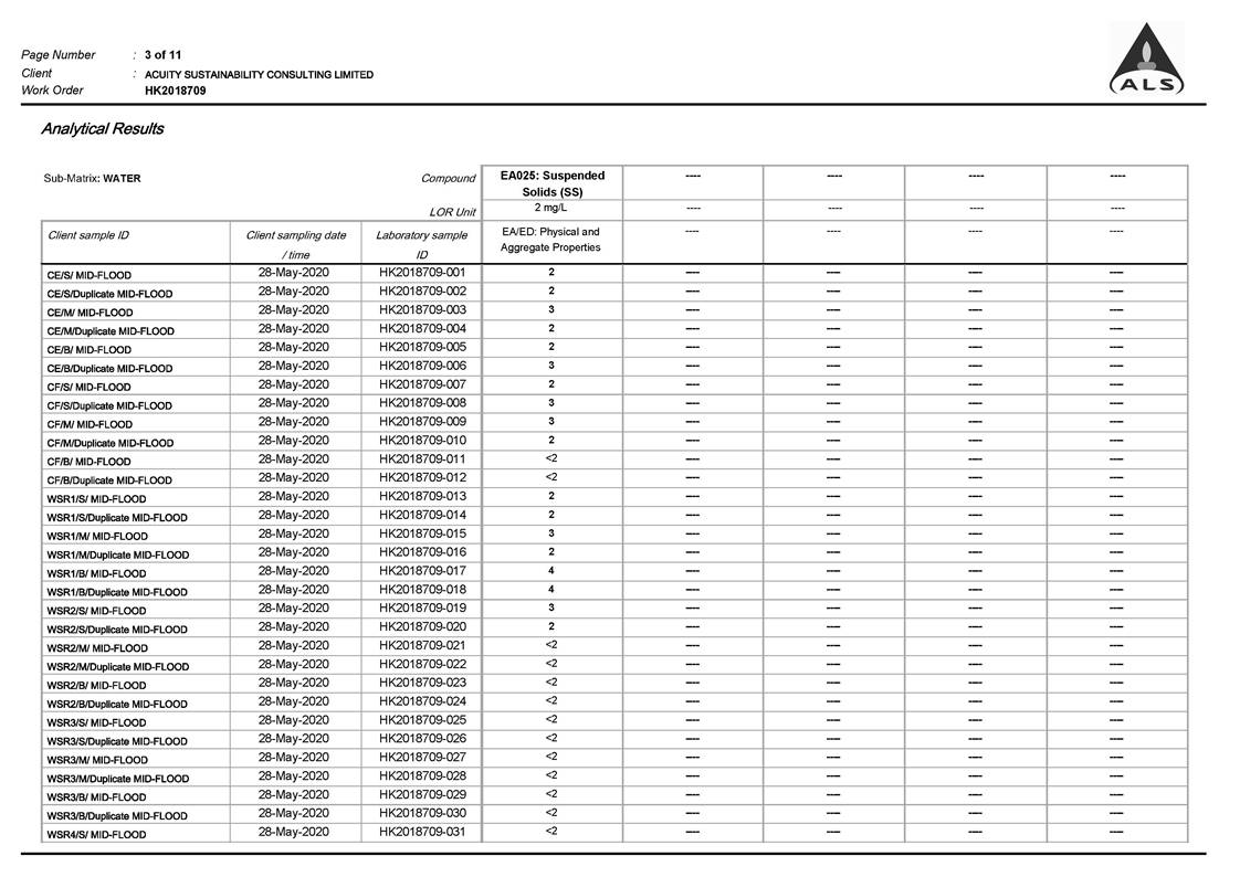
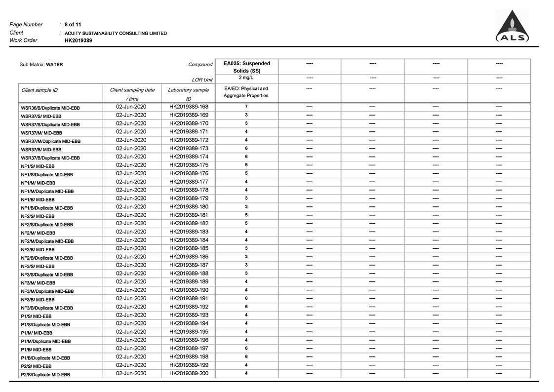
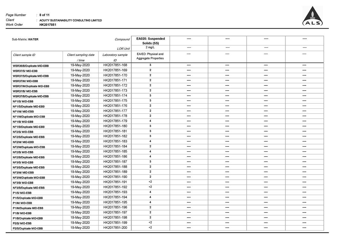
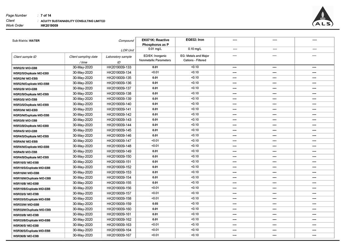
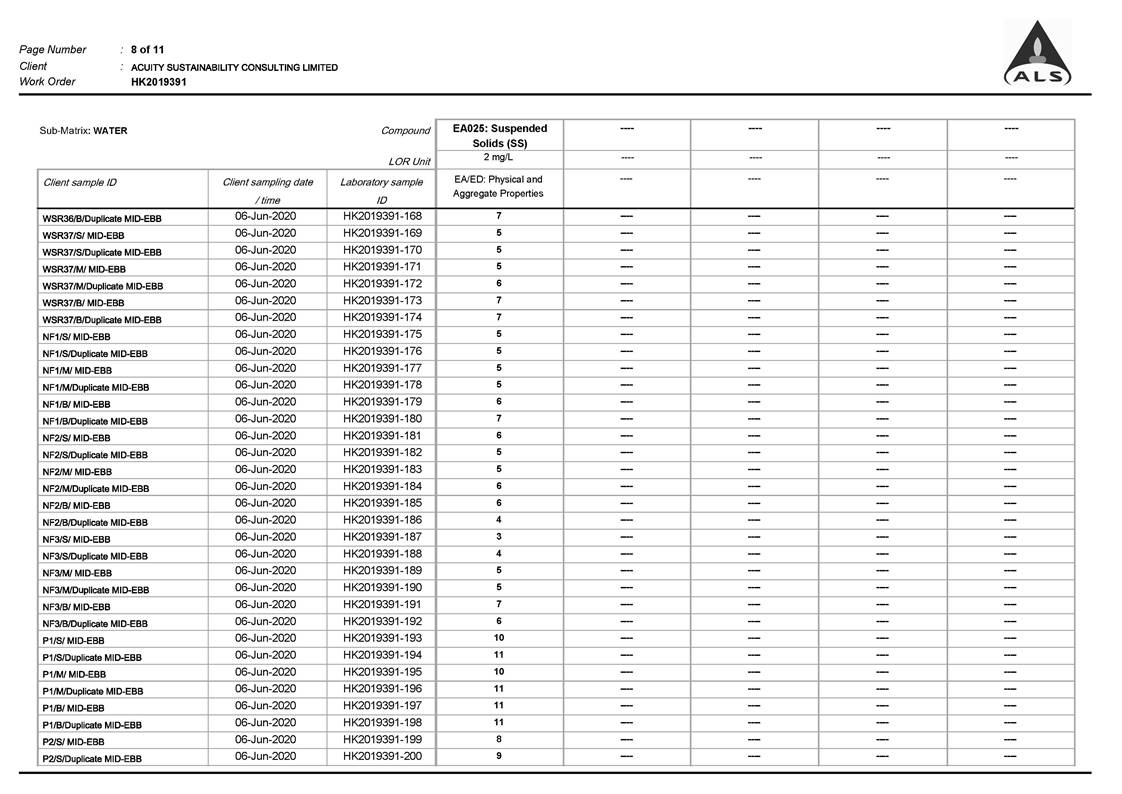
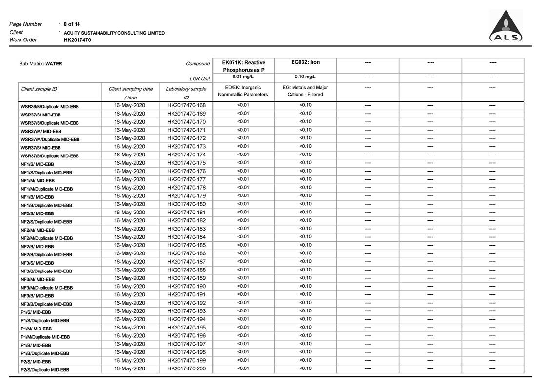
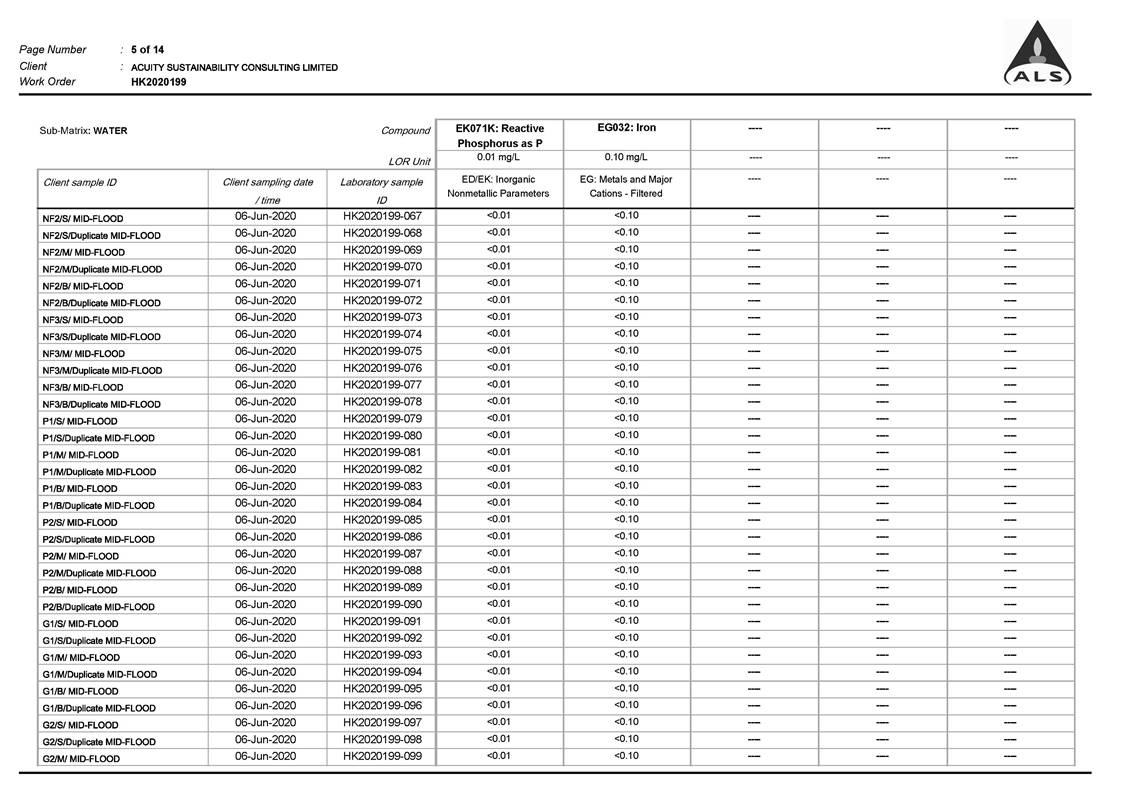
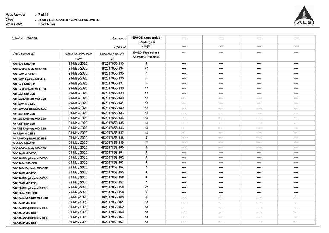
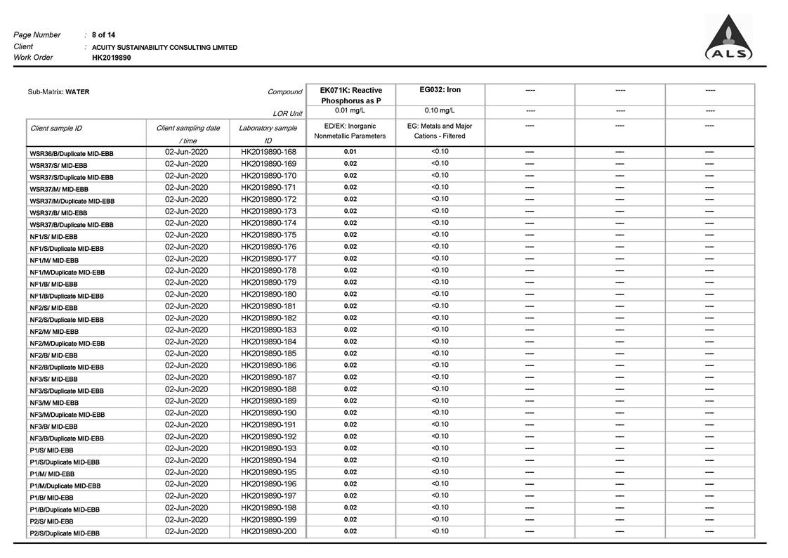
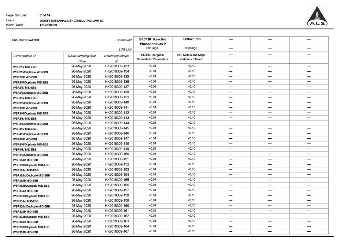
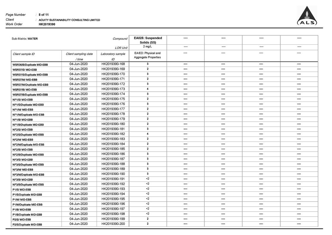
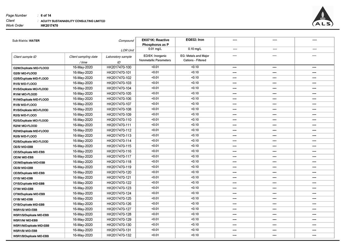
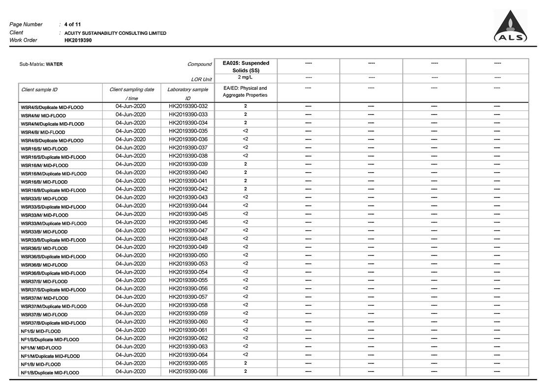
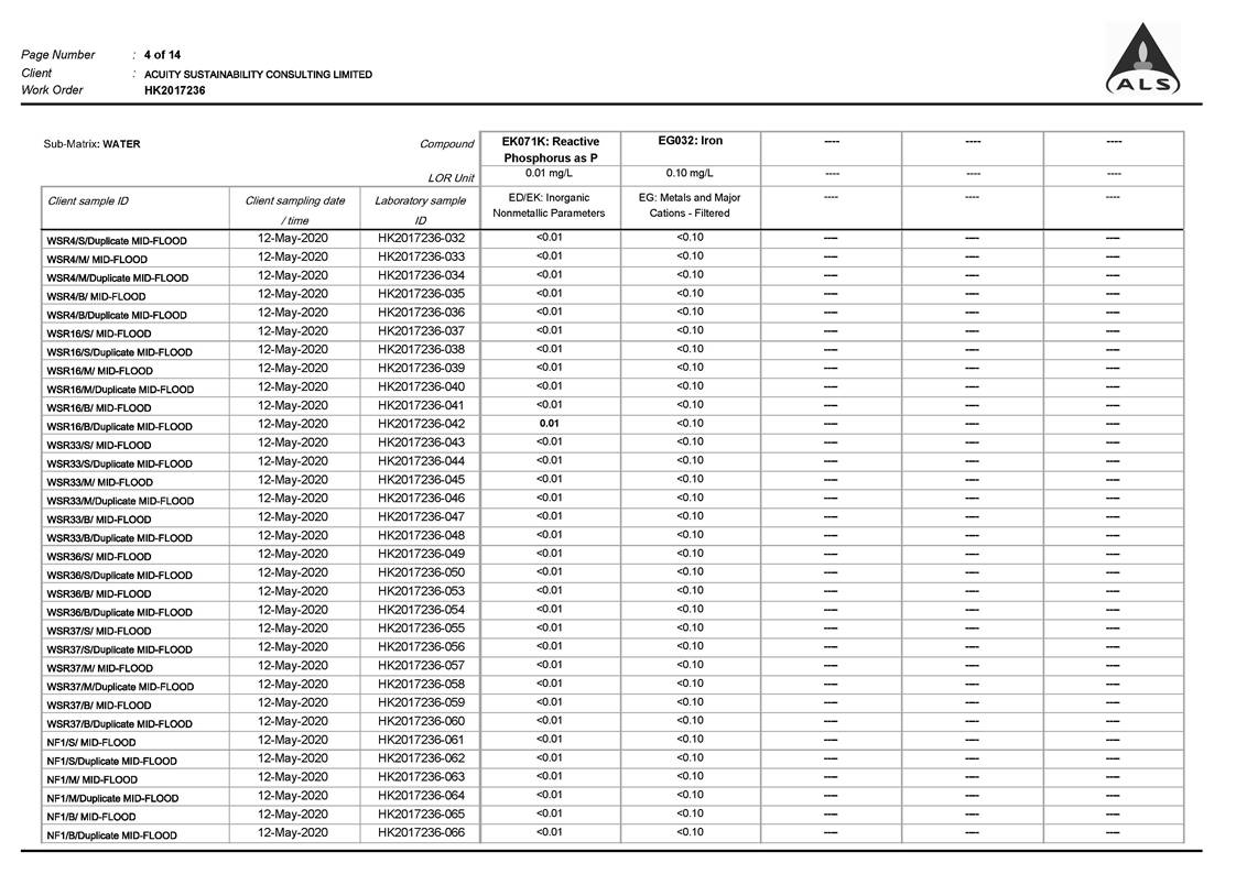
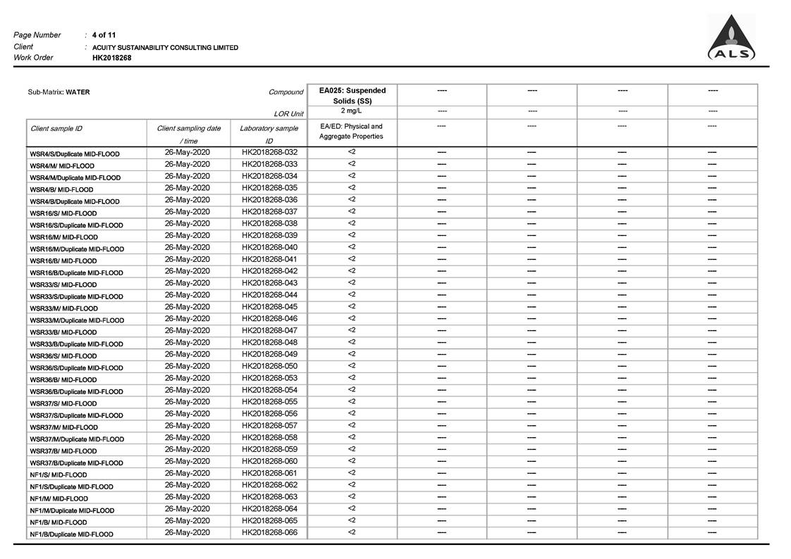
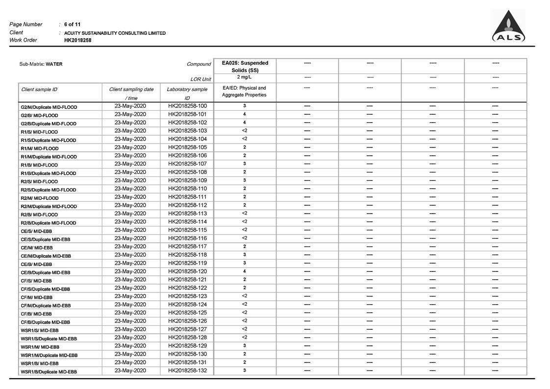
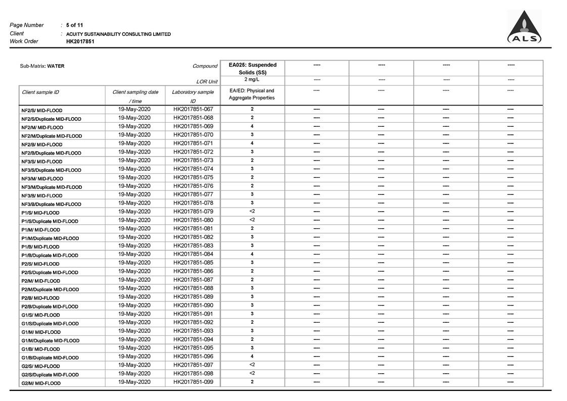
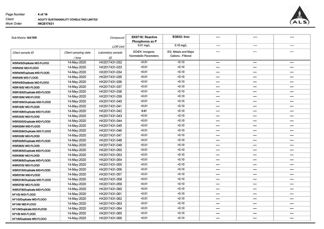
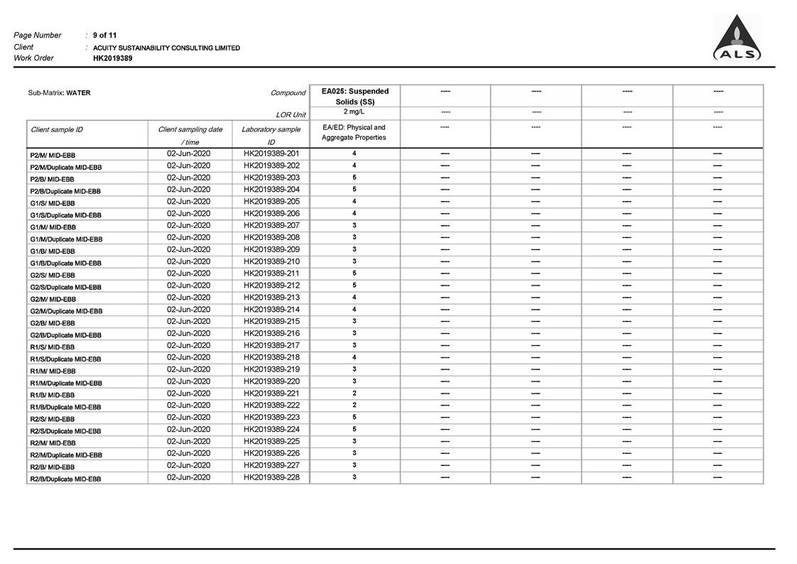
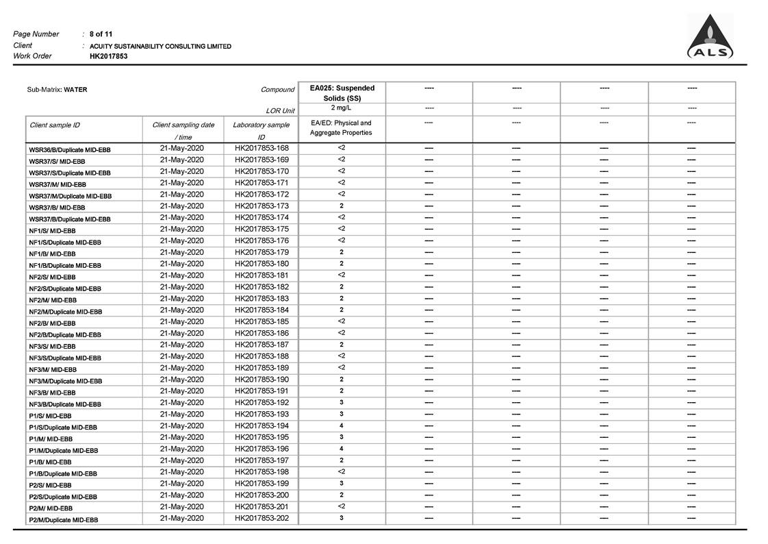
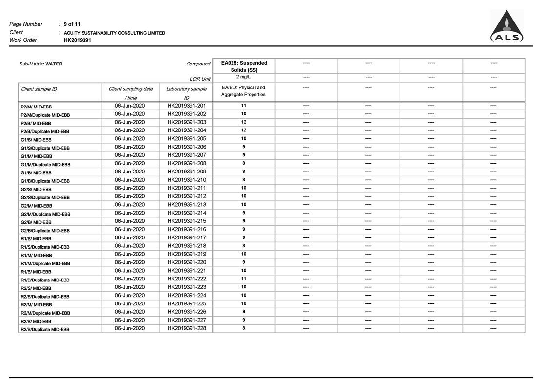
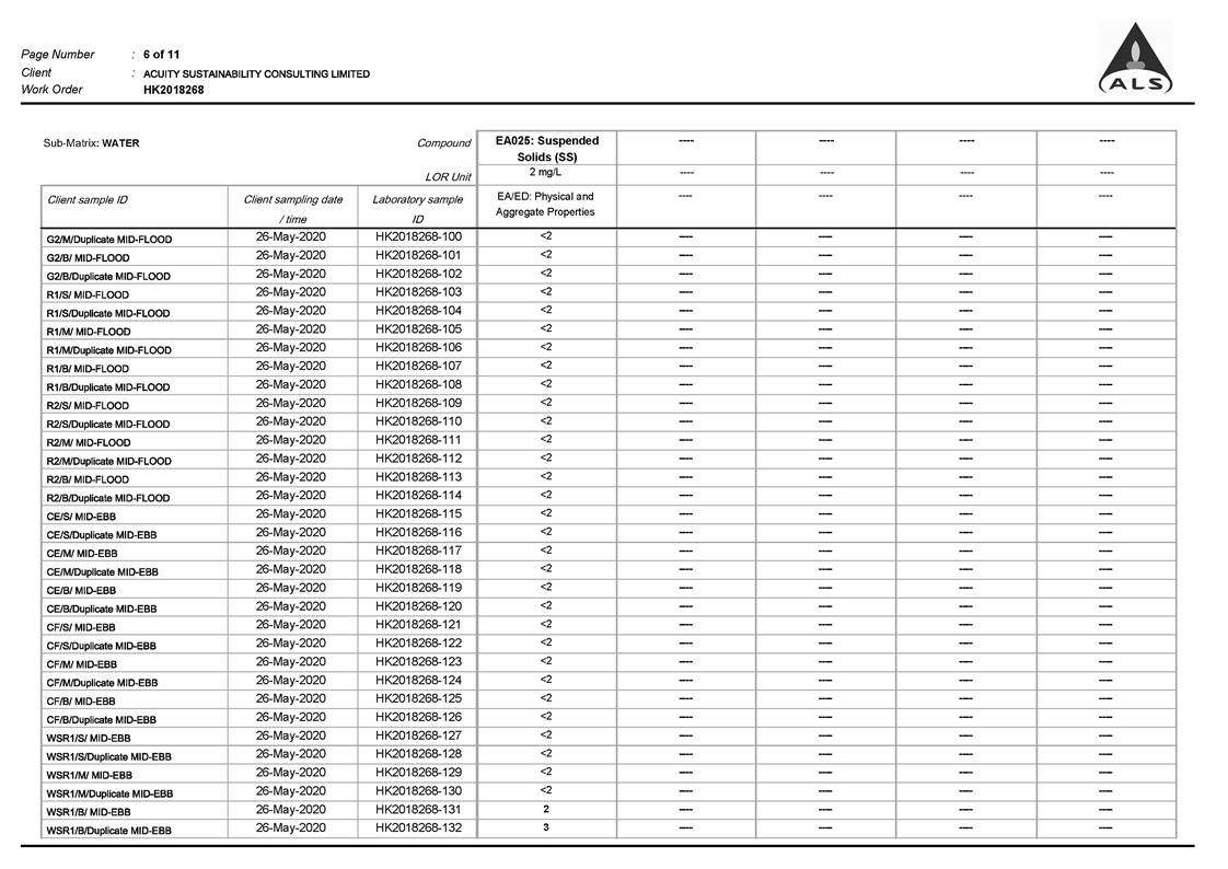
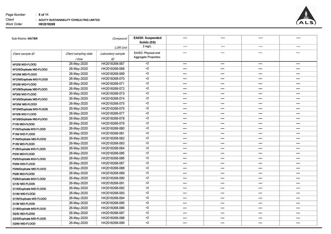
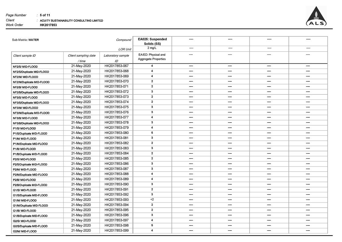
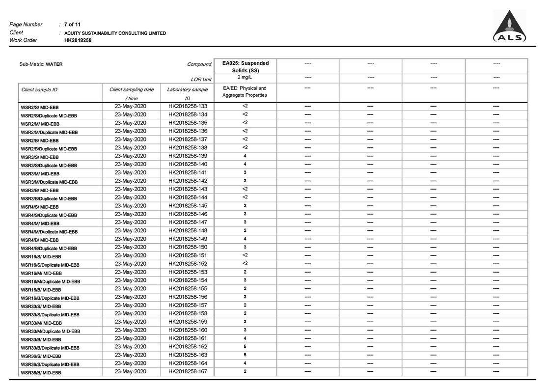
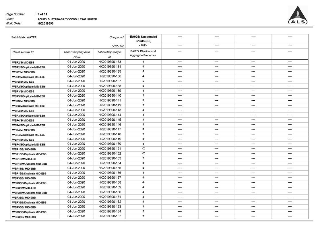
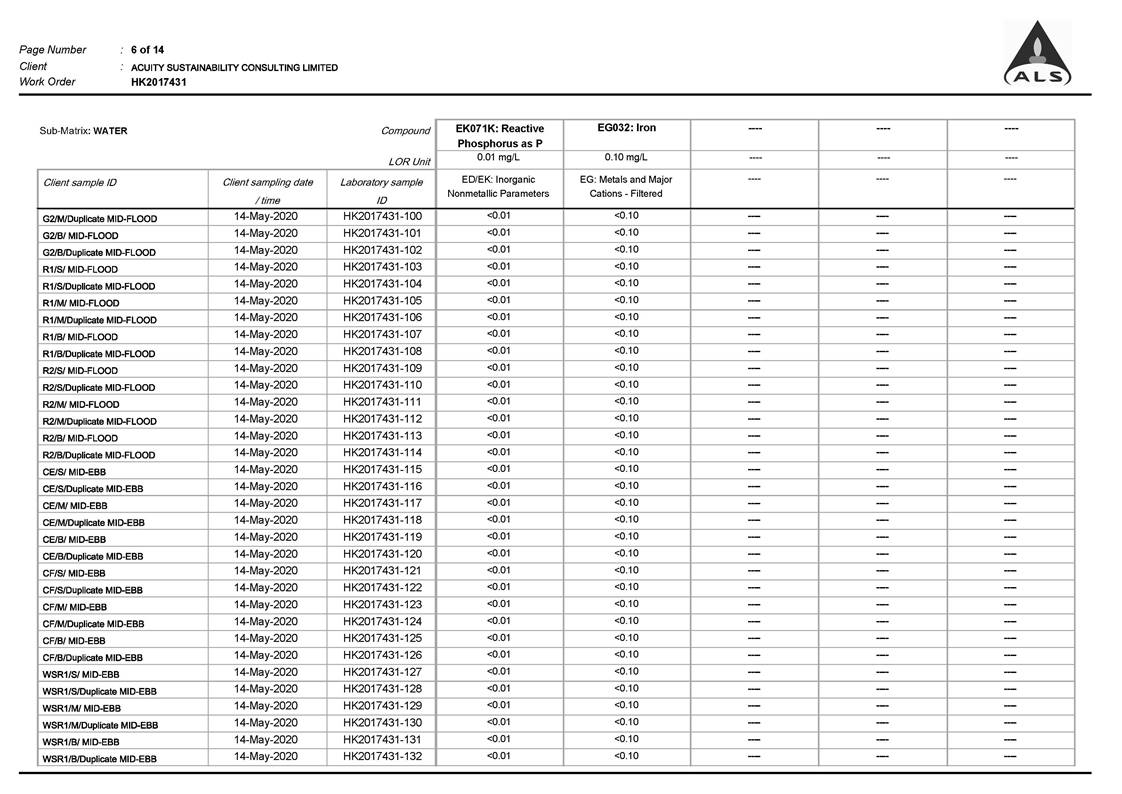
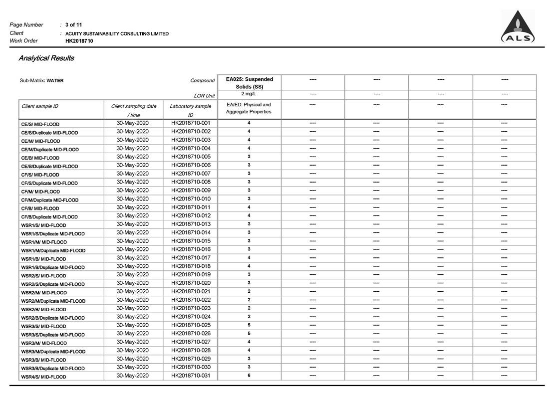
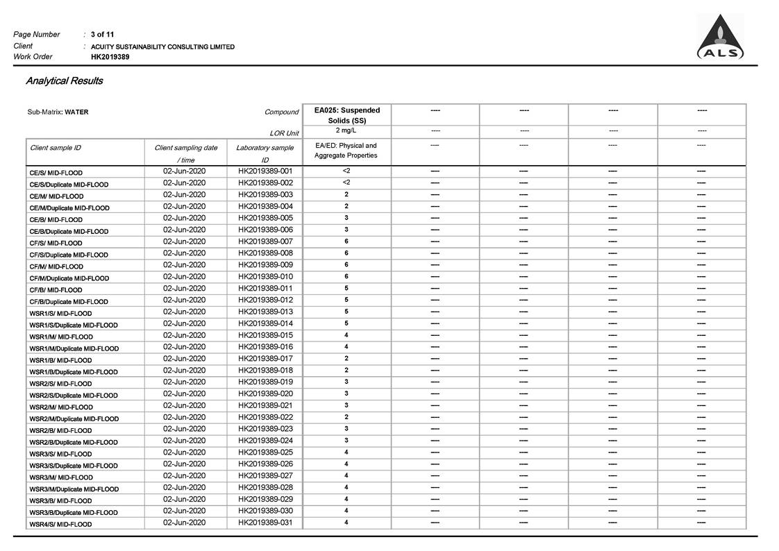
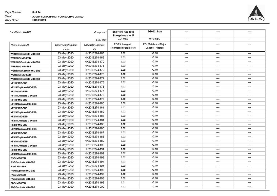
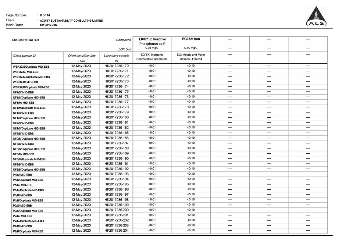
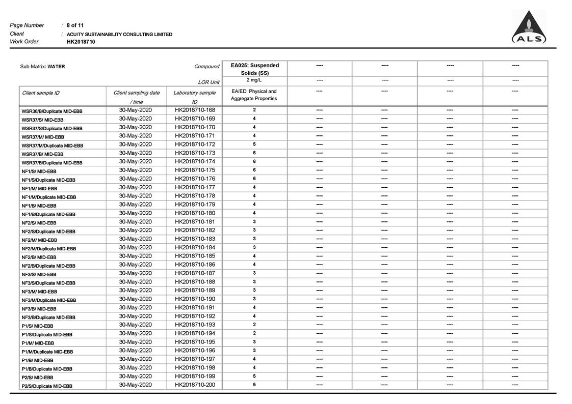
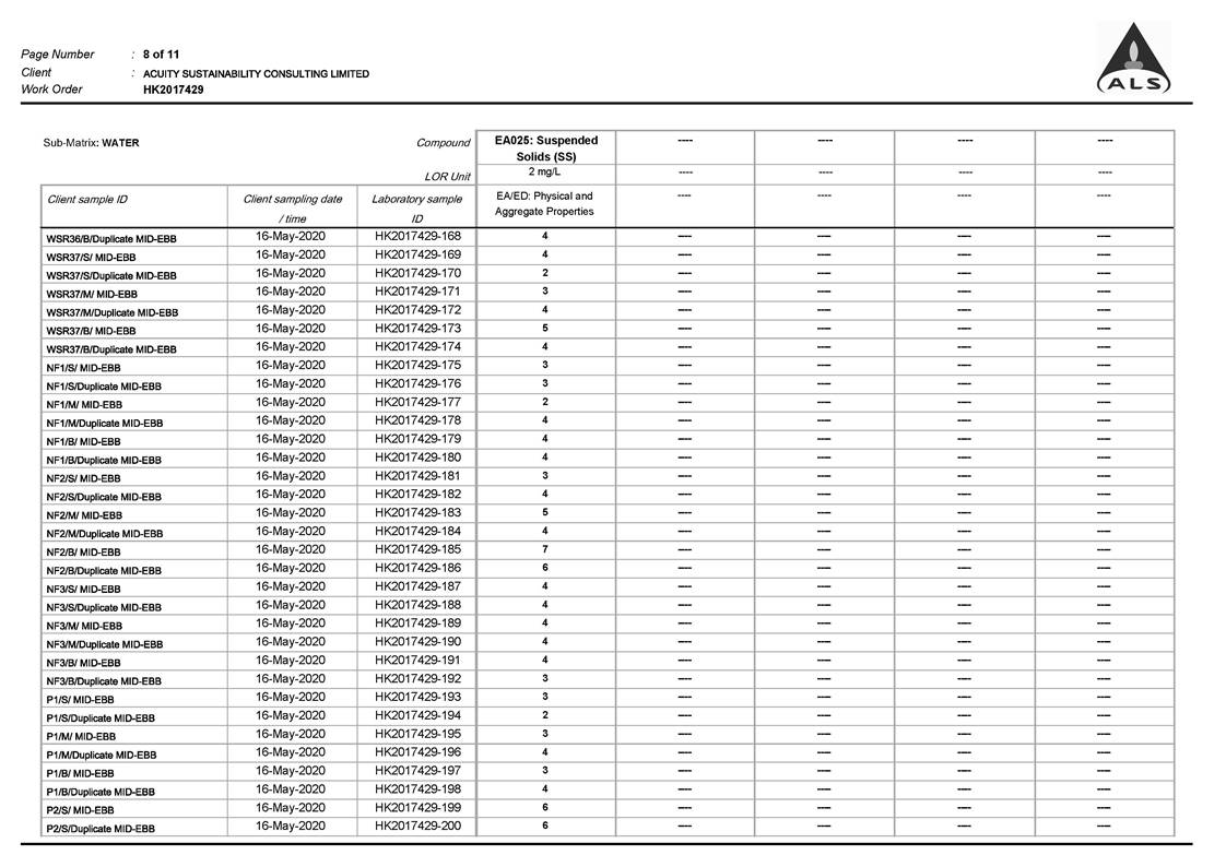
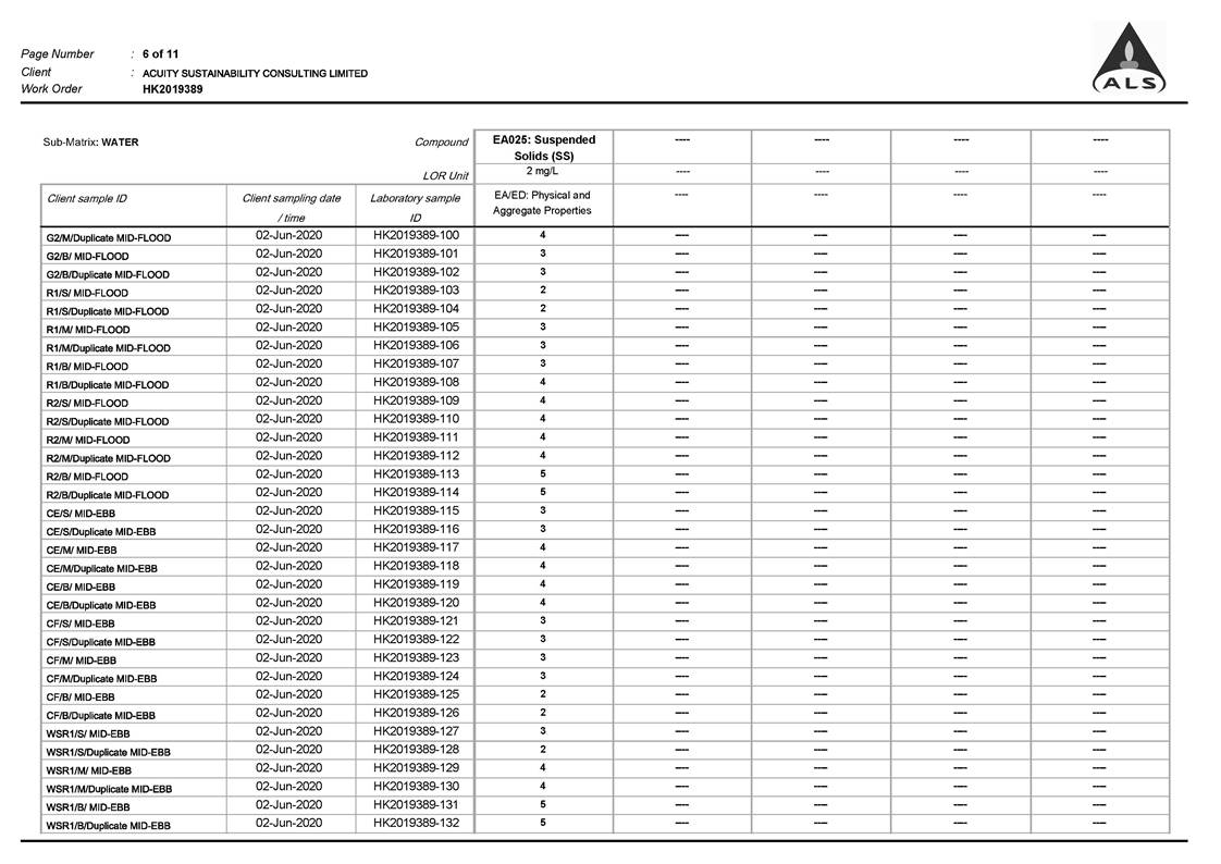
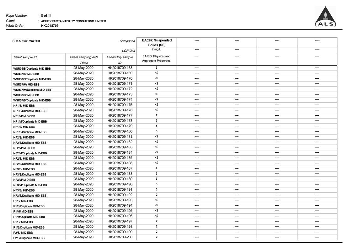
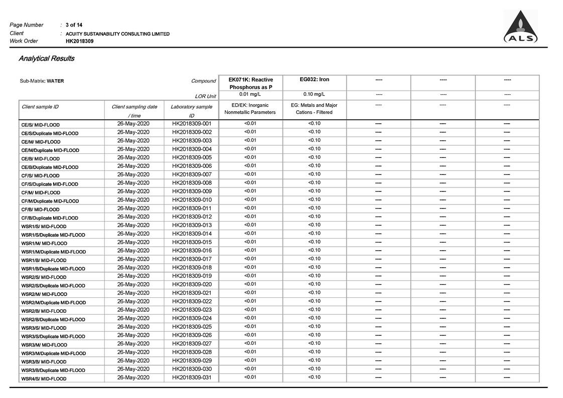
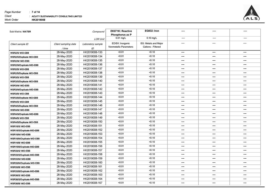
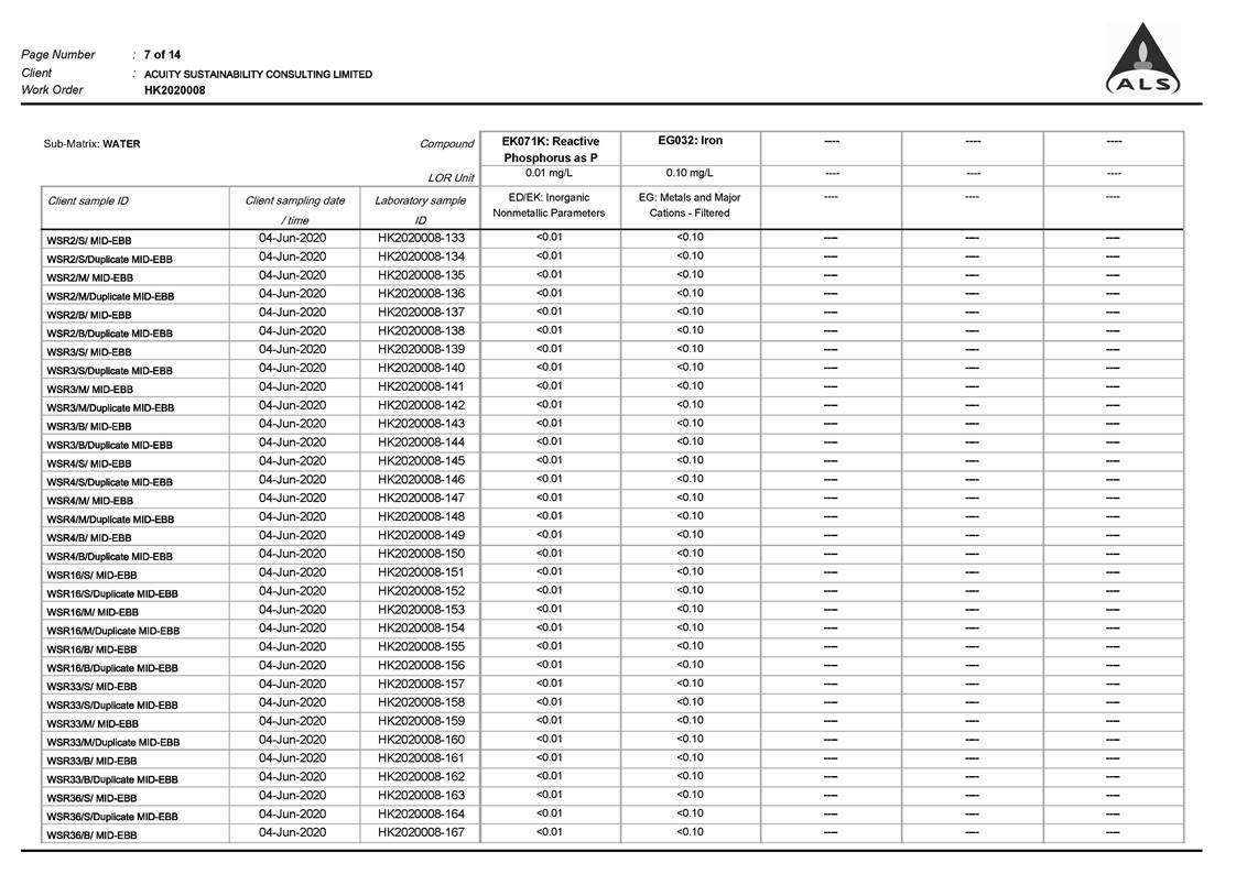
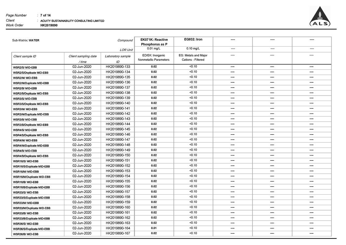
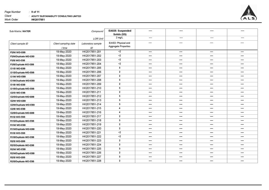
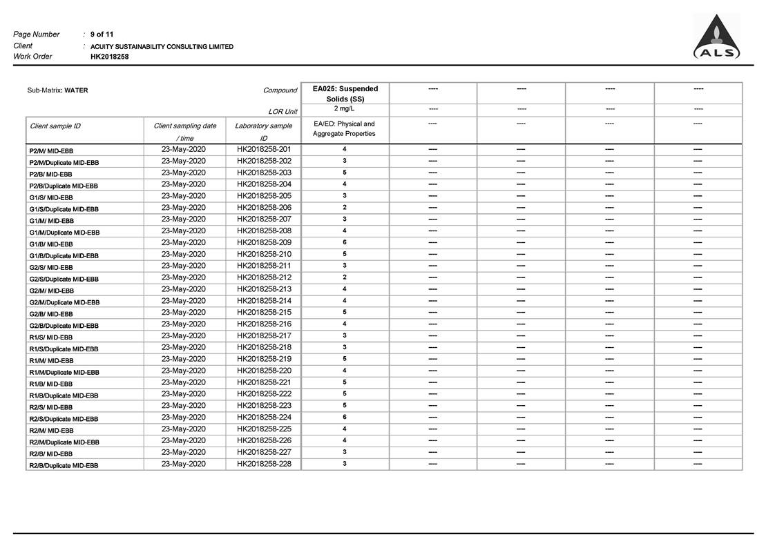
2.6.1.       The baseline marine water quality monitoring was conducted from 12 May 2020 to 6 Jun 2020 at all thirteen monitoring stations. The monitoring results are summarized in Table 2.4. Details of water quality monitoring results are presented in Appendix D.

 

2.6.2.       The weather conditions during the monitoring period were mainly sunny and cloudy. Sea conditions for the majority of monitoring days were either slight, calm or moderate. The data of 30 May 2020 and 6 June 2020 were collected under heavy rain. The data measured and sampled on 6 June 2020 were not used as baseline reference as agreed with the IEC. No construction activity, major pollution source and extreme weather, except 6 June 2020, which might affect the results were observed during the baseline water quality monitoring.

 

2.6.3.       There is no significant difference between control and impact stations for the parameters monitored.

 

2.6.4.       As the southern water is affected by seasonal changes, the baseline water quality monitoring has not taken into account the seasonal variations for determination of Action and Limit Level for WQM. Therefore, during the future impact monitoring, the water quality monitoring results at the control points shall serve as a reference to determine if any elevated concentration of the monitored parameter is due to seasonal variation or project contribution. Revision on derivation criteria of the Action and Limit Level for WQM has therefore been made as specified in Table 2.6 of the report.

 

 


Table 2.4      Summary of Baseline Water Quality Monitoring Results

 

 

 

 

Location

Parameters

 

 

Salinity (ppt)

Dissolved Oxygen (mg/L) note i

 

 

 

pH

 

 

Turbidity (NTU)

 

 

Suspended solids (mg/L)

 

 

Temperature (¢XC)

 

 

Iron (mg/L)

 

Surface &  Middle

 

Bottom

 

CE

Avg.

31.40

8.61

8.70

8.24

1.6

3.32

26.9

< 0.10

Min.

28.85

5.75

5.00

7.99

0.5

2.00

24.7

< 0.10

Max.

33.29

10.02

10.85

8.75

4.7

13.00

29.2

< 0.10

 

CF

Avg.

31.39

8.71

8.71

8.24

1.6

3.53

27.0

< 0.10

Min.

29.75

6.71

6.90

8.01

0.7

2.00

24.6

< 0.10

Max.

32.75

10.34

10.39

8.79

2.7

12.00

29.2

< 0.10

 

WSR1

Avg.

31.41

8.83

8.76

8.24

1.5

3.53

27.1

< 0.10

Min.

29.71

6.96

7.00

8.00

0.8

2.00

25.1

< 0.10

Max.

32.81

10.31

10.17

8.79

2.9

13.00

29.4

< 0.10

 

WSR2

Avg.

31.44

8.72

8.68

8.24

1.5

3.55

27.1

< 0.10

Min.

29.76

6.89

6.70

8.01

0.8

2.00

25.2

< 0.10

Max.

32.93

10.31

10.19

8.74

2.7

12.00

29.3

< 0.10

 

WSR3

Avg.

31.45

8.66

8.62

8.27

1.5

3.69

27.0

< 0.10

Min.

29.65

6.34

5.73

8.01

0.3

2.00

25.1

< 0.10

Max.

34.00

10.19

9.90

8.81

4.1

14.00

29.3

< 0.10

 

WSR4

Avg.

31.41

8.84

8.71

8.26

1.6

3.46

27.1

< 0.10

Min.

29.15

7.22

6.96

8.01

0.5

2.00

25.0

< 0.10

Max.

34.22

11.34

10.18

8.83

4.2

14.00

29.3

< 0.10

 

WSR16

Avg.

31.42

8.79

8.81

8.24

1.6

3.42

27.0

< 0.10

Min.

30.04

6.72

6.82

8.01

0.7

2.00

24.9

< 0.10

Max.

32.96

10.38

9.99

8.80

2.8

12.00

29.2

< 0.10

 

WSR33

Avg.

31.36

8.90

8.84

8.25

1.5

3.44

27.1

< 0.10

Min.

28.70

6.35

6.45

8.00

0.5

2.00

25.0

< 0.10

Max.

33.52

11.44

10.76

9.17

4.5

11.00

29.4

< 0.10

 

WSR36

Avg.

31.37

8.68

8.68

8.25

1.5

3.43

27.1

< 0.10

Min.

27.88

6.13

6.59

8.01

0.5

2.00

24.9

< 0.10

Max.

33.57

10.42

10.55

8.87

2.8

14.00

29.4

< 0.10

 

WSR37

Avg.

31.49

8.72

8.71

8.25

1.5

3.29

27.1

< 0.10

Min.

29.80

5.86

6.22

8.01

0.2

2.00

24.9

< 0.10

Max.

32.91

10.06

10.25

8.93

3.2

10.00

29.2

< 0.10

 

NF1

Avg.

31.48

8.76

8.93

8.24

1.5

3.35

27.0

< 0.10

Min.

29.89

6.64

6.87

8.01

0.5

2.00

24.4

< 0.10

Max.

33.78

10.44

11.30

9.00

4.3

11.00

29.2

< 0.10

 

NF2

Avg.

31.46

8.81

8.73

8.26

1.5

3.34

27.1

< 0.10

Min.

29.75

6.74

6.38

8.01

0.4

2.00

25.2

< 0.10

Max.

33.58

12.07

10.56

8.97

2.8

10.00

29.3

< 0.10

 

 

 

Location

Parameters

 

 

Salinity (ppt)

Dissolved Oxygen (mg/L) note i

 

 

pH

 

 

Turbidity (NTU)

 

 

Suspended solids (mg/L)

 

 

Temperature (¢XC)

 

 

Iron (mg/L)

 

Surface &  Middle

 

Bottom

 

NF3

Avg.

31.46

8.83

8.85

8.25

1.5

3.22

27.1

< 0.10

Min.

29.62

6.87

6.99

8.01

0.4

2.00

25.1

< 0.10

Max.

34.10

11.89

12.63

8.83

2.9

10.00

29.3

< 0.10

Notes:

i.                "Avg", ¡§Min¡¨ and ¡§Max¡¨ is the average, minimum and maximum respectively of the data from measurements conducted under mid- flood and mid-ebb tides at three water depths, except that of DO where the data for ¡§Surface & Middle¡¨ and ¡§Bottom¡¨ are calculated separately.

 

2.7.           ACTION AND LIMIT LEVELS

2.7.1.       The Action and Limit Levels have been set based on the derivation criteria specified in the EM&A Manual as shown in Table 2.5 below.

 

Table 2.5      Criteria of Action and Limit Levels for Water Quality

 

Parameters

Action

Limit

Construction Phase Impact Monitoring

DO in mg/L

Surface and Middle

5%-ile of baseline data for surface and middle layer

Bottom

5%-ile of baseline data for bottom layers

Tung Lung Chau Fish Culture Zone

5.1 mgL-1 or level at control station (whichever the lower)

Surface and Middle 4 mg L-1

 

Bottom 2 mg L-1

 

Tung Lung Chau Fish Culture Zone

5.0 mgL-1 or level at control station (whichever the lower)

SS in mg/L (Depth- averaged)

≥ 95 %-ile of baseline data or 20% exceedance of value at any impact station compared with corresponding data from control station

≥ 99 %-ile of baseline data or 30% exceedance of value at any impact station compared with corresponding data from control station

Turbidity in NTU (Depth-averaged)

≥ 95 %-ile of baseline data or 20% exceedance of value at any impact station compared with corresponding data from control station

≥ 99 %-ile of baseline data or 30% exceedance of value at any impact station compared with corresponding data from control station

First-year Operation Phase Monitoring

DO in mg/L

Surface and Middle

5%-ile of baseline data for surface and middle layer

Bottom

5%-ile of baseline data for bottom layers

Tung Lung Chau Fish Culture Zone

5.1 mgL-1 or level at control station (whichever the lower)

Surface and Middle 4 mg L-1

 

Bottom 2 mg L-1

 

Tung Lung Chau Fish Culture Zone

5.0 mgL-1 or level at control station (whichever the lower)

SS in mg/L (Depth- averaged)

≥ 95 %-ile of baseline data or 20% exceedance of value at any impact station compared with corresponding data from control station

≥ 99 %-ile of baseline data or 30% exceedance of value at any impact station compared with corresponding data from control station

Turbidity in NTU (Depth-averaged)

≥ 95 %-ile of baseline data or 20% exceedance of value at any impact station compared with corresponding data from control station

≥ 99 %-ile of baseline data or 30% exceedance of value at any impact station compared with corresponding data from control station

Salinity in PSU (Depth-averaged)

109% of baseline level or 9% exceedance of value at any impact station compared with corresponding data from control

station

110% of baseline level or 10% exceedance of value at any impact station compared with corresponding data from control station

Iron in mg/L (Depth-averaged)

0.3 mgL-1

0.3 mgL-1

 

2.7.2.       Based on the baseline water quality monitoring data and the derivation criteria specified above, the Action/Limit Levels have been derived and are presented in Table 2.6.

 

Table 2.6      Derived Action and Limit Levels for Water Quality

 

Parameters

Action

Limit

 

Construction Phase Impact Monitoring

 

DO in mg/L

Surface and Middle

7.30   mg L-1 Bottom

7.31  mg L-1

Tung Lung Chau Fish Culture Zone

5.1 mgL-1 or level at control station (whichever the lower)

Surface and Middle 4 mg L-1

Bottom 2 mg L-1

Tung Lung Chau Fish Culture Zone

5.0 mgL-1 or level at control station (whichever the lower)

 

SS         in         mg/L (Depth-averaged)

5.00 mg L-1 or 20% exceedance of value at any impact station compared with corresponding data

from control station

6.00 mg L-1 or 30% exceedance of value at any impact station compared with corresponding

data from control station

 

Turbidity in NTU (Depth-averaged)

2.41 NTU or 20% exceedance of value at any impact station compared with corresponding data

from control station

2.84 NTU or 30% exceedance of value at any impact station compared with corresponding

data from control station

 

First-year Operation Phase Monitoring iv

 

DO in mg/L

Surface and Middle

7.30   mg L-1 Bottom

7.31  mg L-1

Tung Lung Chau Fish Culture Zone

5.1 mgL-1 or level at control station (whichever the lower)

Surface and Middle 4 mg L-1

Bottom 2 mg L-1

Tung Lung Chau Fish Culture Zone

5.0 mgL-1 or level at control station (whichever the lower)

 

SS         in         mg/L (Depth-averaged)

5.00 mg L-1 or 20% exceedance of value at any impact station compared with corresponding data from control station

6.00 mg L-1 or 30% exceedance of value at any impact station compared with corresponding data from control station

 

Turbidity in NTU (Depth-averaged)

2.41 NTU or 20% exceedance of value at any impact station compared with corresponding data from control station

2.84 NTU or 30% exceedance of value at any impact station compared with corresponding data from control station

Salinity     in     PSU (Depth-averaged)

34.28 PSU or 9% exceedance of value at any impact station compared with corresponding data

from control station

34.60 PSU or 10% exceedance of value at any impact station compared with corresponding

data from control station

Iron in mg/L (Depth-averaged)

0.3 mgL-1

0.3 mgL-1

 

Notes:

i.                "Depth-averaged" is calculated by taking the arithmetic means of reading of all three depths.

ii.               For DO, non-compliance of the water quality limits occurs when monitoring result is lower than the limits.

iii.             For Turbidity, SS, iron and Salinity, non-compliance of the water quality limits occurs when monitoring result is higher than the limits.

iv.             For the Action and Limit Levels adopted during First-year Operation Phase Monitoring, further review would be made according to the EM&A Manual during Operation Phase.

 

 

 

3.                CONCLUSION

 

3.1.           REVISION FOR INCLUSION IN THE EM&A DOCUMENTS

3.1.1.   The baseline environmental monitoring was conducted according to the EM&A Manual.    The monitoring methodology, parameters monitored, and monitoring locations are all in line with the EM&A Manual for the Project.

 

3.2.           WATER QUALITY

 

3.2.1.       Baseline marine water quality monitoring was conducted between 12 May 2020 to 6 Jun 2020 at thirteen monitoring stations. All monitoring stations as specified in EM&A Manual were accessible and thus there is no revision for inclusion in the EM&A Manual.

 

3.2.2.       No major pollution sources affecting the water quality baseline monitoring at the thirteen monitoring stations were observed.

 

3.2.3.       Action and Limit Levels were derived based on the baseline water quality monitoring results according to the EM&A Manual.

 

 

 

 

 

 

 

Appendix A

 

Master Programme

 

 


 

 

 

 

 

 

 

Appendix B

 

Overview of Desalination Plant in Tseung Kwan O

 

 

 

 

 

 

 

 

 

 

 

 

 

 

 

 

Appendix C

 

Baseline Water Quality Monitoring Schedule

 

 

 

 

 

 


 

 

 

Baseline Monitoring Schedule for DPTKO

May-20

Sun

Mon

Tue

Wed

Thu

Fri

Sat

 

 

 

 

 

1

2

 

 

 

 

 

 

 

3

4

5

6

7

8

9

 

 

 

 

 

 

 

10

11

12

13

14

15

16

 

 

Baseline

Water Quality monitoring

at CE, CF, WSR1, WSR2, WSR3, WSR4, WSR16, WSR33, WSR36, WSR37, NF1, NF2, NF3, P1, P2, G1, G2, R1 & R2

Tidal Period:

Ebb Tide: 12:04 - 21:03

Flood Tide: 05:25 - 12:04 Monitoring Time:

Mid-ebb: 14:48 - 18:18

* Mid-flood: 08:00 - 11:30

 

Baseline

Water Quality monitoring

at CE, CF, WSR1, WSR2, WSR3, WSR4, WSR16, WSR33, WSR36, WSR37, NF1, NF2, NF3, P1, P2, G1, G2, R1 & R2

Tidal Period:

Ebb Tide: 13:41 - 22:09

Flood Tide: 07:00 - 13:41 Monitoring Time:

Mid-ebb: 14:06 - 17:36

Mid-flood: 08:35 - 12:05

 

Baseline

Water Quality monitoring

at CE, CF, WSR1, WSR2, WSR3, WSR4, WSR16, WSR33, WSR36, WSR37, NF1, NF2, NF3, P1, P2, G1, G2, R1 & R2

Tidal Period:

Ebb Tide: 07:12 - 11:00

Flood Tide: 11:00 - 16:12 Monitoring Time:

*# Mid-ebb: 08:00 - 11:00

Mid-flood: 11:51 - 15:21

17

18

19

20

21

22

23

 

 

Baseline

Water Quality monitoring

at CE, CF, WSR1, WSR2, WSR3, WSR4, WSR16, WSR33, WSR36, WSR37, NF1, NF2, NF3, P1, P2, G1, G2, R1 & R2

Tidal Period:

Ebb Tide: 08:02 - 13:50

Flood Tide: 13:50 - 19:47 Monitoring Time:

Mid-ebb: 09:11 - 12:41

Mid-flood: 15:03 - 18:33

 

Baseline

Water Quality monitoring

at CE, CF, WSR1, WSR2, WSR3, WSR4, WSR16, WSR33, WSR36, WSR37, NF1, NF2, NF3, P1, P2, G1, G2, R1 & R2

Tidal Period:

Ebb Tide: 08:33 - 15:03

Flood Tide: 15:03 - 21:22 Monitoring Time:

Mid-ebb: 10:03 - 13:33

Mid-flood: 15:21 - 18:51

 

Baseline

Water Quality monitoring

at CE, CF, WSR1, WSR2, WSR3, WSR4, WSR16, WSR33, WSR36, WSR37, NF1, NF2, NF3, P1, P2, G1, G2, R1 & R2

Tidal Period:

Ebb Tide: 09:12 - 16:18

Flood Tide: 16:18 - 22:47 Monitoring Time:

Mid-ebb: 11:00 - 14:30

& Mid-flood: 16:20 - 19:00

24

25

26

27

28

29

29

 

 

Baseline

Water Quality monitoring

at CE, CF, WSR1, WSR2, WSR3, WSR4, WSR16, WSR33, WSR36, WSR37, NF1, NF2, NF3, P1, P2, G1, G2, R1 & R2

Tidal Period:

Ebb Tide: 11:00 - 18:28

Flood Tide: 03:44 - 11:00 Monitoring Time:

Mid-ebb: 12:59 - 16:29

* Mid-flood: 08:00 - 11:00

 

Baseline

Water Quality monitoring

at CE, CF, WSR1, WSR2, WSR3, WSR4, WSR16, WSR33, WSR36, WSR37, NF1, NF2, NF3, P1, P2, G1, G2, R1 & R2

Tidal Period:

Ebb Tide: 11:29 - 20:21

Flood Tide: 04:41 - 11:29 Monitoring Time:

Mid-ebb: 14:10 - 17:40

* Mid-flood: 08:00 - 11:30

 

Baseline

Water Quality monitoring

at CE, CF, WSR1, WSR2, WSR3, WSR4, WSR16, WSR33, WSR36, WSR37, NF1, NF2, NF3, P1, P2, G1, G2, R1 & R2

Tidal Period:

Ebb Tide: 14:07 - 22:19

Flood Tide: 07:46 - 14:07 Monitoring Time:

Mid-ebb: 14:31 - 18:01

Mid-flood: 09:11 - 12:41

30

31

 

 

 

 

 

 

 

 

 

 

 

 

 

 

 

 

 

Note:

* - Due to safty concern, Water Quality Monitoring would start at 0800.

& - Due to safety concern for sampling event in night-time, Water Quality Monitoring would end at 1900. # - The difference of tidal range closest to 0.5m is selected as far as practicable.


 

 

Baseline Monitoring Schedule for DPTKO

Jun-20

Sun

Mon

Tue

Wed

Thu

Fri

Sat

 

1

2

3

4

5

6

 

 

Baseline

Water Quality monitoring

at CE, CF, WSR1, WSR2, WSR3, WSR4, WSR16, WSR33, WSR36, WSR37, NF1, NF2, NF3, P1, P2, G1, G2, R1 & R2

Tidal Period:

Ebb Tide: 06:52 - 12:03

Flood Tide: 12:33 - 19:00 Monitoring Time:

* Mid-ebb: 08:00 - 11:30

Mid-flood: 14:01 - 17:31

 

Baseline

Water Quality monitoring

at CE, CF, WSR1, WSR2, WSR3, WSR4, WSR16, WSR33, WSR36, WSR37, NF1, NF2, NF3, P1, P2, G1, G2, R1 & R2

Tidal Period:

Ebb Tide: 07:52 - 14:00

Flood Tide: 14:00 - 21:16 Monitoring Time:

Mid-ebb: 09:11 - 12:41

Mid-flood: 14:21 - 17:51

 

Baseline

Water Quality monitoring

at CE, CF, WSR1, WSR2, WSR3, WSR4, WSR16, WSR33, WSR36, WSR37, NF1, NF2, NF3, P1, P2, G1, G2, R1 & R2

Tidal Period:

Ebb Tide: 09:00 - 16:00

Flood Tide: 16:00 - 23:00 Monitoring Time:

Mid-ebb: 10:45 - 14:15

& Mid-flood: 16:00 - 19:00

7

8

9

10

11

12

13

 

 

 

 

 

 

 

14

15

16

17

18

19

20

 

 

 

 

 

 

 

21

22

23

24

25

26

27

 

 

 

 

 

 

 

28

29

30

 

 

 

 

 

 

 

 

 

 

 

 

 

 

 

 

Note:

* - Due to safty concern, Water Quality Monitoring would start at 0800.

& - Due to safety concern for sampling event in night-time, Water Quality Monitoring would end at 1900. # - The difference of tidal range closest to 0.5m is selected as far as practicable.

 


 

 

 

 

 

 

 

 

 

 

 

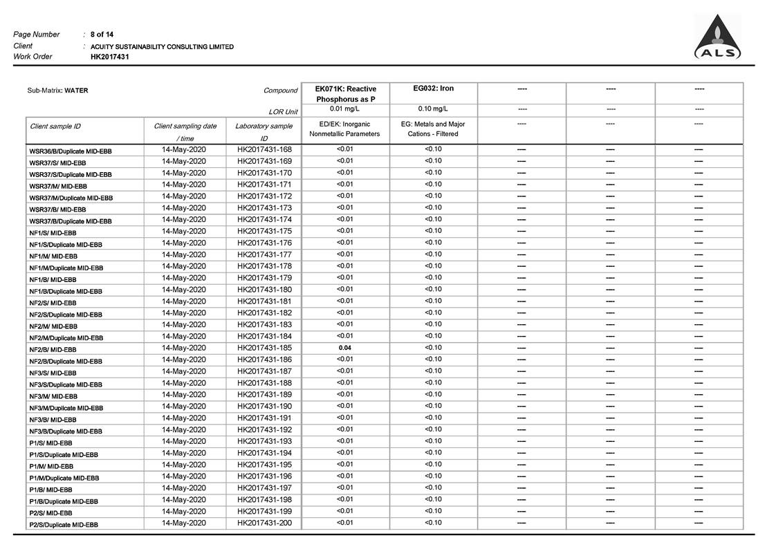
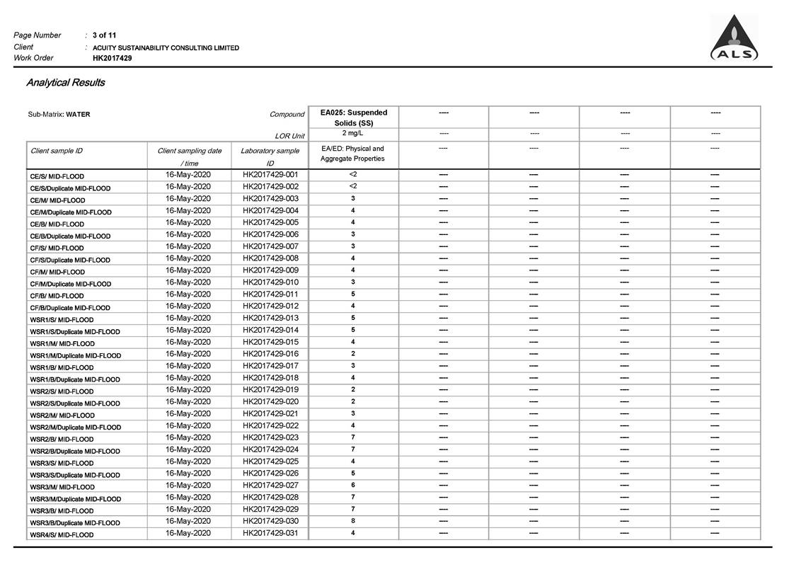
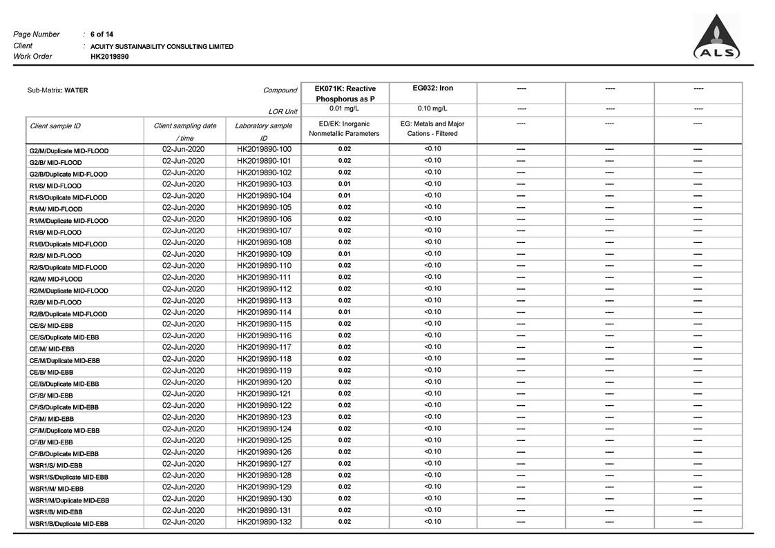
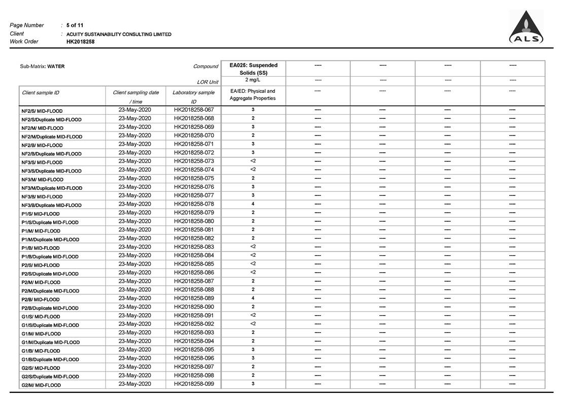
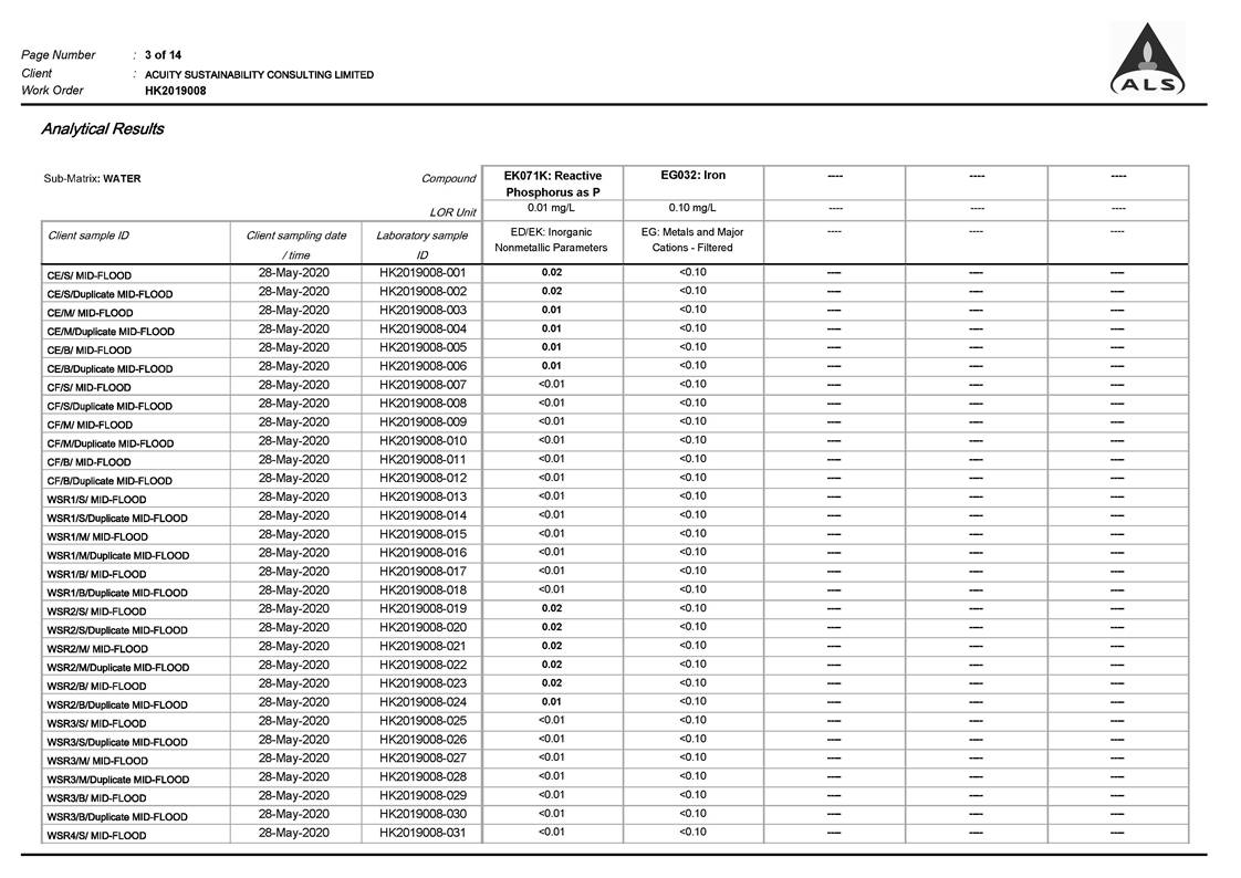
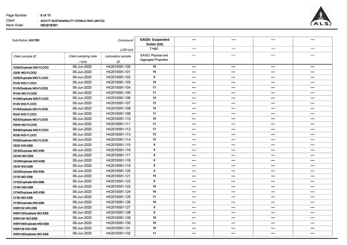
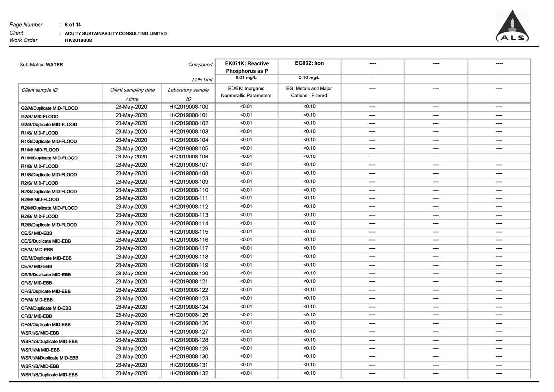
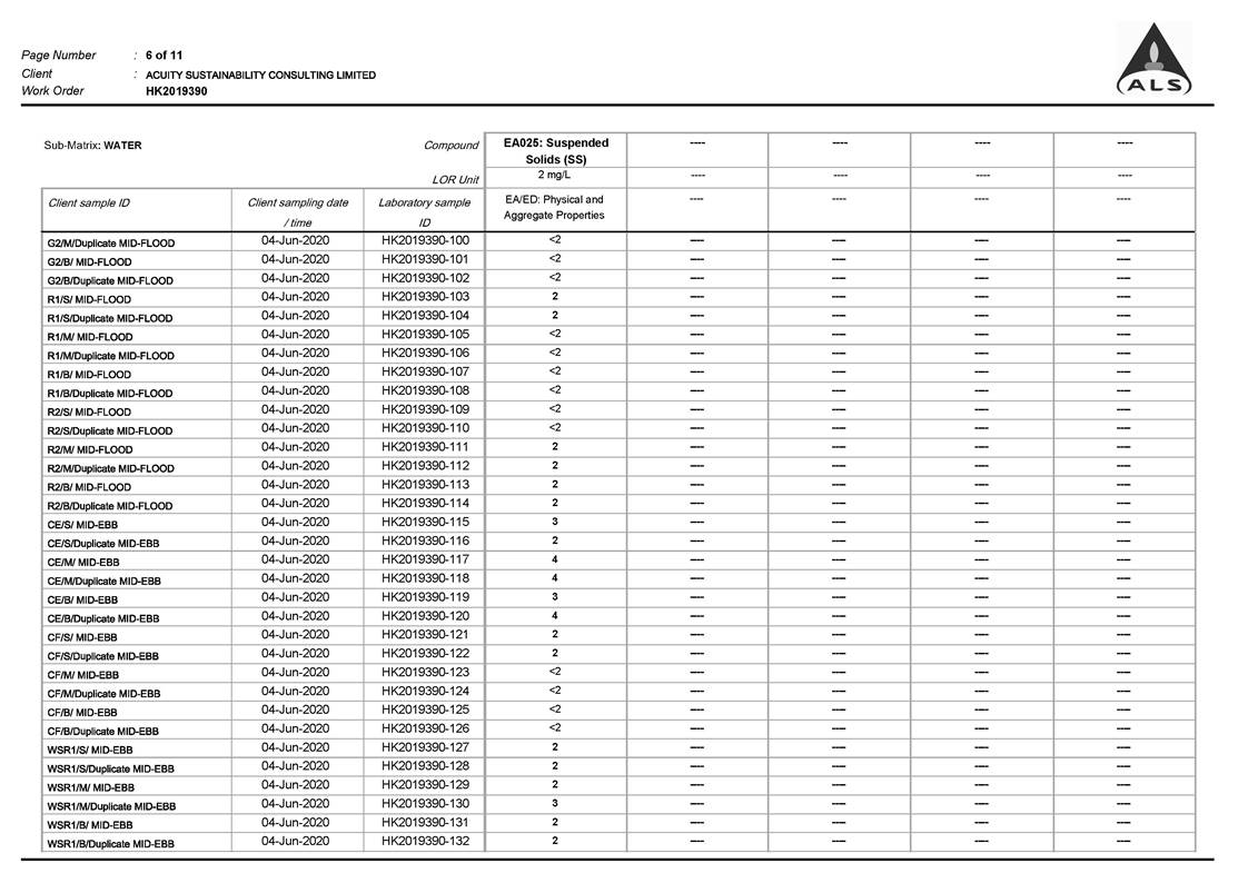
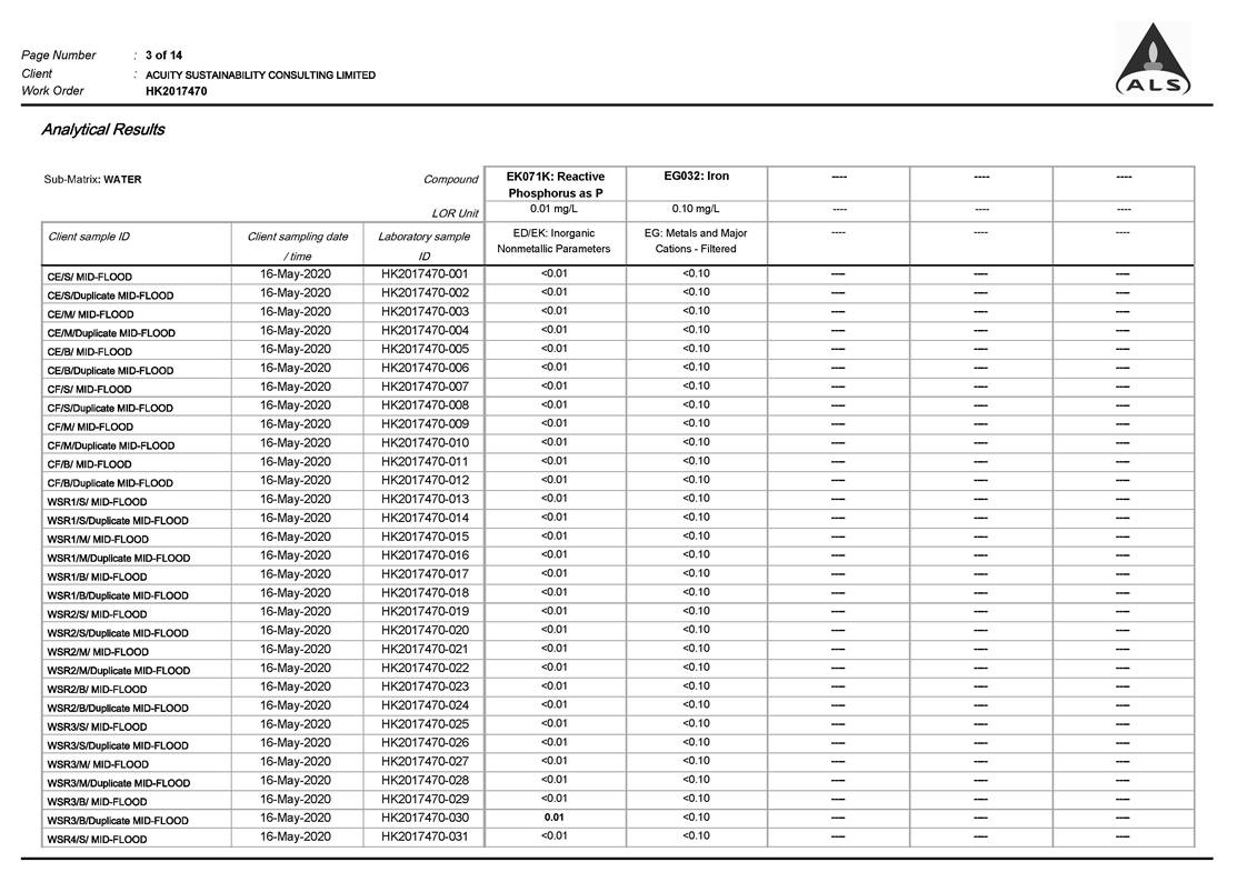
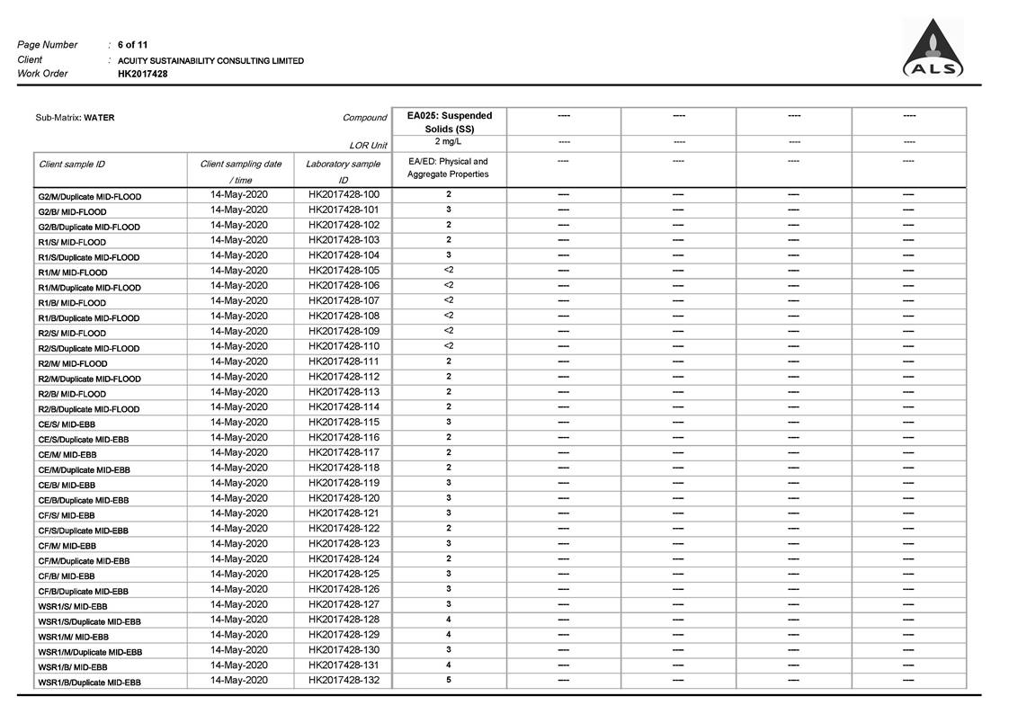
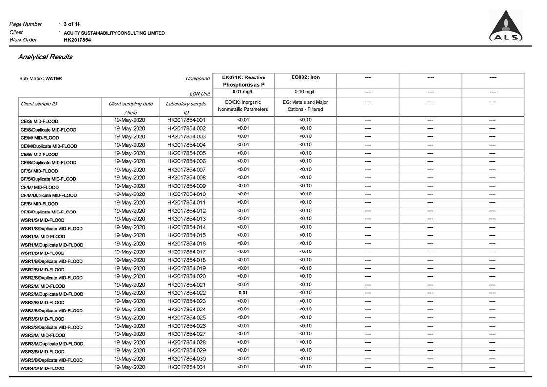
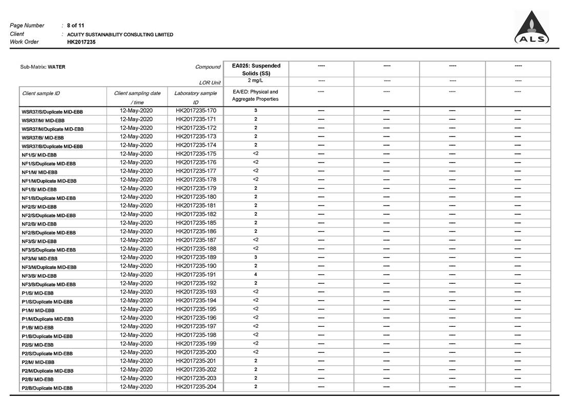
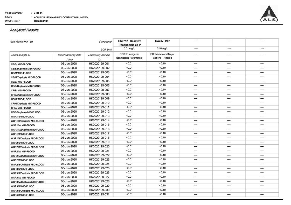
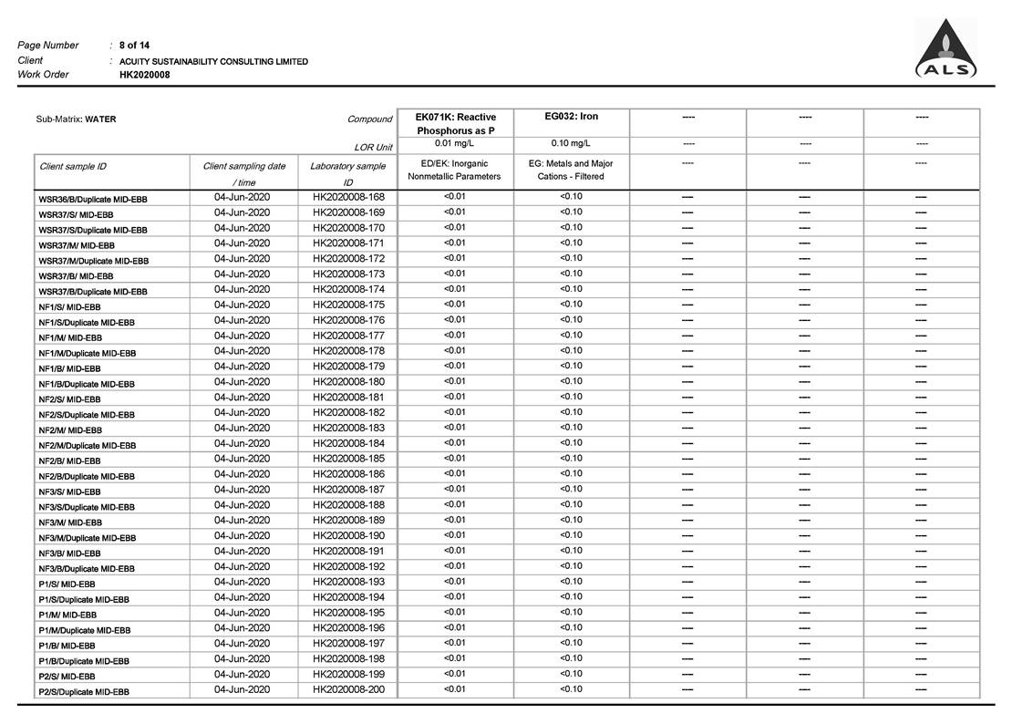
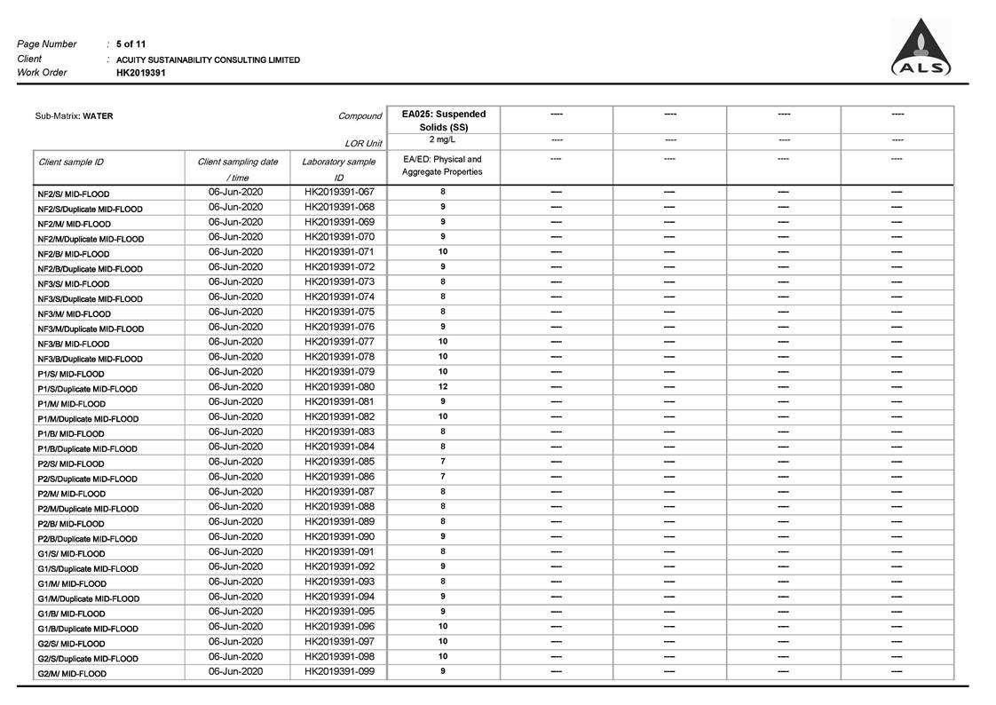
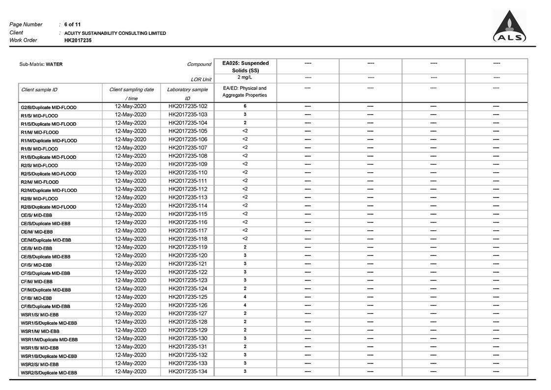
Appendix D

 

Baseline Water Quality Monitoring Data

 

 

 

 

 

 


 

 

Location

 

Date

 

Weather

Sea Condition

 

Tidal

Water Level

Depth (m)

 

Time

DO

(mg/L)

 

pH

 

Sal (ppt)

 

Temp (¢XC)

Turbidty (NTU)

SS

(mg/L)

Iron (mg/L)

Current Velocity

(m/s)

Current Direction

(NSWE)

CE

20200512

Sunny

Moderate

Mid-Flood

Bottom

11.1

8:39

9.31

8.06

31.92

24.77

2.37

4

<0.10

0.175

NW

CE

20200512

Sunny

Moderate

Mid-Flood

Bottom

11.1

8:39

8.27

8.16

31.58

24.79

1.89

3

<0.10

0.177

NW

CE

20200512

Sunny

Moderate

Mid-Flood

Middle

6.05

8:40

8.3

8.15

31.27

24.73

2.51

2

<0.10

0.186

NW

CE

20200512

Sunny

Moderate

Mid-Flood

Middle

6.05

8:40

8.19

8.24

31.45

24.73

2.37

2

<0.10

0.18

NW

CE

20200512

Sunny

Moderate

Mid-Flood

Surface

1

8:41

7.8

8.14

31.38

24.91

2.23

<2

<0.10

0.204

NW

CE

20200512

Sunny

Moderate

Mid-Flood

Surface

1

8:41

9.21

8.24

31.6

24.76

2.11

<2

<0.10

0.175

N

CF

20200512

Sunny

Moderate

Mid-Flood

Bottom

11.3

8:03

8.13

8.18

31.74

24.86

2.01

5

<0.10

0.195

SW

CF

20200512

Sunny

Moderate

Mid-Flood

Bottom

11.3

8:03

8.49

8.01

31.39

24.74

1.54

5

<0.10

0.138

SW

CF

20200512

Sunny

Moderate

Mid-Flood

Middle

6.15

8:04

9.11

8.15

31.16

24.66

2.41

3

<0.10

0.135

W

CF

20200512

Sunny

Moderate

Mid-Flood

Middle

6.15

8:04

8.59

8.1

31.5

24.61

2.54

4

<0.10

0.154

NW

CF

20200512

Sunny

Moderate

Mid-Flood

Surface

1

8:05

9.42

8.06

31.25

24.72

2.17

2

<0.10

0.164

W

CF

20200512

Sunny

Moderate

Mid-Flood

Surface

1

8:05

7.56

8.22

31.55

24.93

2.34

2

<0.10

0.189

W

NF1

20200512

Sunny

Moderate

Mid-Flood

Bottom

7.2

9:21

8.86

8.2

31.77

25.22

1.38

2

<0.10

0.158

SW

NF1

20200512

Sunny

Moderate

Mid-Flood

Bottom

7.2

9:21

8.2

8.04

31.1

25.22

1.66

2

<0.10

0.13

W

NF1

20200512

Sunny

Moderate

Mid-Flood

Middle

4.1

9:22

8.37

8.13

31.89

24.99

1.59

2

<0.10

0.156

W

NF1

20200512

Sunny

Moderate

Mid-Flood

Middle

4.1

9:22

9.62

8.24

31.71

25.05

1.72

3

<0.10

0.13

W

NF1

20200512

Sunny

Moderate

Mid-Flood

Surface

1

9:23

9.23

8.23

31.59

25.02

2.53

3

<0.10

0.185

NW

NF1

20200512

Sunny

Moderate

Mid-Flood

Surface

1

9:23

9.42

8.01

31.6

25.07

1.96

2

<0.10

0.176

W

NF2

20200512

Sunny

Moderate

Mid-Flood

Bottom

3.9

10:50

8.17

8.08

31.59

25.33

1.86

4

<0.10

0.144

NW

NF2

20200512

Sunny

Moderate

Mid-Flood

Bottom

3.9

10:50

7.73

8.1

31.46

25.3

1.92

5

<0.10

0.19

W

NF2

20200512

Sunny

Moderate

Mid-Flood

Surface

1

10:52

8.88

8.25

31.76

25.25

2.23

2

<0.10

0.14

W

NF2

20200512

Sunny

Moderate

Mid-Flood

Surface

1

10:52

9

8.23

31.51

25.23

1.69

2

<0.10

0.184

NW

NF3

20200512

Sunny

Moderate

Mid-Flood

Bottom

11.5

10:58

8.42

8.24

31.32

25.37

1.64

4

<0.10

0.165

NW

NF3

20200512

Sunny

Moderate

Mid-Flood

Bottom

11.5

10:58

7.93

8.24

32.05

25.34

1.82

3

<0.10

0.147

W

NF3

20200512

Sunny

Moderate

Mid-Flood

Middle

6.25

10:59

8.02

8.23

31.98

25.43

2.08

3

<0.10

0.14

W

NF3

20200512

Sunny

Moderate

Mid-Flood

Middle

6.25

10:59

8.11

8.24

31.99

25.38

1.71

3

<0.10

0.138

SW

NF3

20200512

Sunny

Moderate

Mid-Flood

Surface

1

11:00

9.18

8.2

32.33

25.72

2.4

2

<0.10

0.142

W

NF3

20200512

Sunny

Moderate

Mid-Flood

Surface

1

11:00

8.69

8.22

31.55

25.62

2.24

2

<0.10

0.176

W

WSR01

20200512

Sunny

Moderate

Mid-Flood

Bottom

9.7

11:06

8.27

8.24

31.12

25.53

1.75

3

<0.10

0.179

W

WSR01

20200512

Sunny

Moderate

Mid-Flood

Bottom

9.7

11:06

9.35

8.08

31.22

25.68

1.54

3

<0.10

0.172

W


 

 

WSR01

20200512

Sunny

Moderate

Mid-Flood

Middle

5.35

11:07

9.39

8.14

31.83

25.6

1.42

2

<0.10

0.196

NW

WSR01

20200512

Sunny

Moderate

Mid-Flood

Middle

5.35

11:07

8.08

8.16

31.68

25.81

2.03

3

<0.10

0.177

W

WSR01

20200512

Sunny

Moderate

Mid-Flood

Surface

1

11:08

9.23

8.18

31.85

25.6

2.27

3

<0.10

0.18

W

WSR01

20200512

Sunny

Moderate

Mid-Flood

Surface

1

11:08

8.3

8.07

31.54

25.68

1.95

2

<0.10

0.173

SW

WSR02

20200512

Sunny

Moderate

Mid-Flood

Bottom

6.7

10:38

9.1

8.02

31.8

25.47

1.28

2

<0.10

0.149

W

WSR02

20200512

Sunny

Moderate

Mid-Flood

Bottom

6.7

10:38

8.64

8.18

31.25

25.52

1.49

3

<0.10

0.181

SW

WSR02

20200512

Sunny

Moderate

Mid-Flood

Middle

3.85

10:39

9.06

8.1

31.28

25.52

1.57

2

<0.10

0.147

W

WSR02

20200512

Sunny

Moderate

Mid-Flood

Middle

3.85

10:39

9.34

8.06

31.43

25.33

2.08

2

<0.10

0.173

W

WSR02

20200512

Sunny

Moderate

Mid-Flood

Surface

1

10:40

8.82

8.19

31.14

25.47

1.66

<2

<0.10

0.174

W

WSR02

20200512

Sunny

Moderate

Mid-Flood

Surface

1

10:40

9.53

8.02

31.09

25.29

2.34

<2

<0.10

0.191

W

WSR03

20200512

Sunny

Moderate

Mid-Flood

Bottom

10

10:34

9.26

8.11

31.14

25.22

1.64

2

<0.10

0.155

W

WSR03

20200512

Sunny

Moderate

Mid-Flood

Bottom

10

10:34

8.55

8.1

31.52

25.27

1.24

2

<0.10

0.193

SW

WSR03

20200512

Sunny

Moderate

Mid-Flood

Middle

5.5

10:35

8.9

8.24

31.17

25.24

1.46

<2

<0.10

0.186

W

WSR03

20200512

Sunny

Moderate

Mid-Flood

Middle

5.5

10:35

8.19

8.08

31.44

25.3

2.28

<2

<0.10

0.18

NW

WSR03

20200512

Sunny

Moderate

Mid-Flood

Surface

1

10:36

8.58

8.1

31.88

25.39

2.37

<2

<0.10

0.137

W

WSR03

20200512

Sunny

Moderate

Mid-Flood

Surface

1

10:36

8.38

8.15

31.23

25.34

2.41

<2

<0.10

0.162

NW

WSR04

20200512

Sunny

Moderate

Mid-Flood

Bottom

5.8

10:18

8.66

8.23

31.36

25.39

1.28

4

<0.10

0.173

W

WSR04

20200512

Sunny

Moderate

Mid-Flood

Bottom

5.8

10:18

7.56

8.19

31.37

25.3

1.26

5

<0.10

0.163

W

WSR04

20200512

Sunny

Moderate

Mid-Flood

Middle

3.4

10:19

8.23

8.16

31.25

25.33

1.63

3

<0.10

0.167

W

WSR04

20200512

Sunny

Moderate

Mid-Flood

Middle

3.4

10:19

8.55

8.15

31.64

25.27

1.87

3

<0.10

0.19

NW

WSR04

20200512

Sunny

Moderate

Mid-Flood

Surface

1

10:20

8.07

8.19

31.29

25.25

2.39

2

<0.10

0.165

W

WSR04

20200512

Sunny

Moderate

Mid-Flood

Surface

1

10:20

9.12

8.07

31.41

25.15

1.88

2

<0.10

0.189

SW

WSR16

20200512

Sunny

Moderate

Mid-Flood

Bottom

9.5

9:00

9.13

8.21

31.55

24.97

1.86

2

<0.10

0.161

NW

WSR16

20200512

Sunny

Moderate

Mid-Flood

Bottom

9.5

9:00

9.26

8.18

31.2

24.94

1.42

2

<0.10

0.21

NW

WSR16

20200512

Sunny

Moderate

Mid-Flood

Middle

5.25

9:01

8.92

8.01

31.42

24.98

1.66

3

<0.10

0.192

NW

WSR16

20200512

Sunny

Moderate

Mid-Flood

Middle

5.25

9:01

9.61

8.25

31.53

25.02

1.42

3

<0.10

0.183

NW

WSR16

20200512

Sunny

Moderate

Mid-Flood

Surface

1

9:02

8.5

8.14

31.53

25.03

2.46

3

<0.10

0.17

NW

WSR16

20200512

Sunny

Moderate

Mid-Flood

Surface

1

9:02

8.79

8.05

31.68

25.06

2.36

3

<0.10

0.16

NW

WSR33

20200512

Sunny

Moderate

Mid-Flood

Bottom

8.3

10:02

8.8

8.06

31.4

25.04

1.8

4

<0.10

0.147

W

WSR33

20200512

Sunny

Moderate

Mid-Flood

Bottom

8.3

10:02

8.6

8.07

31.58

25.07

1.76

5

<0.10

0.149

W

WSR33

20200512

Sunny

Moderate

Mid-Flood

Middle

4.65

10:03

9.2

8.23

31.22

25.29

1.45

4

<0.10

0.149

W

WSR33

20200512

Sunny

Moderate

Mid-Flood

Middle

4.65

10:03

9.48

8.19

31.32

25.22

2.29

3

<0.10

0.14

W

WSR33

20200512

Sunny

Moderate

Mid-Flood

Surface

1

10:04

7.8

8.12

31.37

25.35

2.1

2

<0.10

0.194

W


 

 

WSR33

20200512

Sunny

Moderate

Mid-Flood

Surface

1

10:04

8.86

8.06

31.78

25.08

1.71

3

<0.10

0.135

W

WSR36

20200512

Sunny

Moderate

Mid-Flood

Bottom

4.8

9:50

8.73

8.11

29.57

25.02

1.33

<2

<0.10

0.154

W

WSR36

20200512

Sunny

Moderate

Mid-Flood

Bottom

4.8

9:50

8.65

8.13

29.72

24.9

1.73

<2

<0.10

0.139

W

WSR36

20200512

Sunny

Moderate

Mid-Flood

Surface

1

9:52

7.89

8.01

27.88

25.69

1.87

2

<0.10

0.174

W

WSR36

20200512

Sunny

Moderate

Mid-Flood

Surface

1

9:52

7.48

8.06

28.2

25.56

1.81

2

<0.10

0.168

NW

WSR37

20200512

Sunny

Moderate

Mid-Flood

Bottom

8.3

9:33

8.53

8.21

31.56

25.03

1.87

<2

<0.10

0.129

W

WSR37

20200512

Sunny

Moderate

Mid-Flood

Bottom

8.3

9:33

7.92

8.2

31.36

24.91

1.56

<2

<0.10

0.137

W

WSR37

20200512

Sunny

Moderate

Mid-Flood

Middle

4.65

9:34

8.12

8.16

31.57

25.11

1.59

2

<0.10

0.177

W

WSR37

20200512

Sunny

Moderate

Mid-Flood

Middle

4.65

9:34

9.21

8.1

31.55

24.99

1.73

2

<0.10

0.183

W

WSR37

20200512

Sunny

Moderate

Mid-Flood

Surface

1

9:35

8.55

8.2

32.31

25.4

1.84

3

<0.10

0.186

SW

WSR37

20200512

Sunny

Moderate

Mid-Flood

Surface

1

9:35

8.51

8.2

32.37

25.41

2.18

3

<0.10

0.157

W

CE

20200512

Sunny

Moderate

Mid-Ebb

Bottom

11

14:49

9.11

8.17

31.8

25.61

1.71

2

<0.10

0.365

E

CE

20200512

Sunny

Moderate

Mid-Ebb

Bottom

11

14:49

8.77

8.16

31.85

25.71

2.2

3

<0.10

0.388

E

CE

20200512

Sunny

Moderate

Mid-Ebb

Middle

6

14:50

7.95

8.06

31.26

26.02

1.87

<2

<0.10

0.373

SE

CE

20200512

Sunny

Moderate

Mid-Ebb

Middle

6

14:50

7.56

8.04

31.8

25.84

2.23

<2

<0.10

0.369

E

CE

20200512

Sunny

Moderate

Mid-Ebb

Surface

1

14:51

7.75

8.2

31.98

25.66

2.32

<2

<0.10

0.365

SE

CE

20200512

Sunny

Moderate

Mid-Ebb

Surface

1

14:51

8.32

8.28

31.4

25.91

2.89

<2

<0.10

0.275

SE

CF

20200512

Sunny

Moderate

Mid-Ebb

Bottom

11.3

14:48

8.5

8.01

31.27

25.68

2.18

4

<0.10

0.2

SE

CF

20200512

Sunny

Moderate

Mid-Ebb

Bottom

11.3

14:48

7.47

8.05

31.74

25.67

1.69

4

<0.10

0.175

E

CF

20200512

Sunny

Moderate

Mid-Ebb

Middle

6.15

14:49

7.79

8.09

31.03

26.03

2.31

3

<0.10

0.19

SE

CF

20200512

Sunny

Moderate

Mid-Ebb

Middle

6.15

14:49

7.56

8.04

31.35

26.14

2.3

2

<0.10

0.158

E

CF

20200512

Sunny

Moderate

Mid-Ebb

Surface

1

14:50

8.83

8.17

31.18

25.84

2.44

3

<0.10

0.147

E

CF

20200512

Sunny

Moderate

Mid-Ebb

Surface

1

14:50

7.61

8.14

31.91

25.85

2.13

3

<0.10

0.217

E

NF1

20200512

Sunny

Moderate

Mid-Ebb

Bottom

9.8

15:31

9.34

8.1

31.22

25.57

1.35

2

<0.10

0.136

SE

NF1

20200512

Sunny

Moderate

Mid-Ebb

Bottom

9.8

15:31

9.13

8.15

31.2

25.9

1.67

2

<0.10

0.161

E

NF1

20200512

Sunny

Moderate

Mid-Ebb

Middle

5.4

15:32

8.65

8.27

31.36

25.83

1.95

<2

<0.10

0.194

E

NF1

20200512

Sunny

Moderate

Mid-Ebb

Middle

5.4

15:32

9.39

8.22

30.77

25.75

1.99

<2

<0.10

0.22

SE

NF1

20200512

Sunny

Moderate

Mid-Ebb

Surface

1

15:33

8.79

8.03

31.16

25.81

1.95

<2

<0.10

0.2

E

NF1

20200512

Sunny

Moderate

Mid-Ebb

Surface

1

15:33

7.51

8.12

31.7

25.65

1.8

<2

<0.10

0.221

E

NF2

20200512

Sunny

Moderate

Mid-Ebb

Bottom

4.6

17:03

7.95

8.27

31.49

25.37

1.29

2

<0.10

0.207

SE

NF2

20200512

Sunny

Moderate

Mid-Ebb

Bottom

4.6

17:03

9.13

8.27

31.11

25.36

1.73

2

<0.10

0.19

SE

NF2

20200512

Sunny

Moderate

Mid-Ebb

Surface

1

17:05

9.28

8.31

31.64

25.47

2.34

2

<0.10

0.198

E

NF2

20200512

Sunny

Moderate

Mid-Ebb

Surface

1

17:05

9.44

8.09

31.55

25.84

2.22

2

<0.10

0.147

SE


 

 

NF3

20200512

Sunny

Moderate

Mid-Ebb

Bottom

10.3

17:13

8.01

8.01

31.21

25.8

1.46

4

<0.10

0.219

E

NF3

20200512

Sunny

Moderate

Mid-Ebb

Bottom

10.3

17:13

8.3

8.3

31.29

25.48

1.25

2

<0.10

0.213

SE

NF3

20200512

Sunny

Moderate

Mid-Ebb

Middle

5.65

17:14

9.14

8.21

30.89

25.66

1.65

3

<0.10

0.179

SE

NF3

20200512

Sunny

Moderate

Mid-Ebb

Middle

5.65

17:14

7.83

8.16

31.62

25.5

1.36

2

<0.10

0.221

SE

NF3

20200512

Sunny

Moderate

Mid-Ebb

Surface

1

17:15

9.22

8.14

31.08

25.73

2.3

<2

<0.10

0.219

E

NF3

20200512

Sunny

Moderate

Mid-Ebb

Surface

1

17:15

9.13

8.03

31.81

25.84

2.37

<2

<0.10

0.134

E

WSR01

20200512

Sunny

Moderate

Mid-Ebb

Bottom

8.4

17:50

8.39

8.18

31.09

25.54

1.37

2

<0.10

0.196

SE

WSR01

20200512

Sunny

Moderate

Mid-Ebb

Bottom

8.4

17:50

8.84

8.01

31.8

25.74

1.24

3

<0.10

0.13

SE

WSR01

20200512

Sunny

Moderate

Mid-Ebb

Middle

4.7

17:51

9.4

8.1

31.4

25.79

1.59

2

<0.10

0.164

SE

WSR01

20200512

Sunny

Moderate

Mid-Ebb

Middle

4.7

17:51

8.93

8.27

31.38

25.55

1.97

3

<0.10

0.179

SE

WSR01

20200512

Sunny

Moderate

Mid-Ebb

Surface

1

17:52

8.28

8.26

31.22

25.35

1.58

2

<0.10

0.203

E

WSR01

20200512

Sunny

Moderate

Mid-Ebb

Surface

1

17:52

9.08

8.3

31.91

25.45

1.6

2

<0.10

0.154

SE

WSR02

20200512

Sunny

Moderate

Mid-Ebb

Bottom

8.7

17:22

7.66

8.08

30.73

25.71

1.59

2

<0.10

0.16

E

WSR02

20200512

Sunny

Moderate

Mid-Ebb

Bottom

8.7

17:22

9.57

8.27

31.78

25.36

1.28

2

<0.10

0.186

SE

WSR02

20200512

Sunny

Moderate

Mid-Ebb

Middle

4.85

17:23

8.43

8.15

30.78

25.5

1.56

3

<0.10

0.216

E

WSR02

20200512

Sunny

Moderate

Mid-Ebb

Middle

4.85

17:23

7.78

8.19

30.96

25.56

2.01

2

<0.10

0.202

SE

WSR02

20200512

Sunny

Moderate

Mid-Ebb

Surface

1

17:24

9.26

8.06

30.73

25.8

2.2

3

<0.10

0.132

SE

WSR02

20200512

Sunny

Moderate

Mid-Ebb

Surface

1

17:24

9.38

8.08

31.6

25.65

1.7

3

<0.10

0.211

E

WSR03

20200512

Sunny

Moderate

Mid-Ebb

Bottom

6.8

16:46

8.36

8.2

30.84

25.81

1.81

3

<0.10

0.184

E

WSR03

20200512

Sunny

Moderate

Mid-Ebb

Bottom

6.8

16:46

7.56

8.24

31.32

26.02

1.35

2

<0.10

0.189

E

WSR03

20200512

Sunny

Moderate

Mid-Ebb

Middle

3.9

16:47

7.94

8.05

31.1

25.94

1.72

3

<0.10

0.182

SE

WSR03

20200512

Sunny

Moderate

Mid-Ebb

Middle

3.9

16:47

9.2

8.3

31.9

25.47

1.91

3

<0.10

0.175

SE

WSR03

20200512

Sunny

Moderate

Mid-Ebb

Surface

1

16:48

8.03

8.15

30.92

25.53

2.3

2

<0.10

0.193

E

WSR03

20200512

Sunny

Moderate

Mid-Ebb

Surface

1

16:48

8.99

8.17

30.94

25.89

1.89

2

<0.10

0.189

E

WSR04

20200512

Sunny

Moderate

Mid-Ebb

Bottom

6.5

16:30

7.99

8.13

31.87

25.48

1.81

3

<0.10

0.192

E

WSR04

20200512

Sunny

Moderate

Mid-Ebb

Bottom

6.5

16:30

7.5

8.27

31.8

25.76

1.61

3

<0.10

0.205

SE

WSR04

20200512

Sunny

Moderate

Mid-Ebb

Middle

3.75

16:31

8.94

8.04

31.73

25.52

1.92

<2

<0.10

0.149

SE

WSR04

20200512

Sunny

Moderate

Mid-Ebb

Middle

3.75

16:31

7.6

8.15

31.41

25.99

1.34

<2

<0.10

0.13

SE

WSR04

20200512

Sunny

Moderate

Mid-Ebb

Surface

1

16:32

9.59

8.06

31.26

25.65

1.89

<2

<0.10

0.133

E

WSR04

20200512

Sunny

Moderate

Mid-Ebb

Surface

1

16:32

9.56

8.01

31.71

25.44

1.62

<2

<0.10

0.17

E

WSR16

20200512

Sunny

Moderate

Mid-Ebb

Bottom

11.6

15:10

7.82

8.04

31.82

25.54

1.88

3

<0.10

0.211

E

WSR16

20200512

Sunny

Moderate

Mid-Ebb

Bottom

11.6

15:10

9.32

8.1

31.61

25.56

1.18

3

<0.10

0.215

E

WSR16

20200512

Sunny

Moderate

Mid-Ebb

Middle

6.3

15:11

9.31

8.21

30.86

25.53

1.78

2

<0.10

0.199

SE


 

 

WSR16

20200512

Sunny

Moderate

Mid-Ebb

Middle

6.3

15:11

9.1

8.14

30.91

25.64

1.43

3

<0.10

0.198

SE

WSR16

20200512

Sunny

Moderate

Mid-Ebb

Surface

1

15:12

8.29

8.21

31.63

25.53

1.7

2

<0.10

0.148

SE

WSR16

20200512

Sunny

Moderate

Mid-Ebb

Surface

1

15:12

9.59

8.31

30.81

25.82

2.4

2

<0.10

0.214

SE

WSR33

20200512

Sunny

Moderate

Mid-Ebb

Bottom

6.2

16:12

9.59

8.07

31.72

25.92

1.3

2

<0.10

0.211

SE

WSR33

20200512

Sunny

Moderate

Mid-Ebb

Bottom

6.2

16:12

8.01

8.07

30.73

25.95

1.22

3

<0.10

0.133

E

WSR33

20200512

Sunny

Moderate

Mid-Ebb

Middle

3.6

16:13

9.55

8.26

31.65

25.59

2.08

3

<0.10

0.204

E

WSR33

20200512

Sunny

Moderate

Mid-Ebb

Middle

3.6

16:13

9.47

8.05

31.26

25.55

1.53

2

<0.10

0.152

E

WSR33

20200512

Sunny

Moderate

Mid-Ebb

Surface

1

16:14

8.95

8.04

31.22

25.94

2.02

<2

<0.10

0.13

SE

WSR33

20200512

Sunny

Moderate

Mid-Ebb

Surface

1

16:14

9.29

8.14

31.57

25.77

2.35

<2

<0.10

0.186

E

WSR36

20200512

Sunny

Moderate

Mid-Ebb

Bottom

4

16:00

7.88

8.29

31.85

25.78

1.61

3

<0.10

0.193

SE

WSR36

20200512

Sunny

Moderate

Mid-Ebb

Bottom

4

16:00

7.85

8.12

30.94

25.78

1.56

3

<0.10

0.181

SE

WSR36

20200512

Sunny

Moderate

Mid-Ebb

Surface

1

16:02

8.73

8.06

31.64

25.45

1.58

2

<0.10

0.13

SE

WSR36

20200512

Sunny

Moderate

Mid-Ebb

Surface

1

16:02

7.94

8.11

31.11

25.85

2.44

2

<0.10

0.148

SE

WSR37

20200512

Sunny

Moderate

Mid-Ebb

Bottom

6.9

15:44

7.87

8.05

31.81

25.77

1.9

2

<0.10

0.217

SE

WSR37

20200512

Sunny

Moderate

Mid-Ebb

Bottom

6.9

15:44

8.56

8.12

31.23

25.82

1.94

2

<0.10

0.171

E

WSR37

20200512

Sunny

Moderate

Mid-Ebb

Middle

3.95

15:45

8.55

8.24

31.84

26.11

1.76

2

<0.10

0.152

SE

WSR37

20200512

Sunny

Moderate

Mid-Ebb

Middle

3.95

15:45

8.64

8.06

31.46

26.09

2.11

2

<0.10

0.152

E

WSR37

20200512

Sunny

Moderate

Mid-Ebb

Surface

1

15:46

8.47

8.3

30.73

25.67

1.93

2

<0.10

0.175

SE

WSR37

20200512

Sunny

Moderate

Mid-Ebb

Surface

1

15:46

8.8

8.26

31.39

25.68

1.99

3

<0.10

0.197

SE

CE

20200514

Cloudy

Moderate

Mid-Flood

Bottom

12.1

8:35

8.61

8.46

30.99

25.62

2.33

3

<0.10

0.404

SE

CE

20200514

Cloudy

Moderate

Mid-Flood

Bottom

12.1

8:35

9.45

8.36

31.81

25.38

2.4

3

<0.10

0.417

E

CE

20200514

Cloudy

Moderate

Mid-Flood

Middle

6.55

8:36

8.55

8.23

31.02

25.56

2.46

2

<0.10

0.342

SE

CE

20200514

Cloudy

Moderate

Mid-Flood

Middle

6.55

8:36

9.9

8.31

31.85

25.62

1.84

3

<0.10

0.422

E

CE

20200514

Cloudy

Moderate

Mid-Flood

Surface

1

8:37

9.11

8.28

30.81

25.34

2.21

<2

<0.10

0.306

SE

CE

20200514

Cloudy

Moderate

Mid-Flood

Surface

1

8:37

9.38

8.24

31.6

25.66

2.55

<2

<0.10

0.342

SE

CF

20200514

Cloudy

Moderate

Mid-Flood

Bottom

11.3

8:35

9.77

8.41

30.75

25.34

1.71

3

<0.10

0.207

SE

CF

20200514

Cloudy

Moderate

Mid-Flood

Bottom

11.3

8:35

8.64

8.45

31.68

25.37

1.99

3

<0.10

0.181

SE

CF

20200514

Cloudy

Moderate

Mid-Flood

Middle

6.15

8:36

9.03

8.26

31.65

25.54

2.4

2

<0.10

0.166

SE

CF

20200514

Cloudy

Moderate

Mid-Flood

Middle

6.15

8:36

8.93

8.4

30.57

25.36

2.56

3

<0.10

0.201

SE

CF

20200514

Cloudy

Moderate

Mid-Flood

Surface

1

8:37

9

8.31

30.92

25.56

2.69

3

<0.10

0.164

E

CF

20200514

Cloudy

Moderate

Mid-Flood

Surface

1

8:37

9.47

8.46

31.19

25.47

2.23

2

<0.10

0.148

E

NF1

20200514

Cloudy

Moderate

Mid-Flood

Bottom

9.4

9:17

8.58

8.43

31.88

25.31

1.58

3

<0.10

0.184

SE

NF1

20200514

Cloudy

Moderate

Mid-Flood

Bottom

9.4

9:17

9.3

8.32

30.56

25.44

2.1

4

<0.10

0.173

SE


 

 

NF1

20200514

Cloudy

Moderate

Mid-Flood

Middle

5.2

9:18

9.54

8.21

30.85

25.3

2.12

3

<0.10

0.202

SE

NF1

20200514

Cloudy

Moderate

Mid-Flood

Middle

5.2

9:18

9.37

8.38

31.47

25.48

2.43

4

<0.10

0.163

SE

NF1

20200514

Cloudy

Moderate

Mid-Flood

Surface

1

9:19

8.77

8.44

31

25.64

2.55

3

<0.10

0.17

E

NF1

20200514

Cloudy

Moderate

Mid-Flood

Surface

1

9:19

9.51

8.4

30.85

25.49

2.12

3

<0.10

0.179

SE

NF2

20200514

Cloudy

Moderate

Mid-Flood

Bottom

8.9

10:49

8.62

8.26

31.88

25.49

2.42

4

<0.10

0.171

SE

NF2

20200514

Cloudy

Moderate

Mid-Flood

Bottom

8.9

10:49

9.19

8.33

30.65

25.3

2.26

3

<0.10

0.215

SE

NF2

20200514

Cloudy

Moderate

Mid-Flood

Middle

4.95

10:50

9.98

8.39

30.65

25.72

2.65

4

<0.10

0.152

SE

NF2

20200514

Cloudy

Moderate

Mid-Flood

Middle

4.95

10:50

8.93

8.47

31.32

25.74

2.21

3

<0.10

0.155

E

NF2

20200514

Cloudy

Moderate

Mid-Flood

Surface

1

10:51

9.62

8.23

30.67

25.69

2.84

4

<0.10

0.167

E

NF2

20200514

Cloudy

Moderate

Mid-Flood

Surface

1

10:51

9.51

8.27

31.77

25.51

2.05

4

<0.10

0.131

SE

NF3

20200514

Cloudy

Moderate

Mid-Flood

Bottom

9.4

10:58

9.65

8.27

31.76

25.52

2.04

3

<0.10

0.195

SE

NF3

20200514

Cloudy

Moderate

Mid-Flood

Bottom

9.4

10:58

9.78

8.25

31.22

25.82

1.6

3

<0.10

0.193

E

NF3

20200514

Cloudy

Moderate

Mid-Flood

Middle

5.2

10:59

9.19

8.27

30.69

25.5

2.51

2

<0.10

0.205

SE

NF3

20200514

Cloudy

Moderate

Mid-Flood

Middle

5.2

10:59

9.75

8.39

31.54

25.32

1.97

3

<0.10

0.175

E

NF3

20200514

Cloudy

Moderate

Mid-Flood

Surface

1

11:00

9.4

8.25

31.78

25.74

2.06

2

<0.10

0.151

SE

NF3

20200514

Cloudy

Moderate

Mid-Flood

Surface

1

11:00

9.7

8.29

30.55

25.57

2.79

3

<0.10

0.151

E

WSR01

20200514

Cloudy

Moderate

Mid-Flood

Bottom

7.4

11:44

8.43

8.38

31.27

25.86

1.57

3

<0.10

0.219

SE

WSR01

20200514

Cloudy

Moderate

Mid-Flood

Bottom

7.4

11:44

9.33

8.36

31.32

25.71

1.57

3

<0.10

0.16

E

WSR01

20200514

Cloudy

Moderate

Mid-Flood

Middle

4.2

11:45

9.26

8.43

31.45

25.75

2.57

2

<0.10

0.13

E

WSR01

20200514

Cloudy

Moderate

Mid-Flood

Middle

4.2

11:45

8.82

8.25

31.83

25.64

2.31

3

<0.10

0.138

E

WSR01

20200514

Cloudy

Moderate

Mid-Flood

Surface

1

11:46

9.47

8.18

30.57

25.4

2.89

3

<0.10

0.19

SE

WSR01

20200514

Cloudy

Moderate

Mid-Flood

Surface

1

11:46

8.47

8.23

31.44

25.86

2.44

2

<0.10

0.18

SE

WSR02

20200514

Cloudy

Moderate

Mid-Flood

Bottom

8.1

11:16

9.28

8.46

31.61

25.53

1.7

4

<0.10

0.15

SE

WSR02

20200514

Cloudy

Moderate

Mid-Flood

Bottom

8.1

11:16

8.68

8.34

30.56

25.54

2.27

5

<0.10

0.168

E

WSR02

20200514

Cloudy

Moderate

Mid-Flood

Middle

4.55

11:17

8.67

8.35

30.49

25.42

2.65

2

<0.10

0.18

E

WSR02

20200514

Cloudy

Moderate

Mid-Flood

Middle

4.55

11:17

9.11

8.38

31.58

25.7

1.78

2

<0.10

0.205

SE

WSR02

20200514

Cloudy

Moderate

Mid-Flood

Surface

1

11:18

9.97

8.29

31.73

25.63

2.3

2

<0.10

0.189

E

WSR02

20200514

Cloudy

Moderate

Mid-Flood

Surface

1

11:18

8.67

8.17

31.27

25.53

2.53

2

<0.10

0.134

SE

WSR03

20200514

Cloudy

Moderate

Mid-Flood

Bottom

6.7

10:31

8.8

8.45

31.86

25.58

2.02

8

<0.10

0.162

SE

WSR03

20200514

Cloudy

Moderate

Mid-Flood

Bottom

6.7

10:31

9.81

8.33

31.81

25.54

1.75

9

<0.10

0.175

SE

WSR03

20200514

Cloudy

Moderate

Mid-Flood

Middle

3.85

10:32

9.59

8.5

31.82

25.72

1.86

5

<0.10

0.213

SE

WSR03

20200514

Cloudy

Moderate

Mid-Flood

Middle

3.85

10:32

9.38

8.2

31.05

25.76

1.82

4

<0.10

0.167

SE

WSR03

20200514

Cloudy

Moderate

Mid-Flood

Surface

1

10:33

8.69

8.41

31.37

25.34

2.42

3

<0.10

0.136

E


 

 

WSR03

20200514

Cloudy

Moderate

Mid-Flood

Surface

1

10:33

8.44

8.41

31.67

25.71

2.25

4

<0.10

0.176

SE

WSR04

20200514

Cloudy

Moderate

Mid-Flood

Bottom

6.5

10:14

9.85

8.23

30.54

25.8

2.32

2

<0.10

0.148

E

WSR04

20200514

Cloudy

Moderate

Mid-Flood

Bottom

6.5

10:14

9.19

8.37

31.85

25.76

1.83

3

<0.10

0.14

SE

WSR04

20200514

Cloudy

Moderate

Mid-Flood

Middle

3.75

10:15

9.35

8.47

30.69

25.46

2.45

3

<0.10

0.133

E

WSR04

20200514

Cloudy

Moderate

Mid-Flood

Middle

3.75

10:15

8.54

8.27

31.14

25.46

1.9

2

<0.10

0.148

E

WSR04

20200514

Cloudy

Moderate

Mid-Flood

Surface

1

10:16

9.93

8.18

30.81

25.71

2.68

5

<0.10

0.181

SE

WSR04

20200514

Cloudy

Moderate

Mid-Flood

Surface

1

10:16

8.46

8.21

30.81

25.35

2.55

4

<0.10

0.183

E

WSR16

20200514

Cloudy

Moderate

Mid-Flood

Bottom

11.4

8:55

9.3

8.27

30.93

25.48

2.04

4

<0.10

0.202

SE

WSR16

20200514

Cloudy

Moderate

Mid-Flood

Bottom

11.4

8:55

8.92

8.21

31.39

25.41

2.13

4

<0.10

0.206

SE

WSR16

20200514

Cloudy

Moderate

Mid-Flood

Middle

6.2

8:56

9.04

8.31

31.78

25.61

2.56

3

<0.10

0.218

SE

WSR16

20200514

Cloudy

Moderate

Mid-Flood

Middle

6.2

8:56

9.31

8.27

31.16

25.46

2.44

4

<0.10

0.228

E

WSR16

20200514

Cloudy

Moderate

Mid-Flood

Surface

1

8:57

8.91

8.22

31.09

25.46

2.71

4

<0.10

0.149

E

WSR16

20200514

Cloudy

Moderate

Mid-Flood

Surface

1

8:57

9.52

8.38

30.8

25.48

2.81

3

<0.10

0.175

SE

WSR33

20200514

Cloudy

Moderate

Mid-Flood

Bottom

6.7

9:58

9.5

8.31

30.88

25.57

1.99

3

<0.10

0.165

E

WSR33

20200514

Cloudy

Moderate

Mid-Flood

Bottom

6.7

9:58

8.81

8.46

31.05

25.42

1.89

3

<0.10

0.203

SE

WSR33

20200514

Cloudy

Moderate

Mid-Flood

Middle

3.85

9:59

8.84

8.37

30.86

25.32

2.22

3

<0.10

0.206

E

WSR33

20200514

Cloudy

Moderate

Mid-Flood

Middle

3.85

9:59

9.39

8.4

31.14

25.43

2.32

3

<0.10

0.152

SE

WSR33

20200514

Cloudy

Moderate

Mid-Flood

Surface

1

10:00

8.48

8.34

31.42

25.37

2.45

2

<0.10

0.215

E

WSR33

20200514

Cloudy

Moderate

Mid-Flood

Surface

1

10:00

8.96

8.21

31.35

25.58

2.78

2

<0.10

0.191

SE

WSR36

20200514

Cloudy

Moderate

Mid-Flood

Bottom

4.1

9:45

9.54

8.36

31.74

25.57

1.78

2

<0.10

0.157

E

WSR36

20200514

Cloudy

Moderate

Mid-Flood

Bottom

4.1

9:45

8.45

8.48

31.51

25.56

1.96

2

<0.10

0.211

E

WSR36

20200514

Cloudy

Moderate

Mid-Flood

Surface

1

9:47

8.91

8.24

30.98

25.56

2.78

4

<0.10

0.177

E

WSR36

20200514

Cloudy

Moderate

Mid-Flood

Surface

1

9:47

8.69

8.25

31.01

25.33

2.34

3

<0.10

0.183

SE

WSR37

20200514

Cloudy

Moderate

Mid-Flood

Bottom

6.6

9:28

9.84

8.22

31.06

25.33

2.24

5

<0.10

0.201

E

WSR37

20200514

Cloudy

Moderate

Mid-Flood

Bottom

6.6

9:28

9.72

8.38

31.05

25.52

1.76

4

<0.10

0.168

E

WSR37

20200514

Cloudy

Moderate

Mid-Flood

Middle

3.8

9:29

9.65

8.37

31.28

25.66

1.99

3

<0.10

0.141

SE

WSR37

20200514

Cloudy

Moderate

Mid-Flood

Middle

3.8

9:29

9.2

8.33

30.58

25.33

2.17

2

<0.10

0.175

E

WSR37

20200514

Cloudy

Moderate

Mid-Flood

Surface

1

9:30

9.87

8.35

31.86

25.68

2.08

2

<0.10

0.184

E

WSR37

20200514

Cloudy

Moderate

Mid-Flood

Surface

1

9:30

9.55

8.38

31.01

25.42

2.06

2

<0.10

0.202

SE

CE

20200514

Cloudy

Moderate

Mid-Ebb

Bottom

10.4

14:11

9.14

8.25

31.68

25.66

1.61

3

<0.10

0.184

NW

CE

20200514

Cloudy

Moderate

Mid-Ebb

Bottom

10.4

14:11

8.98

8.36

31.13

26.17

1.75

3

<0.10

0.163

NW

CE

20200514

Cloudy

Moderate

Mid-Ebb

Middle

5.7

14:12

8.61

8.41

30.88

25.77

2.59

2

<0.10

0.195

NW

CE

20200514

Cloudy

Moderate

Mid-Ebb

Middle

5.7

14:12

9.5

8.29

30.36

25.9

2.21

2

<0.10

0.196

NW


 

 

CE

20200514

Cloudy

Moderate

Mid-Ebb

Surface

1

14:13

9.18

8.4

31.09

26.21

2.17

3

<0.10

0.218

NW

CE

20200514

Cloudy

Moderate

Mid-Ebb

Surface

1

14:13

9.89

8.24

30.71

25.71

2.11

2

<0.10

0.18

N

CF

20200514

Cloudy

Moderate

Mid-Ebb

Bottom

11

14:06

8.83

8.42

30.48

25.85

2.26

3

<0.10

0.178

W

CF

20200514

Cloudy

Moderate

Mid-Ebb

Bottom

11

14:06

8.72

8.51

30.89

26.21

2.07

3

<0.10

0.163

W

CF

20200514

Cloudy

Moderate

Mid-Ebb

Middle

6

14:07

9.78

8.36

31.56

25.89

2.48

3

<0.10

0.246

NW

CF

20200514

Cloudy

Moderate

Mid-Ebb

Middle

6

14:07

8.73

8.36

30.44

26.01

1.86

2

<0.10

0.168

NW

CF

20200514

Cloudy

Moderate

Mid-Ebb

Surface

1

14:08

10.12

8.23

30.37

25.61

2.28

3

<0.10

0.192

SW

CF

20200514

Cloudy

Moderate

Mid-Ebb

Surface

1

14:08

10.03

8.42

31.06

26.18

2.08

2

<0.10

0.224

W

NF1

20200514

Cloudy

Moderate

Mid-Ebb

Bottom

10.2

14:53

8.58

8.46

30.9

26.03

2.28

4

<0.10

0.185

W

NF1

20200514

Cloudy

Moderate

Mid-Ebb

Bottom

10.2

14:53

9.16

8.4

30.62

25.87

2.4

3

<0.10

0.155

W

NF1

20200514

Cloudy

Moderate

Mid-Ebb

Middle

5.6

14:54

9.98

8.3

31.09

26.26

2.16

2

<0.10

0.152

W

NF1

20200514

Cloudy

Moderate

Mid-Ebb

Middle

5.6

14:54

9.77

8.28

30.38

26.06

1.89

4

<0.10

0.159

NW

NF1

20200514

Cloudy

Moderate

Mid-Ebb

Surface

1

14:55

8.89

8.46

31.2

26.19

2.29

<2

<0.10

0.176

W

NF1

20200514

Cloudy

Moderate

Mid-Ebb

Surface

1

14:55

9.04

8.29

31.53

26.23

2.12

<2

<0.10

0.155

NW

NF2

20200514

Cloudy

Moderate

Mid-Ebb

Bottom

8.7

16:28

9.72

8.24

31.11

25.96

1.69

3

<0.10

0.196

W

NF2

20200514

Cloudy

Moderate

Mid-Ebb

Bottom

8.7

16:28

9.95

8.4

31.11

25.79

1.95

2

<0.10

0.133

NW

NF2

20200514

Cloudy

Moderate

Mid-Ebb

Middle

4.85

16:29

10.15

8.24

31.37

26.08

2.21

2

<0.10

0.138

SW

NF2

20200514

Cloudy

Moderate

Mid-Ebb

Middle

4.85

16:29

8.83

8.21

30.42

26.05

2

2

<0.10

0.183

SW

NF2

20200514

Cloudy

Moderate

Mid-Ebb

Surface

1

16:30

10.01

8.34

31.19

25.86

2.2

<2

<0.10

0.183

SW

NF2

20200514

Cloudy

Moderate

Mid-Ebb

Surface

1

16:30

10.09

8.27

31.16

26.08

2.57

<2

<0.10

0.141

W

NF3

20200514

Cloudy

Moderate

Mid-Ebb

Bottom

9.9

16:36

9.12

8.26

31.1

25.9

1.61

4

<0.10

0.155

W

NF3

20200514

Cloudy

Moderate

Mid-Ebb

Bottom

9.9

16:36

10.11

8.23

31.12

25.76

1.63

3

<0.10

0.172

NW

NF3

20200514

Cloudy

Moderate

Mid-Ebb

Middle

5.45

16:37

9.25

8.43

30.58

26.11

2.66

2

<0.10

0.138

NW

NF3

20200514

Cloudy

Moderate

Mid-Ebb

Middle

5.45

16:37

8.73

8.36

30.75

26.16

2.03

3

<0.10

0.171

SW

NF3

20200514

Cloudy

Moderate

Mid-Ebb

Surface

1

16:38

9.49

8.48

30.66

25.78

2.84

2

<0.10

0.171

W

NF3

20200514

Cloudy

Moderate

Mid-Ebb

Surface

1

16:38

9.78

8.25

30.9

25.78

2.89

2

<0.10

0.168

SW

WSR01

20200514

Cloudy

Moderate

Mid-Ebb

Bottom

7.5

17:13

9.32

8.48

31.3

25.77

1.69

4

<0.10

0.194

W

WSR01

20200514

Cloudy

Moderate

Mid-Ebb

Bottom

7.5

17:13

9.4

8.38

31.58

26.1

1.84

5

<0.10

0.174

SW

WSR01

20200514

Cloudy

Moderate

Mid-Ebb

Middle

4.25

17:14

9.81

8.31

31.24

25.83

2.18

4

<0.10

0.155

NW

WSR01

20200514

Cloudy

Moderate

Mid-Ebb

Middle

4.25

17:14

9.81

8.24

30.9

25.93

1.95

3

<0.10

0.144

W

WSR01

20200514

Cloudy

Moderate

Mid-Ebb

Surface

1

17:15

9.85

8.35

30.64

25.74

2.22

3

<0.10

0.142

SW

WSR01

20200514

Cloudy

Moderate

Mid-Ebb

Surface

1

17:15

9.18

8.33

30.66

25.77

2.7

4

<0.10

0.155

W

WSR02

20200514

Cloudy

Moderate

Mid-Ebb

Bottom

8

16:47

8.72

8.45

31.23

26.18

2.19

3

<0.10

0.162

W


 

 

WSR02

20200514

Cloudy

Moderate

Mid-Ebb

Bottom

8

16:47

9.52

8.42

30.9

26.12

1.96

2

<0.10

0.148

W

WSR02

20200514

Cloudy

Moderate

Mid-Ebb

Middle

4.5

16:48

9.33

8.42

30.98

25.76

1.95

3

<0.10

0.162

NW

WSR02

20200514

Cloudy

Moderate

Mid-Ebb

Middle

4.5

16:48

8.71

8.21

31.27

26.14

2.44

3

<0.10

0.149

SW

WSR02

20200514

Cloudy

Moderate

Mid-Ebb

Surface

1

16:49

9.55

8.31

31.6

26.07

2.59

4

<0.10

0.183

W

WSR02

20200514

Cloudy

Moderate

Mid-Ebb

Surface

1

16:49

9.3

8.26

30.99

26.11

2.47

5

<0.10

0.156

SW

WSR03

20200514

Cloudy

Moderate

Mid-Ebb

Bottom

7.1

16:12

8.64

8.5

30.71

25.88

1.94

3

<0.10

0.15

NW

WSR03

20200514

Cloudy

Moderate

Mid-Ebb

Bottom

7.1

16:12

9

8.51

31.65

26.08

2.29

2

<0.10

0.159

W

WSR03

20200514

Cloudy

Moderate

Mid-Ebb

Middle

4.05

16:13

9.66

8.28

31.39

26.35

2.2

2

<0.10

0.159

SW

WSR03

20200514

Cloudy

Moderate

Mid-Ebb

Middle

4.05

16:13

9.27

8.39

31.34

26.04

2.43

3

<0.10

0.128

W

WSR03

20200514

Cloudy

Moderate

Mid-Ebb

Surface

1

16:14

9.04

8.51

31.24

25.83

2.69

4

<0.10

0.169

NW

WSR03

20200514

Cloudy

Moderate

Mid-Ebb

Surface

1

16:14

9.43

8.46

31.05

26.3

2.82

3

<0.10

0.162

W

WSR04

20200514

Cloudy

Moderate

Mid-Ebb

Bottom

6.3

15:55

9.33

8.45

30.63

26.13

1.57

4

<0.10

0.164

W

WSR04

20200514

Cloudy

Moderate

Mid-Ebb

Bottom

6.3

15:55

9.4

8.4

31.48

26.01

2.02

3

<0.10

0.189

W

WSR04

20200514

Cloudy

Moderate

Mid-Ebb

Middle

3.65

15:56

9.61

8.51

30.85

26.32

2.55

4

<0.10

0.19

SW

WSR04

20200514

Cloudy

Moderate

Mid-Ebb

Middle

3.65

15:56

9.08

8.33

31.29

25.82

2.39

3

<0.10

0.163

SW

WSR04

20200514

Cloudy

Moderate

Mid-Ebb

Surface

1

15:57

9.03

8.47

30.32

26.02

2.12

2

<0.10

0.162

W

WSR04

20200514

Cloudy

Moderate

Mid-Ebb

Surface

1

15:57

9.89

8.46

30.61

25.82

2.33

2

<0.10

0.171

W

WSR16

20200514

Cloudy

Moderate

Mid-Ebb

Bottom

11.2

14:31

9.65

8.41

31.59

25.89

1.99

3

<0.10

0.165

N

WSR16

20200514

Cloudy

Moderate

Mid-Ebb

Bottom

11.2

14:31

9.55

8.26

30.93

25.6

2.03

3

<0.10

0.183

N

WSR16

20200514

Cloudy

Moderate

Mid-Ebb

Middle

6.1

14:32

8.67

8.47

30.57

26.14

2.01

6

<0.10

0.182

NW

WSR16

20200514

Cloudy

Moderate

Mid-Ebb

Middle

6.1

14:32

9.24

8.42

31.47

25.79

2.5

5

<0.10

0.222

NW

WSR16

20200514

Cloudy

Moderate

Mid-Ebb

Surface

1

14:33

10.04

8.22

30.75

25.6

2.27

6

<0.10

0.213

N

WSR16

20200514

Cloudy

Moderate

Mid-Ebb

Surface

1

14:33

8.58

8.49

30.77

26.15

2.46

6

<0.10

0.207

NW

WSR33

20200514

Cloudy

Moderate

Mid-Ebb

Bottom

6.1

15:38

9.99

8.27

30.87

25.86

2.16

5

<0.10

0.158

W

WSR33

20200514

Cloudy

Moderate

Mid-Ebb

Bottom

6.1

15:38

9.32

8.45

30.37

26.19

2.11

4

<0.10

0.15

W

WSR33

20200514

Cloudy

Moderate

Mid-Ebb

Middle

3.55

15:39

9.11

8.25

31.56

25.88

1.93

4

<0.10

0.167

W

WSR33

20200514

Cloudy

Moderate

Mid-Ebb

Middle

3.55

15:39

8.68

8.43

30.71

26.33

2.15

3

<0.10

0.19

W

WSR33

20200514

Cloudy

Moderate

Mid-Ebb

Surface

1

15:40

8.93

8.32

30.35

25.87

2.32

3

<0.10

0.177

SW

WSR33

20200514

Cloudy

Moderate

Mid-Ebb

Surface

1

15:40

9.56

8.29

31.15

25.76

2.14

2

<0.10

0.194

SW

WSR36

20200514

Cloudy

Moderate

Mid-Ebb

Bottom

4.2

15:26

8.92

8.34

31.28

26.32

2.37

3

<0.10

0.18

W

WSR36

20200514

Cloudy

Moderate

Mid-Ebb

Bottom

4.2

15:26

10

8.22

30.31

25.81

1.78

3

<0.10

0.142

W

WSR36

20200514

Cloudy

Moderate

Mid-Ebb

Surface

1

15:28

9.21

8.46

30.35

26.3

2.17

4

<0.10

0.19

W

WSR36

20200514

Cloudy

Moderate

Mid-Ebb

Surface

1

15:28

9.27

8.34

30.46

25.75

2.47

4

<0.10

0.16

W


 

 

WSR37

20200514

Cloudy

Moderate

Mid-Ebb

Bottom

7.1

15:07

8.65

8.49

30.57

25.87

1.9

2

<0.10

0.196

W

WSR37

20200514

Cloudy

Moderate

Mid-Ebb

Bottom

7.1

15:07

9.91

8.41

30.92

25.95

2.07

3

<0.10

0.196

W

WSR37

20200514

Cloudy

Moderate

Mid-Ebb

Middle

4.05

15:08

8.85

8.24

31.42

25.94

2.35

3

<0.10

0.17

W

WSR37

20200514

Cloudy

Moderate

Mid-Ebb

Middle

4.05

15:08

9.33

8.26

31.67

26.19

1.86

2

<0.10

0.16

W

WSR37

20200514

Cloudy

Moderate

Mid-Ebb

Surface

1

15:09

9.87

8.38

31.39

25.84

2.41

2

<0.10

0.182

W

WSR37

20200514

Cloudy

Moderate

Mid-Ebb

Surface

1

15:09

8.6

8.23

31.03

25.85

2.39

3

<0.10

0.16

W

CE

20200516

Sunny

Moderate

Mid-Ebb

Bottom

11.1

8:00

8.69

8.43

31.42

28.59

2.1

4

<0.10

0.282

SE

CE

20200516

Sunny

Moderate

Mid-Ebb

Bottom

11.1

8:00

9.38

8.46

30.23

28.87

1.87

3

<0.10

0.437

SE

CE

20200516

Sunny

Moderate

Mid-Ebb

Middle

6.05

8:01

8.55

8.35

30.24

28.73

1.49

3

<0.10

0.284

E

CE

20200516

Sunny

Moderate

Mid-Ebb

Middle

6.05

8:01

8.3

8.38

30.15

28.58

1.75

4

<0.10

0.345

E

CE

20200516

Sunny

Moderate

Mid-Ebb

Surface

1

8:02

9.09

8.47

30.97

28.57

1.49

3

<0.10

0.428

SE

CE

20200516

Sunny

Moderate

Mid-Ebb

Surface

1

8:02

8.31

8.37

30.08

28.59

1.76

2

<0.10

0.266

E

CF

20200516

Sunny

Moderate

Mid-Ebb

Bottom

12.2

8:01

8.33

8.41

31.61

28.92

2.13

5

<0.10

0.186

SE

CF

20200516

Sunny

Moderate

Mid-Ebb

Bottom

12.2

8:01

8.43

8.42

31.28

28.74

1.97

4

<0.10

0.133

E

CF

20200516

Sunny

Moderate

Mid-Ebb

Middle

6.6

8:02

8.64

8.53

31.06

28.84

1.79

3

<0.10

0.194

SE

CF

20200516

Sunny

Moderate

Mid-Ebb

Middle

6.6

8:02

9.26

8.41

31.54

28.77

2.16

4

<0.10

0.188

SE

CF

20200516

Sunny

Moderate

Mid-Ebb

Surface

1

8:03

9.35

8.37

30.99

28.84

1.97

3

<0.10

0.142

SE

CF

20200516

Sunny

Moderate

Mid-Ebb

Surface

1

8:03

8.57

8.53

31.68

28.55

1.99

4

<0.10

0.162

SE

NF1

20200516

Sunny

Moderate

Mid-Ebb

Bottom

9.9

8:40

8.14

8.55

30.35

29.05

1.89

4

<0.10

0.181

SE

NF1

20200516

Sunny

Moderate

Mid-Ebb

Bottom

9.9

8:40

9.28

8.53

29.89

28.98

2.01

4

<0.10

0.18

SE

NF1

20200516

Sunny

Moderate

Mid-Ebb

Middle

5.45

8:41

8.62

8.32

30.11

28.85

1.29

2

<0.10

0.171

SE

NF1

20200516

Sunny

Moderate

Mid-Ebb

Middle

5.45

8:41

9.25

8.55

31.47

29.1

1.05

4

<0.10

0.182

SE

NF1

20200516

Sunny

Moderate

Mid-Ebb

Surface

1

8:42

9.07

8.53

31.53

29.02

1.91

3

<0.10

0.196

SE

NF1

20200516

Sunny

Moderate

Mid-Ebb

Surface

1

8:42

8.5

8.55

30.08

28.91

1.88

3

<0.10

0.138

SE

NF2

20200516

Sunny

Moderate

Mid-Ebb

Bottom

9.3

10:12

8.74

8.38

31.66

28.99

1.7

7

<0.10

0.219

SE

NF2

20200516

Sunny

Moderate

Mid-Ebb

Bottom

9.3

10:12

8.31

8.35

31.11

29.19

1.48

6

<0.10

0.21

SE

NF2

20200516

Sunny

Moderate

Mid-Ebb

Middle

5.15

10:13

9.09

8.44

30.48

29.01

1.54

5

<0.10

0.14

E

NF2

20200516

Sunny

Moderate

Mid-Ebb

Middle

5.15

10:13

9.21

8.44

31.09

29.26

1.24

4

<0.10

0.216

E

NF2

20200516

Sunny

Moderate

Mid-Ebb

Surface

1

10:14

9.21

8.56

30.33

29.09

1.52

3

<0.10

0.214

E

NF2

20200516

Sunny

Moderate

Mid-Ebb

Surface

1

10:14

9.13

8.47

29.94

29.11

1.42

4

<0.10

0.166

SE

NF3

20200516

Sunny

Moderate

Mid-Ebb

Bottom

10

10:22

8.67

8.36

30.09

29.3

1.96

4

<0.10

0.171

E

NF3

20200516

Sunny

Moderate

Mid-Ebb

Bottom

10

10:22

9.2

8.48

31.16

29.11

1.75

3

<0.10

0.211

SE

NF3

20200516

Sunny

Moderate

Mid-Ebb

Middle

5.5

10:23

9.31

8.37

31.2

29.28

1.17

4

<0.10

0.17

SE


 

 

NF3

20200516

Sunny

Moderate

Mid-Ebb

Middle

5.5

10:23

8.47

8.53

30.83

29.04

1.69

4

<0.10

0.193

SE

NF3

20200516

Sunny

Moderate

Mid-Ebb

Surface

1

10:24

8.27

8.32

30.86

29.25

1.5

4

<0.10

0.158

E

NF3

20200516

Sunny

Moderate

Mid-Ebb

Surface

1

10:24

8.53

8.32

30.09

29.32

1.9

4

<0.10

0.13

E

WSR01

20200516

Sunny

Moderate

Mid-Ebb

Bottom

8.4

10:50

9.41

8.48

29.71

29.2

1.8

4

<0.10

0.157

SE

WSR01

20200516

Sunny

Moderate

Mid-Ebb

Bottom

8.4

10:50

8.54

8.43

30.78

29.31

1.86

4

<0.10

0.148

E

WSR01

20200516

Sunny

Moderate

Mid-Ebb

Middle

4.7

10:51

9.32

8.56

31.12

29.35

1.5

3

<0.10

0.179

E

WSR01

20200516

Sunny

Moderate

Mid-Ebb

Middle

4.7

10:51

9.25

8.41

30.57

29.22

1.24

2

<0.10

0.153

SE

WSR01

20200516

Sunny

Moderate

Mid-Ebb

Surface

1

10:52

8.84

8.46

31.43

28.98

1.5

3

<0.10

0.165

E

WSR01

20200516

Sunny

Moderate

Mid-Ebb

Surface

1

10:52

8.16

8.31

29.93

29

1.13

3

<0.10

0.155

SE

WSR02

20200516

Sunny

Moderate

Mid-Ebb

Bottom

8

10:27

8.35

8.41

31.06

29.02

2.07

8

<0.10

0.168

E

WSR02

20200516

Sunny

Moderate

Mid-Ebb

Bottom

8

10:27

8.64

8.44

29.81

29.06

2.21

6

<0.10

0.143

SE

WSR02

20200516

Sunny

Moderate

Mid-Ebb

Middle

4.5

10:28

8.78

8.4

30.6

29.28

1.52

7

<0.10

0.191

E

WSR02

20200516

Sunny

Moderate

Mid-Ebb

Middle

4.5

10:28

8.84

8.53

30.22

28.99

1.29

7

<0.10

0.162

E

WSR02

20200516

Sunny

Moderate

Mid-Ebb

Surface

1

10:29

8.42

8.42

30.72

29.28

1.66

4

<0.10

0.196

SE

WSR02

20200516

Sunny

Moderate

Mid-Ebb

Surface

1

10:29

9.27

8.38

29.76

29.01

1.59

3

<0.10

0.188

SE

WSR03

20200516

Sunny

Moderate

Mid-Ebb

Bottom

6.7

9:56

8.87

8.39

30.69

28.91

1.99

4

<0.10

0.212

E

WSR03

20200516

Sunny

Moderate

Mid-Ebb

Bottom

6.7

9:56

8.48

8.51

30.64

28.95

1.73

3

<0.10

0.167

SE

WSR03

20200516

Sunny

Moderate

Mid-Ebb

Middle

3.85

9:57

8.24

8.47

30.34

29.34

1.38

5

<0.10

0.211

SE

WSR03

20200516

Sunny

Moderate

Mid-Ebb

Middle

3.85

9:57

8.62

8.44

29.65

29.08

1.73

6

<0.10

0.218

E

WSR03

20200516

Sunny

Moderate

Mid-Ebb

Surface

1

9:58

8.55

8.56

31.15

29.09

1.16

7

<0.10

0.169

E

WSR03

20200516

Sunny

Moderate

Mid-Ebb

Surface

1

9:58

8.66

8.43

31.37

29.02

1.58

6

<0.10

0.165

SE

WSR04

20200516

Sunny

Moderate

Mid-Ebb

Bottom

6.8

9:40

9.29

8.47

30.53

29.22

1.85

2

<0.10

0.18

SE

WSR04

20200516

Sunny

Moderate

Mid-Ebb

Bottom

6.8

9:40

8.5

8.53

31.01

29.14

1.72

2

<0.10

0.169

E

WSR04

20200516

Sunny

Moderate

Mid-Ebb

Middle

3.9

9:41

9.16

8.39

30.3

29.26

1.58

3

<0.10

0.144

E

WSR04

20200516

Sunny

Moderate

Mid-Ebb

Middle

3.9

9:41

8.87

8.5

29.7

28.91

1.2

2

<0.10

0.171

SE

WSR04

20200516

Sunny

Moderate

Mid-Ebb

Surface

1

9:42

8.96

8.42

29.8

29.12

1.64

3

<0.10

0.22

E

WSR04

20200516

Sunny

Moderate

Mid-Ebb

Surface

1

9:42

8.28

8.42

30.57

29.13

1.88

3

<0.10

0.203

SE

WSR16

20200516

Sunny

Moderate

Mid-Ebb

Bottom

10.8

8:19

9.01

8.35

30.64

28.7

1.92

2

<0.10

0.222

E

WSR16

20200516

Sunny

Moderate

Mid-Ebb

Bottom

10.8

8:19

8.81

8.45

30.1

28.77

2.31

2

<0.10

0.23

SE

WSR16

20200516

Sunny

Moderate

Mid-Ebb

Middle

5.9

8:20

8.27

8.33

31.56

28.77

1.72

2

<0.10

0.214

E

WSR16

20200516

Sunny

Moderate

Mid-Ebb

Middle

5.9

8:20

8.53

8.56

30.51

28.94

1.54

3

<0.10

0.182

SE

WSR16

20200516

Sunny

Moderate

Mid-Ebb

Surface

1

8:21

9.33

8.49

30.81

28.68

1.44

3

<0.10

0.153

SE

WSR16

20200516

Sunny

Moderate

Mid-Ebb

Surface

1

8:21

8.55

8.36

30.57

28.64

1.62

2

<0.10

0.142

SE


 

 

WSR33

20200516

Sunny

Moderate

Mid-Ebb

Bottom

6.1

9:22

8.47

8.54

29.63

29.03

1.4

4

<0.10

0.132

E

WSR33

20200516

Sunny

Moderate

Mid-Ebb

Bottom

6.1

9:22

9.02

8.33

29.97

29.36

1.98

5

<0.10

0.155

E

WSR33

20200516

Sunny

Moderate

Mid-Ebb

Middle

3.55

9:23

8.37

8.41

31.33

29.13

1.78

4

<0.10

0.186

E

WSR33

20200516

Sunny

Moderate

Mid-Ebb

Middle

3.55

9:23

8.53

8.34

30.74

29

1.12

4

<0.10

0.186

SE

WSR33

20200516

Sunny

Moderate

Mid-Ebb

Surface

1

9:24

9.19

8.33

30.28

29.26

1.27

4

<0.10

0.182

E

WSR33

20200516

Sunny

Moderate

Mid-Ebb

Surface

1

9:24

9.3

8.32

31.21

29.19

1.74

3

<0.10

0.18

SE

WSR36

20200516

Sunny

Moderate

Mid-Ebb

Bottom

4.5

9:09

9.35

8.43

30.69

29

2.17

5

<0.10

0.181

SE

WSR36

20200516

Sunny

Moderate

Mid-Ebb

Bottom

4.5

9:09

9.07

8.36

31.78

29.35

2.11

4

<0.10

0.2

SE

WSR36

20200516

Sunny

Moderate

Mid-Ebb

Surface

1

9:10

9.24

8.43

31.15

29.03

1.11

3

<0.10

0.148

SE

WSR36

20200516

Sunny

Moderate

Mid-Ebb

Surface

1

9:10

8.61

8.54

31.68

29.01

1.24

4

<0.10

0.158

E

WSR37

20200516

Sunny

Moderate

Mid-Ebb

Bottom

7.5

8:53

8.53

8.5

31.45

29.14

2.12

5

<0.10

0.209

SE

WSR37

20200516

Sunny

Moderate

Mid-Ebb

Bottom

7.5

8:53

8.8

8.56

30.15

28.9

1.63

4

<0.10

0.205

E

WSR37

20200516

Sunny

Moderate

Mid-Ebb

Middle

4.25

8:54

9.15

8.39

31.37

29.08

1.58

3

<0.10

0.189

E

WSR37

20200516

Sunny

Moderate

Mid-Ebb

Middle

4.25

8:54

8.92

8.31

31.59

29.02

1.45

4

<0.10

0.192

E

WSR37

20200516

Sunny

Moderate

Mid-Ebb

Surface

1

8:55

8.72

8.34

31.14

28.91

1.15

4

<0.10

0.207

E

WSR37

20200516

Sunny

Moderate

Mid-Ebb

Surface

1

8:55

8.57

8.32

30.03

28.98

1.71

2

<0.10

0.191

SE

CE

20200516

Sunny

Moderate

Mid-Flood

Bottom

12

11:55

8.21

8.3

29.95

29.14

2.19

4

<0.10

0.172

N

CE

20200516

Sunny

Moderate

Mid-Flood

Bottom

12

11:55

8.31

8.43

30.76

29.2

2.17

3

<0.10

0.193

NW

CE

20200516

Sunny

Moderate

Mid-Flood

Middle

6.5

11:56

8.57

8.44

31.3

28.93

1.44

3

<0.10

0.182

N

CE

20200516

Sunny

Moderate

Mid-Flood

Middle

6.5

11:56

8.72

8.31

30.73

29.09

1.15

4

<0.10

0.21

NW

CE

20200516

Sunny

Moderate

Mid-Flood

Surface

1

11:57

8.59

8.51

30.61

29.03

1.45

<2

<0.10

0.221

NW

CE

20200516

Sunny

Moderate

Mid-Flood

Surface

1

11:57

8.76

8.28

29.97

29.18

1.72

<2

<0.10

0.202

NW

CF

20200516

Sunny

Moderate

Mid-Flood

Bottom

11.3

11:51

8.61

8.23

29.95

29.12

1.79

5

<0.10

0.2

SW

CF

20200516

Sunny

Moderate

Mid-Flood

Bottom

11.3

11:51

9.11

8.49

30.6

29.2

1.64

4

<0.10

0.238

W

CF

20200516

Sunny

Moderate

Mid-Flood

Middle

6.15

11:52

8.59

8.27

30.88

29.12

1.67

4

<0.10

0.172

NW

CF

20200516

Sunny

Moderate

Mid-Flood

Middle

6.15

11:52

9.05

8.23

30.7

29.02

1.59

3

<0.10

0.161

W

CF

20200516

Sunny

Moderate

Mid-Flood

Surface

1

11:53

8.6

8.43

30.68

29.17

2

3

<0.10

0.219

W

CF

20200516

Sunny

Moderate

Mid-Flood

Surface

1

11:53

8.65

8.23

30.2

29.16

1.25

4

<0.10

0.193

W

NF1

20200516

Sunny

Moderate

Mid-Flood

Bottom

9.6

12:34

8.36

8.41

30.18

29.21

1.6

2

<0.10

0.138

W

NF1

20200516

Sunny

Moderate

Mid-Flood

Bottom

9.6

12:34

8.8

8.37

31.24

29.21

1.65

3

<0.10

0.144

NW

NF1

20200516

Sunny

Moderate

Mid-Flood

Middle

5.3

12:35

8.27

8.25

30.89

29.1

1.54

2

<0.10

0.154

NW

NF1

20200516

Sunny

Moderate

Mid-Flood

Middle

5.3

12:35

8.97

8.41

30.93

29.06

1.7

3

<0.10

0.151

W

NF1

20200516

Sunny

Moderate

Mid-Flood

Surface

1

12:36

9.03

8.36

30.29

29.2

2

<2

<0.10

0.141

W


 

 

NF1

20200516

Sunny

Moderate

Mid-Flood

Surface

1

12:36

8.95

8.48

31.53

29.22

1.94

<2

<0.10

0.14

W

NF2

20200516

Sunny

Moderate

Mid-Flood

Bottom

9.2

14:10

8.34

8.27

30.33

29

1.88

5

<0.10

0.177

SW

NF2

20200516

Sunny

Moderate

Mid-Flood

Bottom

9.2

14:10

8.41

8.28

30.42

29.28

1.68

6

<0.10

0.165

W

NF2

20200516

Sunny

Moderate

Mid-Flood

Middle

5.1

14:11

8.21

8.51

31.78

29.24

1.42

5

<0.10

0.196

W

NF2

20200516

Sunny

Moderate

Mid-Flood

Middle

5.1

14:11

8.56

8.47

31.32

29.14

1.44

4

<0.10

0.129

W

NF2

20200516

Sunny

Moderate

Mid-Flood

Surface

1

14:12

8.03

8.26

31.64

29.19

1.24

3

<0.10

0.157

SW

NF2

20200516

Sunny

Moderate

Mid-Flood

Surface

1

14:12

8.03

8.23

30.27

29.29

1.65

4

<0.10

0.133

NW

NF3

20200516

Sunny

Moderate

Mid-Flood

Bottom

9.5

14:21

8.68

8.23

31.48

29.11

1.95

3

<0.10

0.147

W

NF3

20200516

Sunny

Moderate

Mid-Flood

Bottom

9.5

14:21

8.5

8.37

31.43

28.95

1.65

3

<0.10

0.134

W

NF3

20200516

Sunny

Moderate

Mid-Flood

Middle

5.25

14:22

8.26

8.51

31.77

28.93

1.9

4

<0.10

0.172

NW

NF3

20200516

Sunny

Moderate

Mid-Flood

Middle

5.25

14:22

8.19

8.43

31.2

29.11

1.11

3

<0.10

0.133

W

NF3

20200516

Sunny

Moderate

Mid-Flood

Surface

1

14:23

8.81

8.4

31.29

29.14

1.51

3

<0.10

0.188

NW

NF3

20200516

Sunny

Moderate

Mid-Flood

Surface

1

14:23

8.5

8.26

31.77

29

1.67

4

<0.10

0.138

NW

WSR01

20200516

Sunny

Moderate

Mid-Flood

Bottom

8.5

14:44

8.62

8.32

31.13

29.17

1.86

3

<0.10

0.174

W

WSR01

20200516

Sunny

Moderate

Mid-Flood

Bottom

8.5

14:44

8.65

8.3

31.5

28.99

1.77

4

<0.10

0.186

W

WSR01

20200516

Sunny

Moderate

Mid-Flood

Middle

4.75

14:45

9.09

8.31

30.53

29.13

1.97

4

<0.10

0.179

W

WSR01

20200516

Sunny

Moderate

Mid-Flood

Middle

4.75

14:45

8.52

8.34

31.8

29.18

1.81

2

<0.10

0.16

W

WSR01

20200516

Sunny

Moderate

Mid-Flood

Surface

1

14:46

8.54

8.42

31.8

29.02

1.86

5

<0.10

0.147

NW

WSR01

20200516

Sunny

Moderate

Mid-Flood

Surface

1

14:46

9.12

8.27

30.54

29.18

1.27

5

<0.10

0.16

NW

WSR02

20200516

Sunny

Moderate

Mid-Flood

Bottom

8

14:20

8.17

8.45

30.61

29.05

1.76

7

<0.10

0.18

W

WSR02

20200516

Sunny

Moderate

Mid-Flood

Bottom

8

14:20

8.94

8.32

31.12

29.07

1.57

7

<0.10

0.172

W

WSR02

20200516

Sunny

Moderate

Mid-Flood

Middle

4.5

14:21

8.31

8.53

29.99

29.2

1.67

3

<0.10

0.192

W

WSR02

20200516

Sunny

Moderate

Mid-Flood

Middle

4.5

14:21

8.14

8.32

30.92

28.99

1.67

4

<0.10

0.153

W

WSR02

20200516

Sunny

Moderate

Mid-Flood

Surface

1

14:22

8.52

8.48

31.43

28.98

1.82

2

<0.10

0.153

W

WSR02

20200516

Sunny

Moderate

Mid-Flood

Surface

1

14:22

8.31

8.4

31.42

28.93

1.57

2

<0.10

0.196

SW

WSR03

20200516

Sunny

Moderate

Mid-Flood

Bottom

7.3

13:52

7.98

8.3

29.98

29.31

1.59

7

<0.10

0.165

W

WSR03

20200516

Sunny

Moderate

Mid-Flood

Bottom

7.3

13:52

8.35

8.53

30.63

29.1

1.73

8

<0.10

0.175

W

WSR03

20200516

Sunny

Moderate

Mid-Flood

Middle

4.15

13:53

8.48

8.52

31.44

29.12

1.85

6

<0.10

0.168

NW

WSR03

20200516

Sunny

Moderate

Mid-Flood

Middle

4.15

13:53

9.05

8.47

31.82

29.18

1.41

7

<0.10

0.138

W

WSR03

20200516

Sunny

Moderate

Mid-Flood

Surface

1

13:54

8.14

8.5

31.16

29.07

1.25

4

<0.10

0.133

NW

WSR03

20200516

Sunny

Moderate

Mid-Flood

Surface

1

13:54

8

8.27

30.97

29.11

1.35

5

<0.10

0.186

W

WSR04

20200516

Sunny

Moderate

Mid-Flood

Bottom

6.7

13:34

8.04

8.44

31.29

29

1.93

6

<0.10

0.144

W

WSR04

20200516

Sunny

Moderate

Mid-Flood

Bottom

6.7

13:34

9.16

8.38

30.84

29.1

2.19

5

<0.10

0.132

SW


 

 

WSR04

20200516

Sunny

Moderate

Mid-Flood

Middle

3.85

13:35

8.13

8.43

30.45

29.21

1.76

4

<0.10

0.148

W

WSR04

20200516

Sunny

Moderate

Mid-Flood

Middle

3.85

13:35

8.49

8.27

30.44

29.19

1.24

3

<0.10

0.17

W

WSR04

20200516

Sunny

Moderate

Mid-Flood

Surface

1

13:36

8.08

8.49

31.68

29.09

1.26

4

<0.10

0.165

W

WSR04

20200516

Sunny

Moderate

Mid-Flood

Surface

1

13:36

8.85

8.5

29.99

29.09

1.3

3

<0.10

0.136

W

WSR16

20200516

Sunny

Moderate

Mid-Flood

Bottom

10.8

12:14

9.07

8.4

31.41

29.07

2.34

4

<0.10

0.189

NW

WSR16

20200516

Sunny

Moderate

Mid-Flood

Bottom

10.8

12:14

8.22

8.37

30.42

28.94

2.11

3

<0.10

0.161

NW

WSR16

20200516

Sunny

Moderate

Mid-Flood

Middle

5.9

12:15

8.08

8.42

30.81

29.06

1.15

4

<0.10

0.187

NW

WSR16

20200516

Sunny

Moderate

Mid-Flood

Middle

5.9

12:15

9.08

8.44

30.36

28.99

1.68

3

<0.10

0.203

N

WSR16

20200516

Sunny

Moderate

Mid-Flood

Surface

1

12:16

8.44

8.52

30.87

29.24

2.03

4

<0.10

0.19

NW

WSR16

20200516

Sunny

Moderate

Mid-Flood

Surface

1

12:16

8.17

8.3

30.76

29.13

1.54

4

<0.10

0.208

NW

WSR33

20200516

Sunny

Moderate

Mid-Flood

Bottom

6.6

13:17

8.3

8.53

31.25

29

1.59

4

<0.10

0.192

W

WSR33

20200516

Sunny

Moderate

Mid-Flood

Bottom

6.6

13:17

9.12

8.24

31.64

29.1

1.72

4

<0.10

0.176

NW

WSR33

20200516

Sunny

Moderate

Mid-Flood

Middle

3.8

13:18

8.64

8.5

30.06

29.07

1.2

4

<0.10

0.191

W

WSR33

20200516

Sunny

Moderate

Mid-Flood

Middle

3.8

13:18

9.17

8.21

31.77

29.2

1.21

3

<0.10

0.167

W

WSR33

20200516

Sunny

Moderate

Mid-Flood

Surface

1

13:19

8.11

8.25

30.77

29.07

1.49

3

<0.10

0.14

NW

WSR33

20200516

Sunny

Moderate

Mid-Flood

Surface

1

13:19

8.83

8.24

31.49

29.19

1.89

4

<0.10

0.136

NW

WSR36

20200516

Sunny

Moderate

Mid-Flood

Bottom

4.6

13:03

8.17

8.35

31.55

29.3

2.01

2

<0.10

0.15

SW

WSR36

20200516

Sunny

Moderate

Mid-Flood

Bottom

4.6

13:03

8.72

8.38

30.18

29.08

2.06

3

<0.10

0.144

SW

WSR36

20200516

Sunny

Moderate

Mid-Flood

Surface

1

13:04

8.48

8.41

31.66

29.05

1.97

2

<0.10

0.146

NW

WSR36

20200516

Sunny

Moderate

Mid-Flood

Surface

1

13:04

8.89

8.22

29.95

29.18

1.73

2

<0.10

0.19

W

WSR37

20200516

Sunny

Moderate

Mid-Flood

Bottom

7.8

12:47

8.09

8.37

29.95

29.08

1.96

3

<0.10

0.181

NW

WSR37

20200516

Sunny

Moderate

Mid-Flood

Bottom

7.8

12:47

8.18

8.3

31.4

29.08

2.38

4

<0.10

0.145

W

WSR37

20200516

Sunny

Moderate

Mid-Flood

Middle

4.4

12:48

8.97

8.21

31.08

29.16

1.33

3

<0.10

0.158

W

WSR37

20200516

Sunny

Moderate

Mid-Flood

Middle

4.4

12:48

8.52

8.24

30.51

29.02

1.82

2

<0.10

0.185

W

WSR37

20200516

Sunny

Moderate

Mid-Flood

Surface

1

12:49

8.95

8.4

30.4

29.23

1.19

2

<0.10

0.196

W

WSR37

20200516

Sunny

Moderate

Mid-Flood

Surface

1

12:49

8.88

8.5

30.98

29.09

1.72

2

<0.10

0.18

W

CE

20200519

Cloudy

Moderate

Mid-Ebb

Bottom

10.8

9:11

8.13

8.18

30.92

27.78

1.74

2

<0.10

0.438

SE

CE

20200519

Cloudy

Moderate

Mid-Ebb

Bottom

10.8

9:11

8.82

8.3

30.56

27.54

1.52

2

<0.10

0.434

SE

CE

20200519

Cloudy

Moderate

Mid-Ebb

Middle

5.9

9:12

8.41

8.35

31.31

27.77

1

2

<0.10

0.351

SE

CE

20200519

Cloudy

Moderate

Mid-Ebb

Middle

5.9

9:12

9.07

8.14

31.16

27.64

0.94

2

<0.10

0.437

SE

CE

20200519

Cloudy

Moderate

Mid-Ebb

Surface

1

9:13

8.93

8.36

30.51

27.78

1.27

2

<0.10

0.429

E

CE

20200519

Cloudy

Moderate

Mid-Ebb

Surface

1

9:13

8.08

8.12

31.1

27.8

1.12

3

<0.10

0.289

SE

CF

20200519

Cloudy

Moderate

Mid-Ebb

Bottom

12

9:16

8.11

8.24

31.66

27.5

0.91

4

<0.10

0.212

E


 

 

CF

20200519

Cloudy

Moderate

Mid-Ebb

Bottom

12

9:16

8.5

8.29

30.4

27.86

1.65

3

<0.10

0.187

SE

CF

20200519

Cloudy

Moderate

Mid-Ebb

Middle

6.5

9:17

8.32

8.3

30.64

27.66

1.34

3

<0.10

0.165

E

CF

20200519

Cloudy

Moderate

Mid-Ebb

Middle

6.5

9:17

8.2

8.33

31.25

27.54

1.45

2

<0.10

0.177

E

CF

20200519

Cloudy

Moderate

Mid-Ebb

Surface

1

9:18

8.29

8.3

31.31

27.88

1.62

2

<0.10

0.136

SE

CF

20200519

Cloudy

Moderate

Mid-Ebb

Surface

1

9:18

8.53

8.21

30.53

27.69

1.07

3

<0.10

0.148

E

NF1

20200519

Cloudy

Moderate

Mid-Ebb

Bottom

9.4

9:55

9.08

8.2

30.74

27.56

1.13

4

<0.10

0.142

SE

NF1

20200519

Cloudy

Moderate

Mid-Ebb

Bottom

9.4

9:55

8.3

8.27

30.35

27.7

1.7

3

<0.10

0.221

SE

NF1

20200519

Cloudy

Moderate

Mid-Ebb

Middle

5.2

9:56

8.1

8.22

31.25

27.6

1.04

2

<0.10

0.136

E

NF1

20200519

Cloudy

Moderate

Mid-Ebb

Middle

5.2

9:56

8.69

8.3

31.35

27.63

1.22

2

<0.10

0.188

E

NF1

20200519

Cloudy

Moderate

Mid-Ebb

Surface

1

9:57

8.77

8.32

31.43

27.58

1.53

3

<0.10

0.204

SE

NF1

20200519

Cloudy

Moderate

Mid-Ebb

Surface

1

9:57

9.04

8.35

31.19

27.91

0.86

2

<0.10

0.218

E

NF2

20200519

Cloudy

Moderate

Mid-Ebb

Bottom

8.4

11:28

8.65

8.36

30.71

27.51

1.59

4

<0.10

0.149

E

NF2

20200519

Cloudy

Moderate

Mid-Ebb

Bottom

8.4

11:28

8.64

8.28

31.51

27.74

1.33

4

<0.10

0.131

E

NF2

20200519

Cloudy

Moderate

Mid-Ebb

Middle

4.7

11:29

8.26

8.11

30.58

27.6

1.72

4

<0.10

0.143

SE

NF2

20200519

Cloudy

Moderate

Mid-Ebb

Middle

4.7

11:29

8.09

8.35

30.74

27.63

0.99

2

<0.10

0.17

SE

NF2

20200519

Cloudy

Moderate

Mid-Ebb

Surface

1

11:30

8.08

8.36

31

27.84

1.23

3

<0.10

0.145

E

NF2

20200519

Cloudy

Moderate

Mid-Ebb

Surface

1

11:30

8.51

8.25

30.47

27.86

1.73

3

<0.10

0.194

SE

NF3

20200519

Cloudy

Moderate

Mid-Ebb

Bottom

9.5

11:36

8.29

8.18

31.2

27.79

1.62

<2

<0.10

0.148

SE

NF3

20200519

Cloudy

Moderate

Mid-Ebb

Bottom

9.5

11:36

8.1

8.27

31

27.56

1.49

<2

<0.10

0.198

SE

NF3

20200519

Cloudy

Moderate

Mid-Ebb

Middle

5.25

11:37

8.96

8.33

31.08

27.51

1.23

2

<0.10

0.218

SE

NF3

20200519

Cloudy

Moderate

Mid-Ebb

Middle

5.25

11:37

8.31

8.23

31.65

27.61

1.35

2

<0.10

0.216

SE

NF3

20200519

Cloudy

Moderate

Mid-Ebb

Surface

1

11:38

8.52

8.27

31.17

27.52

1.37

3

<0.10

0.204

E

NF3

20200519

Cloudy

Moderate

Mid-Ebb

Surface

1

11:38

8.24

8.28

31.13

27.53

1.65

2

<0.10

0.173

SE

WSR01

20200519

Cloudy

Moderate

Mid-Ebb

Bottom

7

12:09

8.27

8.29

30.48

27.85

1.55

3

<0.10

0.134

E

WSR01

20200519

Cloudy

Moderate

Mid-Ebb

Bottom

7

12:09

8.72

8.13

31.55

27.51

0.86

2

<0.10

0.214

SE

WSR01

20200519

Cloudy

Moderate

Mid-Ebb

Middle

4

12:10

8.99

8.18

31.45

27.7

1.57

4

<0.10

0.215

E

WSR01

20200519

Cloudy

Moderate

Mid-Ebb

Middle

4

12:10

8.31

8.29

31.21

27.77

1.73

4

<0.10

0.206

E

WSR01

20200519

Cloudy

Moderate

Mid-Ebb

Surface

1

12:11

8.95

8.21

30.85

27.77

1.29

6

<0.10

0.211

SE

WSR01

20200519

Cloudy

Moderate

Mid-Ebb

Surface

1

12:11

8.59

8.26

31.48

27.61

1.29

6

<0.10

0.153

E

WSR02

20200519

Cloudy

Moderate

Mid-Ebb

Bottom

8.5

11:44

8.82

8.26

30.93

27.57

0.91

4

<0.10

0.175

SE

WSR02

20200519

Cloudy

Moderate

Mid-Ebb

Bottom

8.5

11:44

8.74

8.31

31.04

27.63

0.92

3

<0.10

0.142

E

WSR02

20200519

Cloudy

Moderate

Mid-Ebb

Middle

4.75

11:45

8.54

8.15

31.45

27.63

1.17

4

<0.10

0.179

E

WSR02

20200519

Cloudy

Moderate

Mid-Ebb

Middle

4.75

11:45

8.55

8.31

31.12

27.53

1.49

2

<0.10

0.183

SE


 

 

WSR02

20200519

Cloudy

Moderate

Mid-Ebb

Surface

1

11:46

8.84

8.14

30.51

27.85

0.91

3

<0.10

0.179

SE

WSR02

20200519

Cloudy

Moderate

Mid-Ebb

Surface

1

11:46

9.06

8.23

30.37

27.61

1.32

2

<0.10

0.192

E

WSR03

20200519

Cloudy

Moderate

Mid-Ebb

Bottom

6.8

11:11

8.89

8.15

31.49

27.83

1.62

3

<0.10

0.204

E

WSR03

20200519

Cloudy

Moderate

Mid-Ebb

Bottom

6.8

11:11

8.22

8.3

31.29

27.52

1.14

4

<0.10

0.161

SE

WSR03

20200519

Cloudy

Moderate

Mid-Ebb

Middle

3.9

11:12

8.16

8.26

31.41

27.67

1.06

3

<0.10

0.211

SE

WSR03

20200519

Cloudy

Moderate

Mid-Ebb

Middle

3.9

11:12

8.31

8.2

31.18

27.67

1.23

3

<0.10

0.182

E

WSR03

20200519

Cloudy

Moderate

Mid-Ebb

Surface

1

11:13

8.99

8.21

31.27

27.8

0.91

3

<0.10

0.139

E

WSR03

20200519

Cloudy

Moderate

Mid-Ebb

Surface

1

11:13

9.04

8.23

30.84

27.58

1.27

2

<0.10

0.187

SE

WSR04

20200519

Cloudy

Moderate

Mid-Ebb

Bottom

6

10:55

9

8.12

31.19

27.69

1.37

2

<0.10

0.159

SE

WSR04

20200519

Cloudy

Moderate

Mid-Ebb

Bottom

6

10:55

8.79

8.36

31.56

27.66

1.18

2

<0.10

0.166

SE

WSR04

20200519

Cloudy

Moderate

Mid-Ebb

Middle

3.5

10:56

9.09

8.16

31.46

27.73

1.32

3

<0.10

0.166

E

WSR04

20200519

Cloudy

Moderate

Mid-Ebb

Middle

3.5

10:56

8.32

8.13

31.24

27.86

1.31

3

<0.10

0.137

SE

WSR04

20200519

Cloudy

Moderate

Mid-Ebb

Surface

1

10:57

8.85

8.16

31.07

27.53

1.06

3

<0.10

0.186

SE

WSR04

20200519

Cloudy

Moderate

Mid-Ebb

Surface

1

10:57

8.12

8.34

31.56

27.5

1.22

3

<0.10

0.136

SE

WSR16

20200519

Cloudy

Moderate

Mid-Ebb

Bottom

10.8

9:33

8.7

8.26

31.62

27.64

1.25

<2

<0.10

0.229

E

WSR16

20200519

Cloudy

Moderate

Mid-Ebb

Bottom

10.8

9:33

8.78

8.35

31.06

27.85

1.53

<2

<0.10

0.141

SE

WSR16

20200519

Cloudy

Moderate

Mid-Ebb

Middle

5.9

9:34

8.35

8.33

30.4

27.58

1.2

2

<0.10

0.22

E

WSR16

20200519

Cloudy

Moderate

Mid-Ebb

Middle

5.9

9:34

8.75

8.12

30.55

27.5

1.14

2

<0.10

0.155

SE

WSR16

20200519

Cloudy

Moderate

Mid-Ebb

Surface

1

9:35

8.27

8.36

31.14

27.59

1.51

2

<0.10

0.225

E

WSR16

20200519

Cloudy

Moderate

Mid-Ebb

Surface

1

9:35

8.76

8.25

31.52

27.59

1.46

3

<0.10

0.221

E

WSR33

20200519

Cloudy

Moderate

Mid-Ebb

Bottom

6.5

10:37

8.92

8.28

31.57

27.61

1.26

2

<0.10

0.13

SE

WSR33

20200519

Cloudy

Moderate

Mid-Ebb

Bottom

6.5

10:37

8.18

8.27

31.28

27.7

1.21

2

<0.10

0.185

E

WSR33

20200519

Cloudy

Moderate

Mid-Ebb

Middle

3.75

10:38

8.12

8.18

31.65

27.72

1.16

<2

<0.10

0.154

E

WSR33

20200519

Cloudy

Moderate

Mid-Ebb

Middle

3.75

10:38

8.52

8.26

30.69

27.88

1.41

<2

<0.10

0.217

SE

WSR33

20200519

Cloudy

Moderate

Mid-Ebb

Surface

1

10:39

8.34

8.31

31.26

27.84

1.58

<2

<0.10

0.192

SE

WSR33

20200519

Cloudy

Moderate

Mid-Ebb

Surface

1

10:39

8.34

8.11

30.47

27.65

1.37

<2

<0.10

0.201

E

WSR36

20200519

Cloudy

Moderate

Mid-Ebb

Bottom

4.1

10:25

9.08

8.13

31.58

27.86

1.43

3

<0.10

0.146

E

WSR36

20200519

Cloudy

Moderate

Mid-Ebb

Bottom

4.1

10:25

8.33

8.11

30.44

27.67

1.46

3

<0.10

0.149

E

WSR36

20200519

Cloudy

Moderate

Mid-Ebb

Surface

1

10:26

8.24

8.36

31.56

27.7

1.17

2

<0.10

0.194

E

WSR36

20200519

Cloudy

Moderate

Mid-Ebb

Surface

1

10:26

8.22

8.36

30.46

27.91

1.64

2

<0.10

0.192

SE

WSR37

20200519

Cloudy

Moderate

Mid-Ebb

Bottom

6.3

10:07

8.64

8.22

31.31

27.91

1.28

2

<0.10

0.136

E

WSR37

20200519

Cloudy

Moderate

Mid-Ebb

Bottom

6.3

10:07

8.12

8.23

31.3

27.62

1.74

3

<0.10

0.136

E

WSR37

20200519

Cloudy

Moderate

Mid-Ebb

Middle

3.65

10:08

8.29

8.24

30.72

27.53

1.13

2

<0.10

0.156

SE


 

 

WSR37

20200519

Cloudy

Moderate

Mid-Ebb

Middle

3.65

10:08

8.66

8.3

31.37

27.79

1.34

2

<0.10

0.207

SE

WSR37

20200519

Cloudy

Moderate

Mid-Ebb

Surface

1

10:09

8.42

8.24

31.32

27.5

1.54

2

<0.10

0.191

E

WSR37

20200519

Cloudy

Moderate

Mid-Ebb

Surface

1

10:09

8.34

8.12

30.89

27.87

1.67

2

<0.10

0.14

SE

CE

20200519

Cloudy

Moderate

Mid-Flood

Bottom

11.3

15:04

8.37

8.5

31.13

28.03

1.69

4

<0.10

0.172

NW

CE

20200519

Cloudy

Moderate

Mid-Flood

Bottom

11.3

15:04

8.6

8.48

31.42

27.79

1.25

5

<0.10

0.173

N

CE

20200519

Cloudy

Moderate

Mid-Flood

Middle

6.15

15:05

8.79

8.3

31.45

27.92

1.21

3

<0.10

0.204

NW

CE

20200519

Cloudy

Moderate

Mid-Flood

Middle

6.15

15:05

8.64

8.27

30.66

27.86

1.15

4

<0.10

0.209

NW

CE

20200519

Cloudy

Moderate

Mid-Flood

Surface

1

15:06

8.46

8.36

31.1

27.9

0.95

3

<0.10

0.172

NW

CE

20200519

Cloudy

Moderate

Mid-Flood

Surface

1

15:06

8.21

8.3

31.05

28.08

1.75

4

<0.10

0.181

NW

CF

20200519

Cloudy

Moderate

Mid-Flood

Bottom

11.1

15:03

8.7

8.19

30.92

27.6

0.99

5

<0.10

0.194

W

CF

20200519

Cloudy

Moderate

Mid-Flood

Bottom

11.1

15:03

8.46

8.5

30.35

27.62

1.38

6

<0.10

0.218

W

CF

20200519

Cloudy

Moderate

Mid-Flood

Middle

6.05

15:04

8.84

8.21

30.43

27.73

1.33

4

<0.10

0.174

W

CF

20200519

Cloudy

Moderate

Mid-Flood

Middle

6.05

15:04

9.11

8.31

30.56

27.91

1.71

4

<0.10

0.212

W

CF

20200519

Cloudy

Moderate

Mid-Flood

Surface

1

15:05

8.48

8.23

31.33

27.82

1.48

4

<0.10

0.219

W

CF

20200519

Cloudy

Moderate

Mid-Flood

Surface

1

15:05

8.26

8.29

30.57

28.06

0.92

4

<0.10

0.24

NW

NF1

20200519

Cloudy

Moderate

Mid-Flood

Bottom

9.5

15:43

8.4

8.45

30.47

27.95

1.53

2

<0.10

0.139

W

NF1

20200519

Cloudy

Moderate

Mid-Flood

Bottom

9.5

15:43

8.65

8.39

31.41

27.88

1.57

3

<0.10

0.157

SW

NF1

20200519

Cloudy

Moderate

Mid-Flood

Middle

5.25

15:44

8.42

8.29

30.31

28.06

1.46

3

<0.10

0.195

W

NF1

20200519

Cloudy

Moderate

Mid-Flood

Middle

5.25

15:44

8.83

8.45

30.37

28

1.01

2

<0.10

0.139

W

NF1

20200519

Cloudy

Moderate

Mid-Flood

Surface

1

15:45

8.24

8.29

30.34

27.77

1.06

2

<0.10

0.184

W

NF1

20200519

Cloudy

Moderate

Mid-Flood

Surface

1

15:45

8.54

8.31

31.3

27.71

1.26

2

<0.10

0.143

SW

NF2

20200519

Cloudy

Moderate

Mid-Flood

Bottom

9.4

17:16

8.84

8.42

30.95

27.74

1.02

4

<0.10

0.196

W

NF2

20200519

Cloudy

Moderate

Mid-Flood

Bottom

9.4

17:16

8.78

8.39

30.91

27.96

1.36

3

<0.10

0.173

W

NF2

20200519

Cloudy

Moderate

Mid-Flood

Middle

5.2

17:17

8.74

8.4

31.09

27.62

1.1

4

<0.10

0.14

W

NF2

20200519

Cloudy

Moderate

Mid-Flood

Middle

5.2

17:17

8.41

8.49

30.62

27.78

1.41

3

<0.10

0.139

W

NF2

20200519

Cloudy

Moderate

Mid-Flood

Surface

1

17:18

8.42

8.42

31.23

27.78

1.35

2

<0.10

0.18

W

NF2

20200519

Cloudy

Moderate

Mid-Flood

Surface

1

17:18

8.63

8.28

31.21

27.82

1.79

2

<0.10

0.174

W

NF3

20200519

Cloudy

Moderate

Mid-Flood

Bottom

9.8

17:25

8.41

8.3

30.53

27.9

1.6

3

<0.10

0.169

NW

NF3

20200519

Cloudy

Moderate

Mid-Flood

Bottom

9.8

17:25

8.25

8.29

30.52

27.95

1.65

3

<0.10

0.129

W

NF3

20200519

Cloudy

Moderate

Mid-Flood

Middle

5.4

17:26

8.71

8.4

30.67

27.68

1

2

<0.10

0.185

SW

NF3

20200519

Cloudy

Moderate

Mid-Flood

Middle

5.4

17:26

8.63

8.17

30.45

27.85

1.58

2

<0.10

0.154

SW

NF3

20200519

Cloudy

Moderate

Mid-Flood

Surface

1

17:27

9.09

8.21

30.8

28.06

1.3

2

<0.10

0.154

NW

NF3

20200519

Cloudy

Moderate

Mid-Flood

Surface

1

17:27

9.1

8.42

30.52

27.95

1.5

3

<0.10

0.146

W


 

 

WSR01

20200519

Cloudy

Moderate

Mid-Flood

Bottom

8

17:56

8.22

8.37

31.33

28.09

1.78

3

<0.10

0.132

SW

WSR01

20200519

Cloudy

Moderate

Mid-Flood

Bottom

8

17:56

8.21

8.46

30.56

27.83

1.4

3

<0.10

0.153

NW

WSR01

20200519

Cloudy

Moderate

Mid-Flood

Middle

4.5

17:57

8.22

8.31

30.63

27.69

1.02

3

<0.10

0.141

W

WSR01

20200519

Cloudy

Moderate

Mid-Flood

Middle

4.5

17:57

8.6

8.24

30.93

28.01

1.36

2

<0.10

0.139

W

WSR01

20200519

Cloudy

Moderate

Mid-Flood

Surface

1

17:58

8.9

8.33

31.33

28.06

1.29

2

<0.10

0.141

W

WSR01

20200519

Cloudy

Moderate

Mid-Flood

Surface

1

17:58

8.82

8.23

31.47

27.6

1.14

3

<0.10

0.169

W

WSR02

20200519

Cloudy

Moderate

Mid-Flood

Bottom

8

17:31

8.73

8.29

30.6

27.89

1.15

4

<0.10

0.144

SW

WSR02

20200519

Cloudy

Moderate

Mid-Flood

Bottom

8

17:31

8.62

8.28

30.73

27.84

1.49

5

<0.10

0.172

SW

WSR02

20200519

Cloudy

Moderate

Mid-Flood

Middle

4.5

17:32

8.28

8.5

30.96

27.77

1.68

4

<0.10

0.192

W

WSR02

20200519

Cloudy

Moderate

Mid-Flood

Middle

4.5

17:32

8.89

8.42

31.06

27.79

1.13

4

<0.10

0.195

W

WSR02

20200519

Cloudy

Moderate

Mid-Flood

Surface

1

17:33

8.97

8.17

30.37

27.94

1.35

3

<0.10

0.135

NW

WSR02

20200519

Cloudy

Moderate

Mid-Flood

Surface

1

17:33

9.11

8.19

30.57

27.7

1.78

4

<0.10

0.168

W

WSR03

20200519

Cloudy

Moderate

Mid-Flood

Bottom

6.8

16:58

8.35

8.48

30.51

27.73

1.35

2

<0.10

0.196

SW

WSR03

20200519

Cloudy

Moderate

Mid-Flood

Bottom

6.8

16:58

8.4

8.31

31.06

28.08

1.39

3

<0.10

0.192

W

WSR03

20200519

Cloudy

Moderate

Mid-Flood

Middle

3.9

16:59

8.8

8.3

30.72

27.9

1.63

3

<0.10

0.132

W

WSR03

20200519

Cloudy

Moderate

Mid-Flood

Middle

3.9

16:59

8.77

8.4

31.35

27.78

1.7

3

<0.10

0.169

NW

WSR03

20200519

Cloudy

Moderate

Mid-Flood

Surface

1

17:00

8.68

8.23

30.21

27.83

0.99

4

<0.10

0.148

W

WSR03

20200519

Cloudy

Moderate

Mid-Flood

Surface

1

17:00

8.36

8.4

30.34

27.84

1.04

3

<0.10

0.178

W

WSR04

20200519

Cloudy

Moderate

Mid-Flood

Bottom

6.6

16:42

8.97

8.17

30.33

27.89

1.42

4

<0.10

0.167

W

WSR04

20200519

Cloudy

Moderate

Mid-Flood

Bottom

6.6

16:42

8.66

8.37

30.99

27.77

1.3

4

<0.10

0.18

W

WSR04

20200519

Cloudy

Moderate

Mid-Flood

Middle

3.8

16:43

8.4

8.44

30.92

27.89

1.25

3

<0.10

0.169

NW

WSR04

20200519

Cloudy

Moderate

Mid-Flood

Middle

3.8

16:43

8.92

8.28

30.51

28.01

1.64

3

<0.10

0.131

NW

WSR04

20200519

Cloudy

Moderate

Mid-Flood

Surface

1

16:44

8.86

8.34

30.73

27.64

1.64

2

<0.10

0.159

W

WSR04

20200519

Cloudy

Moderate

Mid-Flood

Surface

1

16:44

8.29

8.18

31.46

28.08

1.61

2

<0.10

0.155

W

WSR16

20200519

Cloudy

Moderate

Mid-Flood

Bottom

11.1

15:23

8.43

8.19

30.83

27.72

1.72

3

<0.10

0.172

NW

WSR16

20200519

Cloudy

Moderate

Mid-Flood

Bottom

11.1

15:23

8.99

8.35

30.27

28.02

1.25

4

<0.10

0.191

NW

WSR16

20200519

Cloudy

Moderate

Mid-Flood

Middle

6.05

15:24

8.73

8.29

31.21

27.6

0.98

3

<0.10

0.201

N

WSR16

20200519

Cloudy

Moderate

Mid-Flood

Middle

6.05

15:24

8.85

8.47

30.85

28.06

1.1

4

<0.10

0.173

NW

WSR16

20200519

Cloudy

Moderate

Mid-Flood

Surface

1

15:25

8.7

8.5

30.58

27.89

1.11

2

<0.10

0.219

NW

WSR16

20200519

Cloudy

Moderate

Mid-Flood

Surface

1

15:25

8.21

8.46

30.4

27.9

1.67

2

<0.10

0.207

NW

WSR33

20200519

Cloudy

Moderate

Mid-Flood

Bottom

6.1

16:26

8.93

8.22

30.59

27.84

0.93

4

<0.10

0.134

W

WSR33

20200519

Cloudy

Moderate

Mid-Flood

Bottom

6.1

16:26

8.99

8.25

30.65

27.62

1.22

4

<0.10

0.194

SW

WSR33

20200519

Cloudy

Moderate

Mid-Flood

Middle

3.55

16:27

8.83

8.5

30.79

27.86

1.61

3

<0.10

0.177

W


 

 

WSR33

20200519

Cloudy

Moderate

Mid-Flood

Middle

3.55

16:27

8.26

8.39

30.7

27.86

1.27

4

<0.10

0.174

W

WSR33

20200519

Cloudy

Moderate

Mid-Flood

Surface

1

16:28

8.84

8.43

30.74

27.76

1.73

3

<0.10

0.138

W

WSR33

20200519

Cloudy

Moderate

Mid-Flood

Surface

1

16:28

8.97

8.36

30.77

28.05

1.32

4

<0.10

0.162

W

WSR36

20200519

Cloudy

Moderate

Mid-Flood

Bottom

4.6

16:13

8.38

8.44

31.34

27.69

1.12

3

<0.10

0.181

W

WSR36

20200519

Cloudy

Moderate

Mid-Flood

Bottom

4.6

16:13

8.8

8.45

31.21

27.63

1.07

3

<0.10

0.183

W

WSR36

20200519

Cloudy

Moderate

Mid-Flood

Surface

1

16:14

8.8

8.23

30.27

28.09

0.93

4

<0.10

0.14

W

WSR36

20200519

Cloudy

Moderate

Mid-Flood

Surface

1

16:14

8.28

8.19

30.97

27.99

1.19

3

<0.10

0.159

W

WSR37

20200519

Cloudy

Moderate

Mid-Flood

Bottom

7.6

15:54

8.66

8.46

30.52

27.64

1.63

4

<0.10

0.187

NW

WSR37

20200519

Cloudy

Moderate

Mid-Flood

Bottom

7.6

15:54

8.61

8.2

31.23

27.99

1.43

4

<0.10

0.137

SW

WSR37

20200519

Cloudy

Moderate

Mid-Flood

Middle

4.3

15:55

8.7

8.42

31.24

28.03

1.68

3

<0.10

0.131

NW

WSR37

20200519

Cloudy

Moderate

Mid-Flood

Middle

4.3

15:55

8.42

8.23

30.85

27.61

1.19

4

<0.10

0.132

W

WSR37

20200519

Cloudy

Moderate

Mid-Flood

Surface

1

15:56

8.83

8.43

30.23

28.08

1.17

2

<0.10

0.165

SW

WSR37

20200519

Cloudy

Moderate

Mid-Flood

Surface

1

15:56

8.98

8.38

30.9

27.8

1.34

3

<0.10

0.144

SW

CE

20200521

Cloudy

Moderate

Mid-Ebb

Bottom

11.6

10:03

5.67

8.68

31.96

26.33

2.01

<2

<0.10

0.305

SE

CE

20200521

Cloudy

Moderate

Mid-Ebb

Bottom

11.6

10:03

5

8.67

32.01

26.3

1.77

<2

<0.10

0.412

SE

CE

20200521

Cloudy

Moderate

Mid-Ebb

Middle

6.3

10:04

5.87

8.71

30.75

26.88

1.52

<2

<0.10

0.391

SE

CE

20200521

Cloudy

Moderate

Mid-Ebb

Middle

6.3

10:04

6.1

8.71

30.52

26.88

2.02

<2

<0.10

0.385

E

CE

20200521

Cloudy

Moderate

Mid-Ebb

Surface

1

10:05

6.09

8.72

28.85

27.12

2.49

<2

<0.10

0.307

E

CE

20200521

Cloudy

Moderate

Mid-Ebb

Surface

1

10:05

5.75

8.72

28.89

27.12

2.85

<2

<0.10

0.327

SE

CF

20200521

Cloudy

Moderate

Mid-Ebb

Bottom

11.6

10:04

7.52

8.7

31.32

27.6

2.33

3

<0.10

0.172

SE

CF

20200521

Cloudy

Moderate

Mid-Ebb

Bottom

11.6

10:04

6.9

8.79

30.85

28.01

1.93

3

<0.10

0.145

E

CF

20200521

Cloudy

Moderate

Mid-Ebb

Middle

6.3

10:05

6.71

8.52

31.6

28.01

2.14

2

<0.10

0.178

SE

CF

20200521

Cloudy

Moderate

Mid-Ebb

Middle

6.3

10:05

6.83

8.79

30.43

27.82

2.29

3

<0.10

0.138

SE

CF

20200521

Cloudy

Moderate

Mid-Ebb

Surface

1

10:06

7.26

8.63

29.75

27.5

1.71

4

<0.10

0.197

SE

CF

20200521

Cloudy

Moderate

Mid-Ebb

Surface

1

10:06

7.22

8.69

29.86

27.89

1.9

3

<0.10

0.157

E

NF1

20200521

Cloudy

Moderate

Mid-Ebb

Bottom

4.6

10:34

6.87

8.99

30.38

28.04

0.96

2

<0.10

0.182

E

NF1

20200521

Cloudy

Moderate

Mid-Ebb

Bottom

4.6

10:34

7.26

9

30.42

28.07

0.78

2

<0.10

0.217

E

NF1

20200521

Cloudy

Moderate

Mid-Ebb

Surface

1

10:35

6.86

9

30.36

28.08

0.76

<2

<0.10

0.164

E

NF1

20200521

Cloudy

Moderate

Mid-Ebb

Surface

1

10:35

6.64

9

30.3

28.08

0.84

<2

<0.10

0.173

E

NF2

20200521

Cloudy

Moderate

Mid-Ebb

Bottom

7.6

12:22

6.67

8.97

30.48

27.84

0.53

<2

<0.10

0.155

SE

NF2

20200521

Cloudy

Moderate

Mid-Ebb

Bottom

7.6

12:22

6.38

8.85

30.59

27.81

0.49

<2

<0.10

0.169

E

NF2

20200521

Cloudy

Moderate

Mid-Ebb

Middle

4.3

12:23

7.3

8.8

30.27

27.97

0.5

2

<0.10

0.183

E

NF2

20200521

Cloudy

Moderate

Mid-Ebb

Middle

4.3

12:23

7.24

8.8

30.25

28

0.85

2

<0.10

0.15

SE


 

 

NF2

20200521

Cloudy

Moderate

Mid-Ebb

Surface

1

12:24

6.98

8.79

29.82

28.08

0.74

<2

<0.10

0.22

E

NF2

20200521

Cloudy

Moderate

Mid-Ebb

Surface

1

12:24

6.74

8.79

29.75

28.08

0.73

2

<0.10

0.155

SE

NF3

20200521

Cloudy

Moderate

Mid-Ebb

Bottom

8.1

12:42

9.75

8.82

30.57

27.85

0.78

2

<0.10

0.2

E

NF3

20200521

Cloudy

Moderate

Mid-Ebb

Bottom

8.1

12:42

9.24

8.81

30.63

27.81

1.03

3

<0.10

0.169

SE

NF3

20200521

Cloudy

Moderate

Mid-Ebb

Middle

4.55

12:43

8.79

8.81

30.26

28.07

0.41

<2

<0.10

0.179

SE

NF3

20200521

Cloudy

Moderate

Mid-Ebb

Middle

4.55

12:43

8.73

8.81

30.29

28.09

0.65

2

<0.10

0.186

SE

NF3

20200521

Cloudy

Moderate

Mid-Ebb

Surface

1

12:44

7.26

8.83

29.62

27.98

1.41

2

<0.10

0.189

E

NF3

20200521

Cloudy

Moderate

Mid-Ebb

Surface

1

12:44

6.87

8.83

29.65

27.99

1.23

<2

<0.10

0.199

SE

WSR01

20200521

Cloudy

Moderate

Mid-Ebb

Bottom

7.6

12:29

7.51

8.78

30.35

27.7

1.17

3

<0.10

0.189

E

WSR01

20200521

Cloudy

Moderate

Mid-Ebb

Bottom

7.6

12:29

7.46

8.46

31.58

27.67

1.3

<2

<0.10

0.211

SE

WSR01

20200521

Cloudy

Moderate

Mid-Ebb

Middle

4.3

12:30

7.25

8.57

29.76

28.02

1.26

<2

<0.10

0.22

SE

WSR01

20200521

Cloudy

Moderate

Mid-Ebb

Middle

4.3

12:30

7.09

8.71

30.54

27.98

1.06

3

<0.10

0.2

SE

WSR01

20200521

Cloudy

Moderate

Mid-Ebb

Surface

1

12:31

7.63

8.66

29.8

27.5

1.29

<2

<0.10

0.189

SE

WSR01

20200521

Cloudy

Moderate

Mid-Ebb

Surface

1

12:31

7.05

8.67

29.92

27.72

1.12

3

<0.10

0.16

E

WSR02

20200521

Cloudy

Moderate

Mid-Ebb

Bottom

7.7

12:51

6.7

8.67

30.85

27.7

1.92

2

<0.10

0.183

E

WSR02

20200521

Cloudy

Moderate

Mid-Ebb

Bottom

7.7

12:51

7.3

8.45

30.94

27.7

1.65

<2

<0.10

0.216

SE

WSR02

20200521

Cloudy

Moderate

Mid-Ebb

Middle

4.35

12:52

7.45

8.65

30.3

27.58

1.26

3

<0.10

0.205

SE

WSR02

20200521

Cloudy

Moderate

Mid-Ebb

Middle

4.35

12:52

7.97

8.56

30.74

27.87

1.03

2

<0.10

0.191

E

WSR02

20200521

Cloudy

Moderate

Mid-Ebb

Surface

1

12:53

6.89

8.49

30.22

27.99

1.42

2

<0.10

0.204

SE

WSR02

20200521

Cloudy

Moderate

Mid-Ebb

Surface

1

12:53

7.87

8.55

30.71

27.69

1.7

<2

<0.10

0.203

E

WSR03

20200521

Cloudy

Moderate

Mid-Ebb

Bottom

8.1

12:01

6.18

8.77

31.46

26.98

1.83

<2

<0.10

0.171

E

WSR03

20200521

Cloudy

Moderate

Mid-Ebb

Bottom

8.1

12:01

5.73

8.76

31.64

26.84

1.71

<2

<0.10

0.167

E

WSR03

20200521

Cloudy

Moderate

Mid-Ebb

Middle

4.55

12:02

6.34

8.78

30.76

27.52

0.96

<2

<0.10

0.18

SE

WSR03

20200521

Cloudy

Moderate

Mid-Ebb

Middle

4.55

12:02

6.39

8.79

30.81

27.51

0.77

<2

<0.10

0.199

E

WSR03

20200521

Cloudy

Moderate

Mid-Ebb

Surface

1

12:03

7

8.8

29.96

28.04

0.77

<2

<0.10

0.171

E

WSR03

20200521

Cloudy

Moderate

Mid-Ebb

Surface

1

12:03

6.72

8.81

29.93

28.06

0.69

<2

<0.10

0.21

SE

WSR04

20200521

Cloudy

Moderate

Mid-Ebb

Bottom

7.7

11:42

7.71

8.82

30.6

27.57

2.57

<2

<0.10

0.181

E

WSR04

20200521

Cloudy

Moderate

Mid-Ebb

Bottom

7.7

11:42

6.96

8.78

31.29

27

4.23

2

<0.10

0.191

E

WSR04

20200521

Cloudy

Moderate

Mid-Ebb

Middle

4.35

11:43

7.73

8.8

29.87

27.99

0.5

<2

<0.10

0.161

SE

WSR04

20200521

Cloudy

Moderate

Mid-Ebb

Middle

4.35

11:43

7.88

8.8

29.78

28.04

0.66

2

<0.10

0.18

SE

WSR04

20200521

Cloudy

Moderate

Mid-Ebb

Surface

1

11:44

8.18

8.82

29.29

28.04

0.93

<2

<0.10

0.175

E

WSR04

20200521

Cloudy

Moderate

Mid-Ebb

Surface

1

11:44

7.86

8.83

29.15

28.05

0.95

<2

<0.10

0.159

E

WSR16

20200521

Cloudy

Moderate

Mid-Ebb

Bottom

11.1

13:18

6.82

8.59

31.33

27.97

1.76

4

<0.10

0.208

E


 

 

WSR16

20200521

Cloudy

Moderate

Mid-Ebb

Bottom

11.1

13:18

7.92

8.49

31.21

27.53

2.38

4

<0.10

0.14

E

WSR16

20200521

Cloudy

Moderate

Mid-Ebb

Middle

6.05

13:19

7.62

8.65

30.53

27.58

1.65

2

<0.10

0.145

E

WSR16

20200521

Cloudy

Moderate

Mid-Ebb

Middle

6.05

13:19

7.95

8.79

30.15

27.53

2.2

3

<0.10

0.204

SE

WSR16

20200521

Cloudy

Moderate

Mid-Ebb

Surface

1

13:20

7.62

8.74

30.06

27.64

1.66

2

<0.10

0.167

SE

WSR16

20200521

Cloudy

Moderate

Mid-Ebb

Surface

1

13:20

6.72

8.73

30.07

27.85

1.06

3

<0.10

0.21

E

WSR33

20200521

Cloudy

Moderate

Mid-Ebb

Bottom

6.3

11:19

6.78

8.97

30.12

27.91

3.4

<2

<0.10

0.158

E

WSR33

20200521

Cloudy

Moderate

Mid-Ebb

Bottom

6.3

11:19

6.45

8.95

30.5

27.67

2.95

<2

<0.10

0.163

SE

WSR33

20200521

Cloudy

Moderate

Mid-Ebb

Middle

3.65

11:20

6.63

9.11

28.85

28.03

0.83

2

<0.10

0.192

SE

WSR33

20200521

Cloudy

Moderate

Mid-Ebb

Middle

3.65

11:20

6.54

9.17

29.32

28.03

0.81

3

<0.10

0.183

SE

WSR33

20200521

Cloudy

Moderate

Mid-Ebb

Surface

1

11:21

6.51

9.16

29.03

28.04

1

3

<0.10

0.156

E

WSR33

20200521

Cloudy

Moderate

Mid-Ebb

Surface

1

11:21

6.35

9.15

28.7

28.05

1.02

<2

<0.10

0.182

E

WSR36

20200521

Cloudy

Moderate

Mid-Ebb

Bottom

3.9

11:07

6.59

8.87

30.34

28.01

1.28

<2

<0.10

0.144

SE

WSR36

20200521

Cloudy

Moderate

Mid-Ebb

Bottom

3.9

11:07

6.59

8.86

30.26

28.04

1.9

<2

<0.10

0.173

SE

WSR36

20200521

Cloudy

Moderate

Mid-Ebb

Surface

1

11:08

6.37

8.84

29.94

28.04

1.64

<2

<0.10

0.137

SE

WSR36

20200521

Cloudy

Moderate

Mid-Ebb

Surface

1

11:08

6.13

8.84

29.85

28.05

1.85

<2

<0.10

0.173

SE

WSR37

20200521

Cloudy

Moderate

Mid-Ebb

Bottom

8.6

10:51

7.28

8.93

31.07

27.56

2.28

2

<0.10

0.199

E

WSR37

20200521

Cloudy

Moderate

Mid-Ebb

Bottom

8.6

10:51

6.22

8.77

31.62

27.07

3.22

<2

<0.10

0.138

E

WSR37

20200521

Cloudy

Moderate

Mid-Ebb

Middle

4.8

10:52

6.62

8.76

30.44

27.94

0.69

<2

<0.10

0.155

E

WSR37

20200521

Cloudy

Moderate

Mid-Ebb

Middle

4.8

10:52

6.84

8.75

30.37

27.97

0.59

<2

<0.10

0.174

SE

WSR37

20200521

Cloudy

Moderate

Mid-Ebb

Surface

1

10:53

6.45

8.76

29.92

28.04

0.7

<2

<0.10

0.221

SE

WSR37

20200521

Cloudy

Moderate

Mid-Ebb

Surface

1

10:53

5.86

8.76

29.8

28.06

0.76

<2

<0.10

0.167

E

CE

20200521

Cloudy

Moderate

Mid-Flood

Bottom

12

15:22

7.07

8.53

29.97

28.16

2.4

2

<0.10

0.176

NW

CE

20200521

Cloudy

Moderate

Mid-Flood

Bottom

12

15:22

7.16

8.75

30.71

28.21

2.47

<2

<0.10

0.165

NW

CE

20200521

Cloudy

Moderate

Mid-Flood

Middle

6.5

15:23

7.58

8.57

30.92

27.98

1.68

<2

<0.10

0.173

NW

CE

20200521

Cloudy

Moderate

Mid-Flood

Middle

6.5

15:23

8.26

8.67

30.73

28.2

1.41

2

<0.10

0.221

NW

CE

20200521

Cloudy

Moderate

Mid-Flood

Surface

1

15:24

7.51

8.63

30.79

28.15

0.99

2

<0.10

0.215

NW

CE

20200521

Cloudy

Moderate

Mid-Flood

Surface

1

15:24

7.18

8.72

30.09

27.96

1.28

3

<0.10

0.164

NW

CF

20200521

Cloudy

Moderate

Mid-Flood

Bottom

11.8

15:21

7.82

8.71

30.34

28.18

2.56

3

<0.10

0.163

W

CF

20200521

Cloudy

Moderate

Mid-Flood

Bottom

11.8

15:21

7.91

8.57

31.03

28.1

1.95

4

<0.10

0.214

NW

CF

20200521

Cloudy

Moderate

Mid-Flood

Middle

6.4

15:22

7.29

8.51

30.14

28.01

0.92

2

<0.10

0.17

W

CF

20200521

Cloudy

Moderate

Mid-Flood

Middle

6.4

15:22

7.87

8.77

30.6

27.91

1.03

<2

<0.10

0.17

W

CF

20200521

Cloudy

Moderate

Mid-Flood

Surface

1

15:23

7.25

8.62

31.27

27.95

1.25

<2

<0.10

0.172

SW

CF

20200521

Cloudy

Moderate

Mid-Flood

Surface

1

15:23

7.01

8.52

30.08

27.91

1.58

<2

<0.10

0.206

SW


 

 

NF1

20200521

Cloudy

Moderate

Mid-Flood

Bottom

9.9

16:01

7.34

8.54

30.43

28.07

1.69

3

<0.10

0.137

SW

NF1

20200521

Cloudy

Moderate

Mid-Flood

Bottom

9.9

16:01

7.71

8.53

30.63

27.9

1.58

4

<0.10

0.189

W

NF1

20200521

Cloudy

Moderate

Mid-Flood

Middle

5.45

16:02

7.68

8.54

30.58

28.01

1.28

2

<0.10

0.168

W

NF1

20200521

Cloudy

Moderate

Mid-Flood

Middle

5.45

16:02

7.18

8.57

30.89

27.91

1.08

3

<0.10

0.156

W

NF1

20200521

Cloudy

Moderate

Mid-Flood

Surface

1

16:03

7.47

8.8

29.94

28.05

1.65

3

<0.10

0.19

NW

NF1

20200521

Cloudy

Moderate

Mid-Flood

Surface

1

16:03

8.01

8.68

30.41

27.94

1.25

<2

<0.10

0.141

NW

NF2

20200521

Cloudy

Moderate

Mid-Flood

Bottom

8.5

17:37

7.46

8.76

30.77

28.03

2.2

2

<0.10

0.194

W

NF2

20200521

Cloudy

Moderate

Mid-Flood

Bottom

8.5

17:37

8.24

8.55

30.65

28.15

1.64

3

<0.10

0.186

NW

NF2

20200521

Cloudy

Moderate

Mid-Flood

Middle

4.75

17:38

6.95

8.76

31.16

28.07

1.16

4

<0.10

0.143

W

NF2

20200521

Cloudy

Moderate

Mid-Flood

Middle

4.75

17:38

7.73

8.51

30.86

28

1.14

2

<0.10

0.185

W

NF2

20200521

Cloudy

Moderate

Mid-Flood

Surface

1

17:39

7.32

8.75

31.1

28.13

1.21

4

<0.10

0.193

W

NF2

20200521

Cloudy

Moderate

Mid-Flood

Surface

1

17:39

6.88

8.65

30.13

28.18

0.97

4

<0.10

0.184

W

NF3

20200521

Cloudy

Moderate

Mid-Flood

Bottom

9.8

17:45

6.99

8.76

29.96

28.11

1.98

4

<0.10

0.128

SW

NF3

20200521

Cloudy

Moderate

Mid-Flood

Bottom

9.8

17:45

8.17

8.8

30.6

28.07

2.25

3

<0.10

0.145

SW

NF3

20200521

Cloudy

Moderate

Mid-Flood

Middle

5.4

17:46

7.24

8.76

30.71

28.05

1.48

3

<0.10

0.177

SW

NF3

20200521

Cloudy

Moderate

Mid-Flood

Middle

5.4

17:46

7.11

8.65

30.23

28.06

1.57

3

<0.10

0.165

SW

NF3

20200521

Cloudy

Moderate

Mid-Flood

Surface

1

17:47

7.05

8.79

29.93

28.21

1.17

2

<0.10

0.132

W

NF3

20200521

Cloudy

Moderate

Mid-Flood

Surface

1

17:47

7.26

8.64

30.58

28

0.88

2

<0.10

0.156

W

WSR01

20200521

Cloudy

Moderate

Mid-Flood

Bottom

7.3

18:09

7.43

8.79

29.96

27.96

2.16

3

<0.10

0.169

W

WSR01

20200521

Cloudy

Moderate

Mid-Flood

Bottom

7.3

18:09

7

8.63

30.78

27.95

1.87

<2

<0.10

0.183

W

WSR01

20200521

Cloudy

Moderate

Mid-Flood

Middle

4.15

18:10

8.22

8.67

30.17

28.07

1.46

3

<0.10

0.162

W

WSR01

20200521

Cloudy

Moderate

Mid-Flood

Middle

4.15

18:10

6.96

8.6

30.01

27.95

1.74

2

<0.10

0.161

NW

WSR01

20200521

Cloudy

Moderate

Mid-Flood

Surface

1

18:11

7.99

8.57

30.51

28

1.66

5

<0.10

0.162

W

WSR01

20200521

Cloudy

Moderate

Mid-Flood

Surface

1

18:11

8.04

8.61

30.83

27.91

1.43

4

<0.10

0.173

SW

WSR02

20200521

Cloudy

Moderate

Mid-Flood

Bottom

8.9

17:45

7.18

8.54

30.75

27.96

2.37

4

<0.10

0.128

W

WSR02

20200521

Cloudy

Moderate

Mid-Flood

Bottom

8.9

17:45

8.14

8.67

30.63

27.91

1.84

3

<0.10

0.158

W

WSR02

20200521

Cloudy

Moderate

Mid-Flood

Middle

4.95

17:46

6.95

8.63

30.21

28.03

0.99

2

<0.10

0.189

W

WSR02

20200521

Cloudy

Moderate

Mid-Flood

Middle

4.95

17:46

7.01

8.6

30.56

27.96

0.98

3

<0.10

0.166

NW

WSR02

20200521

Cloudy

Moderate

Mid-Flood

Surface

1

17:47

7.12

8.74

30.79

27.92

1.33

2

<0.10

0.159

W

WSR02

20200521

Cloudy

Moderate

Mid-Flood

Surface

1

17:47

7.61

8.71

31.17

27.97

0.94

<2

<0.10

0.161

SW

WSR03

20200521

Cloudy

Moderate

Mid-Flood

Bottom

7.1

17:19

7.52

8.59

30.46

28.05

2.23

3

<0.10

0.128

W

WSR03

20200521

Cloudy

Moderate

Mid-Flood

Bottom

7.1

17:19

8.06

8.72

30.05

27.95

2.11

3

<0.10

0.129

W

WSR03

20200521

Cloudy

Moderate

Mid-Flood

Middle

4.05

17:20

7.37

8.73

30.31

27.93

1.46

2

<0.10

0.175

W


 

 

WSR03

20200521

Cloudy

Moderate

Mid-Flood

Middle

4.05

17:20

7.3

8.58

29.89

28.2

1.11

2

<0.10

0.137

W

WSR03

20200521

Cloudy

Moderate

Mid-Flood

Surface

1

17:21

7.14

8.61

31

28.14

0.92

2

<0.10

0.162

W

WSR03

20200521

Cloudy

Moderate

Mid-Flood

Surface

1

17:21

7.95

8.74

31.17

28.21

0.97

3

<0.10

0.149

NW

WSR04

20200521

Cloudy

Moderate

Mid-Flood

Bottom

6.8

17:02

7.65

8.56

29.94

28.05

1.98

4

<0.10

0.171

W

WSR04

20200521

Cloudy

Moderate

Mid-Flood

Bottom

6.8

17:02

7.01

8.52

30.5

27.97

1.62

3

<0.10

0.164

W

WSR04

20200521

Cloudy

Moderate

Mid-Flood

Middle

3.9

17:03

7.53

8.65

30.88

28.06

1.54

3

<0.10

0.156

W

WSR04

20200521

Cloudy

Moderate

Mid-Flood

Middle

3.9

17:03

7.84

8.61

30.38

27.97

1.32

3

<0.10

0.19

SW

WSR04

20200521

Cloudy

Moderate

Mid-Flood

Surface

1

17:04

7.22

8.71

29.89

27.96

1.63

2

<0.10

0.183

W

WSR04

20200521

Cloudy

Moderate

Mid-Flood

Surface

1

17:04

7.89

8.77

31.03

27.95

1.62

2

<0.10

0.177

SW

WSR16

20200521

Cloudy

Moderate

Mid-Flood

Bottom

10.8

15:41

7.32

8.58

30.47

28.07

2.06

4

<0.10

0.164

NW

WSR16

20200521

Cloudy

Moderate

Mid-Flood

Bottom

10.8

15:41

7.25

8.51

30.04

28.17

1.86

3

<0.10

0.181

NW

WSR16

20200521

Cloudy

Moderate

Mid-Flood

Middle

5.9

15:42

7.46

8.62

31.19

28.11

1.39

3

<0.10

0.222

N

WSR16

20200521

Cloudy

Moderate

Mid-Flood

Middle

5.9

15:42

7.33

8.8

30.07

28.04

1.4

3

<0.10

0.184

NW

WSR16

20200521

Cloudy

Moderate

Mid-Flood

Surface

1

15:43

7.7

8.74

30.16

28.15

1.05

4

<0.10

0.199

NW

WSR16

20200521

Cloudy

Moderate

Mid-Flood

Surface

1

15:43

8.09

8.54

30.06

28.21

1.62

2

<0.10

0.217

NW

WSR33

20200521

Cloudy

Moderate

Mid-Flood

Bottom

6.5

16:44

7.64

8.53

30.35

28.19

2.41

<2

<0.10

0.167

W

WSR33

20200521

Cloudy

Moderate

Mid-Flood

Bottom

6.5

16:44

8.23

8.63

30

27.92

1.95

2

<0.10

0.174

NW

WSR33

20200521

Cloudy

Moderate

Mid-Flood

Middle

3.75

16:45

7.14

8.63

31.26

27.92

1.58

3

<0.10

0.193

W

WSR33

20200521

Cloudy

Moderate

Mid-Flood

Middle

3.75

16:45

8.25

8.51

30.59

28.15

1.75

4

<0.10

0.152

W

WSR33

20200521

Cloudy

Moderate

Mid-Flood

Surface

1

16:46

7.54

8.7

30.94

28.07

1.4

3

<0.10

0.13

W

WSR33

20200521

Cloudy

Moderate

Mid-Flood

Surface

1

16:46

8.09

8.78

30.61

28.17

1.48

4

<0.10

0.154

W

WSR36

20200521

Cloudy

Moderate

Mid-Flood

Bottom

3.7

16:30

7.68

8.79

30.64

27.97

1.88

2

<0.10

0.167

SW

WSR36

20200521

Cloudy

Moderate

Mid-Flood

Bottom

3.7

16:30

7.12

8.51

30.99

28.13

1.67

<2

<0.10

0.155

NW

WSR36

20200521

Cloudy

Moderate

Mid-Flood

Surface

1

16:31

6.89

8.63

29.9

28.17

0.82

<2

<0.10

0.159

W

WSR36

20200521

Cloudy

Moderate

Mid-Flood

Surface

1

16:31

7.48

8.52

30.12

28.21

1.65

<2

<0.10

0.148

W

WSR37

20200521

Cloudy

Moderate

Mid-Flood

Bottom

7.4

16:13

7.21

8.68

31.26

27.93

2.38

3

<0.10

0.13

SW

WSR37

20200521

Cloudy

Moderate

Mid-Flood

Bottom

7.4

16:13

7.27

8.59

31.01

28.21

2.21

2

<0.10

0.167

W

WSR37

20200521

Cloudy

Moderate

Mid-Flood

Middle

4.2

16:14

7.45

8.61

30.76

27.98

1.76

<2

<0.10

0.145

NW

WSR37

20200521

Cloudy

Moderate

Mid-Flood

Middle

4.2

16:14

7.34

8.62

30.58

28.04

1.4

3

<0.10

0.166

W

WSR37

20200521

Cloudy

Moderate

Mid-Flood

Surface

1

16:15

7.44

8.8

30.72

27.97

1.06

4

<0.10

0.14

W

WSR37

20200521

Cloudy

Moderate

Mid-Flood

Surface

1

16:15

6.96

8.56

30.03

28.04

1.08

3

<0.10

0.14

W

CE

20200523

Cloudy

Moderate

Mid-Ebb

Bottom

12

11:00

8.43

8.22

30.81

27.23

1.62

3

<0.10

0.286

SE

CE

20200523

Cloudy

Moderate

Mid-Ebb

Bottom

12

11:00

8.79

8.18

31.2

26.63

1.6

4

<0.10

0.42

SE


 

 

CE

20200523

Cloudy

Moderate

Mid-Ebb

Middle

6.5

11:01

9.34

8.2

31

26.76

1.5

2

<0.10

0.428

SE

CE

20200523

Cloudy

Moderate

Mid-Ebb

Middle

6.5

11:01

8.33

8.06

31.52

27.03

1.32

3

<0.10

0.343

SE

CE

20200523

Cloudy

Moderate

Mid-Ebb

Surface

1

11:02

8.13

8.27

30.99

27.14

1.37

<2

<0.10

0.309

E

CE

20200523

Cloudy

Moderate

Mid-Ebb

Surface

1

11:02

8.03

8.08

30.83

26.93

0.98

<2

<0.10

0.317

E

CF

20200523

Cloudy

Moderate

Mid-Ebb

Bottom

11.7

11:01

8.44

8.17

31.25

26.84

2.01

<2

<0.10

0.154

E

CF

20200523

Cloudy

Moderate

Mid-Ebb

Bottom

11.7

11:01

9.05

8.02

30.92

26.79

1.59

<2

<0.10

0.167

E

CF

20200523

Cloudy

Moderate

Mid-Ebb

Middle

6.35

11:02

8.71

8.24

31.5

27.15

1.09

<2

<0.10

0.167

SE

CF

20200523

Cloudy

Moderate

Mid-Ebb

Middle

6.35

11:02

9.44

8.17

31.58

26.82

1.3

<2

<0.10

0.142

SE

CF

20200523

Cloudy

Moderate

Mid-Ebb

Surface

1

11:03

9.3

8.14

31.63

27.1

1.36

2

<0.10

0.163

SE

CF

20200523

Cloudy

Moderate

Mid-Ebb

Surface

1

11:03

9.08

8.04

30.85

26.96

1.22

2

<0.10

0.212

SE

NF1

20200523

Cloudy

Moderate

Mid-Ebb

Bottom

10.9

11:43

9.32

8.03

31.21

26.6

1.7

6

<0.10

0.159

SE

NF1

20200523

Cloudy

Moderate

Mid-Ebb

Bottom

10.9

11:43

8.8

8.02

30.81

26.84

1.84

7

<0.10

0.135

E

NF1

20200523

Cloudy

Moderate

Mid-Ebb

Middle

5.95

11:44

9.49

8.09

31.32

26.53

1.45

4

<0.10

0.218

SE

NF1

20200523

Cloudy

Moderate

Mid-Ebb

Middle

5.95

11:44

7.98

8.16

31.06

26.7

1.5

5

<0.10

0.159

SE

NF1

20200523

Cloudy

Moderate

Mid-Ebb

Surface

1

11:45

9.22

8.02

30.87

26.62

1.21

4

<0.10

0.214

SE

NF1

20200523

Cloudy

Moderate

Mid-Ebb

Surface

1

11:45

8.47

8.18

31.28

27.14

1.14

4

<0.10

0.175

SE

NF2

20200523

Cloudy

Moderate

Mid-Ebb

Bottom

8.7

13:20

7.95

8.18

30.8

27.05

1.7

2

<0.10

0.204

E

NF2

20200523

Cloudy

Moderate

Mid-Ebb

Bottom

8.7

13:20

8.06

8.18

31.44

27.21

1.63

2

<0.10

0.169

SE

NF2

20200523

Cloudy

Moderate

Mid-Ebb

Middle

4.85

13:21

8.77

8.25

31.59

26.92

1.26

3

<0.10

0.136

SE

NF2

20200523

Cloudy

Moderate

Mid-Ebb

Middle

4.85

13:21

7.83

8.18

30.79

26.95

1.21

4

<0.10

0.152

SE

NF2

20200523

Cloudy

Moderate

Mid-Ebb

Surface

1

13:22

9.11

8.09

31.58

26.87

1.21

3

<0.10

0.169

SE

NF2

20200523

Cloudy

Moderate

Mid-Ebb

Surface

1

13:22

8.77

8.17

31.51

26.97

1.07

4

<0.10

0.212

E

NF3

20200523

Cloudy

Moderate

Mid-Ebb

Bottom

10.3

13:28

7.89

8.14

31.46

27.1

1.71

5

<0.10

0.174

E

NF3

20200523

Cloudy

Moderate

Mid-Ebb

Bottom

10.3

13:28

8.69

8.31

31.6

26.86

1.64

5

<0.10

0.151

SE

NF3

20200523

Cloudy

Moderate

Mid-Ebb

Middle

5.65

13:29

7.63

8.06

30.94

27.02

1.5

5

<0.10

0.162

E

NF3

20200523

Cloudy

Moderate

Mid-Ebb

Middle

5.65

13:29

8.69

8.23

30.97

27.06

1.11

4

<0.10

0.215

E

NF3

20200523

Cloudy

Moderate

Mid-Ebb

Surface

1

13:30

9.1

8.1

30.94

26.83

1.22

2

<0.10

0.188

SE

NF3

20200523

Cloudy

Moderate

Mid-Ebb

Surface

1

13:30

8.51

8.3

30.88

27.12

1.39

3

<0.10

0.145

E

WSR01

20200523

Cloudy

Moderate

Mid-Ebb

Bottom

7.5

13:49

7.99

8.2

31.48

27.01

1.88

2

<0.10

0.219

SE

WSR01

20200523

Cloudy

Moderate

Mid-Ebb

Bottom

7.5

13:49

9.01

8.24

31.05

26.91

2.01

3

<0.10

0.175

SE

WSR01

20200523

Cloudy

Moderate

Mid-Ebb

Middle

4.25

13:50

8.86

8.2

30.83

27.08

1.06

3

<0.10

0.178

E

WSR01

20200523

Cloudy

Moderate

Mid-Ebb

Middle

4.25

13:50

7.61

8.15

31.67

27.05

1.05

2

<0.10

0.159

SE

WSR01

20200523

Cloudy

Moderate

Mid-Ebb

Surface

1

13:51

8.51

8.02

31.28

26.73

0.97

<2

<0.10

0.172

E


 

 

WSR01

20200523

Cloudy

Moderate

Mid-Ebb

Surface

1

13:51

8.49

8.15

30.79

26.66

1

<2

<0.10

0.138

SE

WSR02

20200523

Cloudy

Moderate

Mid-Ebb

Bottom

8

13:26

8.18

8.08

31.02

26.7

1.82

<2

<0.10

0.204

E

WSR02

20200523

Cloudy

Moderate

Mid-Ebb

Bottom

8

13:26

8.13

8.06

31.63

26.83

1.61

<2

<0.10

0.172

SE

WSR02

20200523

Cloudy

Moderate

Mid-Ebb

Middle

4.5

13:27

8.7

8.03

31.68

27

1.46

<2

<0.10

0.14

SE

WSR02

20200523

Cloudy

Moderate

Mid-Ebb

Middle

4.5

13:27

7.81

8.07

31.38

26.56

1.36

<2

<0.10

0.146

E

WSR02

20200523

Cloudy

Moderate

Mid-Ebb

Surface

1

13:28

7.77

8.07

31.48

26.61

1.37

<2

<0.10

0.196

SE

WSR02

20200523

Cloudy

Moderate

Mid-Ebb

Surface

1

13:28

8.41

8.07

31.41

26.93

0.99

<2

<0.10

0.17

SE

WSR03

20200523

Cloudy

Moderate

Mid-Ebb

Bottom

7.5

13:02

8.68

8.14

31.17

27.2

1.86

<2

<0.10

0.18

E

WSR03

20200523

Cloudy

Moderate

Mid-Ebb

Bottom

7.5

13:02

8.47

8.19

31.16

26.66

1.57

<2

<0.10

0.145

E

WSR03

20200523

Cloudy

Moderate

Mid-Ebb

Middle

4.25

13:03

8.69

8.21

31.63

26.54

1.38

3

<0.10

0.196

SE

WSR03

20200523

Cloudy

Moderate

Mid-Ebb

Middle

4.25

13:03

8.1

8.1

30.79

26.76

1.36

3

<0.10

0.205

SE

WSR03

20200523

Cloudy

Moderate

Mid-Ebb

Surface

1

13:04

9.3

8.15

31.46

26.85

1.33

4

<0.10

0.201

SE

WSR03

20200523

Cloudy

Moderate

Mid-Ebb

Surface

1

13:04

8.87

8.2

30.99

26.89

1.26

4

<0.10

0.196

E

WSR04

20200523

Cloudy

Moderate

Mid-Ebb

Bottom

5.9

12:45

9.08

8.27

31.45

26.86

1.78

4

<0.10

0.132

SE

WSR04

20200523

Cloudy

Moderate

Mid-Ebb

Bottom

5.9

12:45

9.13

8.03

31.09

26.6

1.95

3

<0.10

0.218

E

WSR04

20200523

Cloudy

Moderate

Mid-Ebb

Middle

3.45

12:46

8

8.01

31.37

26.73

1.43

3

<0.10

0.191

SE

WSR04

20200523

Cloudy

Moderate

Mid-Ebb

Middle

3.45

12:46

9.13

8.07

31.67

26.67

1.17

2

<0.10

0.142

E

WSR04

20200523

Cloudy

Moderate

Mid-Ebb

Surface

1

12:47

8.69

8.17

30.89

26.9

1.13

2

<0.10

0.176

E

WSR04

20200523

Cloudy

Moderate

Mid-Ebb

Surface

1

12:47

7.6

8.14

30.77

26.62

1.14

3

<0.10

0.153

SE

WSR16

20200523

Cloudy

Moderate

Mid-Ebb

Bottom

11.1

11:22

7.94

8.14

31.65

27.09

1.77

2

<0.10

0.196

E

WSR16

20200523

Cloudy

Moderate

Mid-Ebb

Bottom

11.1

11:22

8.68

8.14

31.68

26.54

1.79

3

<0.10

0.177

E

WSR16

20200523

Cloudy

Moderate

Mid-Ebb

Middle

6.05

11:23

7.79

8.16

31.08

27.04

1.2

2

<0.10

0.217

E

WSR16

20200523

Cloudy

Moderate

Mid-Ebb

Middle

6.05

11:23

8.65

8.23

31.05

26.89

1.41

3

<0.10

0.167

E

WSR16

20200523

Cloudy

Moderate

Mid-Ebb

Surface

1

11:24

8.98

8.26

30.9

26.64

1.42

<2

<0.10

0.163

SE

WSR16

20200523

Cloudy

Moderate

Mid-Ebb

Surface

1

11:24

8.13

8.09

31.03

27.2

1.44

<2

<0.10

0.212

E

WSR33

20200523

Cloudy

Moderate

Mid-Ebb

Bottom

6.2

12:27

7.57

8.31

31.46

27.23

1.73

4

<0.10

0.137

SE

WSR33

20200523

Cloudy

Moderate

Mid-Ebb

Bottom

6.2

12:27

8.82

8.31

31.54

26.92

1.96

5

<0.10

0.181

E

WSR33

20200523

Cloudy

Moderate

Mid-Ebb

Middle

3.6

12:28

9.42

8.28

30.98

26.87

1.35

3

<0.10

0.15

E

WSR33

20200523

Cloudy

Moderate

Mid-Ebb

Middle

3.6

12:28

7.72

8.05

31.44

26.83

1.41

3

<0.10

0.158

E

WSR33

20200523

Cloudy

Moderate

Mid-Ebb

Surface

1

12:29

8.4

8.03

31.54

26.64

1.29

2

<0.10

0.221

E

WSR33

20200523

Cloudy

Moderate

Mid-Ebb

Surface

1

12:29

8.49

8.08

31.02

26.87

1.12

2

<0.10

0.171

E

WSR36

20200523

Cloudy

Moderate

Mid-Ebb

Bottom

4.5

12:15

7.87

8.09

31.68

27.06

1.94

2

<0.10

0.151

E

WSR36

20200523

Cloudy

Moderate

Mid-Ebb

Bottom

4.5

12:15

8.36

8.08

31.45

26.87

1.98

3

<0.10

0.143

E


 

 

WSR36

20200523

Cloudy

Moderate

Mid-Ebb

Surface

1

12:16

8.12

8.05

31.5

26.88

1.06

5

<0.10

0.158

SE

WSR36

20200523

Cloudy

Moderate

Mid-Ebb

Surface

1

12:16

8.63

8.08

31.12

26.62

1.28

4

<0.10

0.186

SE

WSR37

20200523

Cloudy

Moderate

Mid-Ebb

Bottom

6.7

11:57

8.25

8.05

31.12

27.01

1.91

3

<0.10

0.216

SE

WSR37

20200523

Cloudy

Moderate

Mid-Ebb

Bottom

6.7

11:57

8.15

8.12

31.55

26.55

1.97

4

<0.10

0.19

SE

WSR37

20200523

Cloudy

Moderate

Mid-Ebb

Middle

3.85

11:58

9.03

8.2

31.31

27.07

1.16

3

<0.10

0.151

SE

WSR37

20200523

Cloudy

Moderate

Mid-Ebb

Middle

3.85

11:58

8.88

8.04

30.84

26.59

1.32

3

<0.10

0.174

E

WSR37

20200523

Cloudy

Moderate

Mid-Ebb

Surface

1

11:59

8.92

8.29

31.6

26.99

1.41

2

<0.10

0.204

E

WSR37

20200523

Cloudy

Moderate

Mid-Ebb

Surface

1

11:59

8.7

8.06

30.95

26.73

1.02

2

<0.10

0.172

E

CE

20200523

Cloudy

Moderate

Mid-Flood

Bottom

12

16:21

8.43

8.02

31.79

26.85

1.98

4

<0.10

0.178

N

CE

20200523

Cloudy

Moderate

Mid-Flood

Bottom

12

16:21

8.21

8.18

31.16

26.74

1.51

4

<0.10

0.225

N

CE

20200523

Cloudy

Moderate

Mid-Flood

Middle

6.5

16:22

8.86

8.12

31.33

26.56

0.82

3

<0.10

0.18

NW

CE

20200523

Cloudy

Moderate

Mid-Flood

Middle

6.5

16:22

7.75

8.24

31.86

26.74

0.92

4

<0.10

0.168

NW

CE

20200523

Cloudy

Moderate

Mid-Flood

Surface

1

16:23

9.62

8.13

31.87

26.83

0.89

3

<0.10

0.192

NW

CE

20200523

Cloudy

Moderate

Mid-Flood

Surface

1

16:23

8.98

8.04

31.34

26.54

0.74

3

<0.10

0.173

NW

CF

20200523

Cloudy

Moderate

Mid-Flood

Bottom

11.6

16:20

8.54

8.11

31.09

26.88

1.66

2

<0.10

0.233

SW

CF

20200523

Cloudy

Moderate

Mid-Flood

Bottom

11.6

16:20

7.98

8.15

31.8

26.44

1.46

3

<0.10

0.168

W

CF

20200523

Cloudy

Moderate

Mid-Flood

Middle

6.3

16:21

8.95

8.12

31.35

26.41

1.16

2

<0.10

0.191

W

CF

20200523

Cloudy

Moderate

Mid-Flood

Middle

6.3

16:21

8.57

8.12

31.86

26.66

1.1

2

<0.10

0.209

W

CF

20200523

Cloudy

Moderate

Mid-Flood

Surface

1

16:22

7.59

8.2

31.76

26.38

0.98

2

<0.10

0.206

W

CF

20200523

Cloudy

Moderate

Mid-Flood

Surface

1

16:22

7.59

8.11

31.1

26.49

1.32

2

<0.10

0.205

W

NF1

20200523

Cloudy

Moderate

Mid-Flood

Bottom

10.4

17:04

9.54

8.09

31.1

26.57

1.37

3

<0.10

0.193

SW

NF1

20200523

Cloudy

Moderate

Mid-Flood

Bottom

10.4

17:04

8.15

8.03

31.45

26.7

1.86

2

<0.10

0.139

W

NF1

20200523

Cloudy

Moderate

Mid-Flood

Middle

5.7

17:05

9.08

8.1

31.73

26.45

1.09

3

<0.10

0.147

W

NF1

20200523

Cloudy

Moderate

Mid-Flood

Middle

5.7

17:05

8.93

8.02

31.14

26.29

1.27

4

<0.10

0.183

SW

NF1

20200523

Cloudy

Moderate

Mid-Flood

Surface

1

17:06

9.26

8.1

31.63

26.87

0.99

5

<0.10

0.163

SW

NF1

20200523

Cloudy

Moderate

Mid-Flood

Surface

1

17:06

8.96

8.23

31.36

26.67

1.23

4

<0.10

0.14

W

NF2

20200523

Cloudy

Moderate

Mid-Flood

Bottom

8.1

18:40

8.27

8.13

31.67

26.95

1.51

3

<0.10

0.169

SW

NF2

20200523

Cloudy

Moderate

Mid-Flood

Bottom

8.1

18:40

8.64

8.01

31.4

26.4

1.46

3

<0.10

0.152

W

NF2

20200523

Cloudy

Moderate

Mid-Flood

Middle

4.55

18:41

9.4

8.18

31.27

26.83

1.34

3

<0.10

0.16

W

NF2

20200523

Cloudy

Moderate

Mid-Flood

Middle

4.55

18:41

8.27

8.19

31.16

26.57

1.11

2

<0.10

0.148

W

NF2

20200523

Cloudy

Moderate

Mid-Flood

Surface

1

18:42

8.73

8.18

31.49

26.75

1.28

3

<0.10

0.139

SW

NF2

20200523

Cloudy

Moderate

Mid-Flood

Surface

1

18:42

7.84

8.19

31.78

26.85

1.35

2

<0.10

0.143

NW

NF3

20200523

Cloudy

Moderate

Mid-Flood

Bottom

9.8

18:50

9.55

8.1

31.83

26.56

2

3

<0.10

0.188

W


 

 

NF3

20200523

Cloudy

Moderate

Mid-Flood

Bottom

9.8

18:50

7.5

8.04

31.42

26.36

1.54

4

<0.10

0.128

W

NF3

20200523

Cloudy

Moderate

Mid-Flood

Middle

5.4

18:51

9.1

8.02

31.71

26.82

1.03

2

<0.10

0.175

W

NF3

20200523

Cloudy

Moderate

Mid-Flood

Middle

5.4

18:51

8.88

8.14

31.73

26.5

0.85

3

<0.10

0.168

W

NF3

20200523

Cloudy

Moderate

Mid-Flood

Surface

1

18:52

7.52

8.05

31.54

26.23

1.05

<2

<0.10

0.165

SW

NF3

20200523

Cloudy

Moderate

Mid-Flood

Surface

1

18:52

8.97

8.12

31.27

26.23

1.02

<2

<0.10

0.137

W

WSR01

20200523

Cloudy

Moderate

Mid-Flood

Bottom

8.4

18:51

9.17

8.02

31.41

26.85

1.49

2

<0.10

0.128

SW

WSR01

20200523

Cloudy

Moderate

Mid-Flood

Bottom

8.4

18:51

9.07

8.08

31.3

26.47

1.91

2

<0.10

0.129

SW

WSR01

20200523

Cloudy

Moderate

Mid-Flood

Middle

4.7

18:52

8.77

8.04

31.43

26.23

1.24

2

<0.10

0.195

NW

WSR01

20200523

Cloudy

Moderate

Mid-Flood

Middle

4.7

18:52

9.07

8.06

31.56

26.34

1.31

3

<0.10

0.184

NW

WSR01

20200523

Cloudy

Moderate

Mid-Flood

Surface

1

18:53

8.96

8.21

31.8

26.48

1.16

3

<0.10

0.146

SW

WSR01

20200523

Cloudy

Moderate

Mid-Flood

Surface

1

18:53

9.23

8.11

31.9

26.78

1.09

4

<0.10

0.145

W

WSR02

20200523

Cloudy

Moderate

Mid-Flood

Bottom

8.6

18:27

9.39

8.1

31.9

26.86

1.84

<2

<0.10

0.129

W

WSR02

20200523

Cloudy

Moderate

Mid-Flood

Bottom

8.6

18:27

7.69

8.21

31.77

26.64

1.58

<2

<0.10

0.158

W

WSR02

20200523

Cloudy

Moderate

Mid-Flood

Middle

4.8

18:28

8.32

8.08

31.48

26.8

0.97

2

<0.10

0.174

W

WSR02

20200523

Cloudy

Moderate

Mid-Flood

Middle

4.8

18:28

8.5

8.22

31.24

26.7

1.07

2

<0.10

0.159

NW

WSR02

20200523

Cloudy

Moderate

Mid-Flood

Surface

1

18:29

9.15

8.05

31.52

26.24

1.29

3

<0.10

0.129

NW

WSR02

20200523

Cloudy

Moderate

Mid-Flood

Surface

1

18:29

8.87

8.04

31.75

26.96

1.2

4

<0.10

0.166

SW

WSR03

20200523

Cloudy

Moderate

Mid-Flood

Bottom

6.7

18:24

9.39

8.12

31.26

26.34

1.38

2

<0.10

0.19

NW

WSR03

20200523

Cloudy

Moderate

Mid-Flood

Bottom

6.7

18:24

8.45

8.25

31.16

26.8

1.81

2

<0.10

0.137

W

WSR03

20200523

Cloudy

Moderate

Mid-Flood

Middle

3.85

18:25

8.73

8.2

31.51

26.68

1.37

<2

<0.10

0.192

W

WSR03

20200523

Cloudy

Moderate

Mid-Flood

Middle

3.85

18:25

8.85

8.1

31.13

26.63

0.86

<2

<0.10

0.178

NW

WSR03

20200523

Cloudy

Moderate

Mid-Flood

Surface

1

18:26

8.47

8.06

31.37

26.28

1.01

<2

<0.10

0.131

SW

WSR03

20200523

Cloudy

Moderate

Mid-Flood

Surface

1

18:26

9.48

8.25

31.18

26.44

0.92

<2

<0.10

0.168

NW

WSR04

20200523

Cloudy

Moderate

Mid-Flood

Bottom

6

18:07

7.61

8.22

31.51

26.38

1.34

4

<0.10

0.13

SW

WSR04

20200523

Cloudy

Moderate

Mid-Flood

Bottom

6

18:07

7.96

8.25

31.54

26.49

1.46

3

<0.10

0.145

NW

WSR04

20200523

Cloudy

Moderate

Mid-Flood

Middle

3.5

18:08

9.64

8.1

31.88

26.48

1.17

2

<0.10

0.145

W

WSR04

20200523

Cloudy

Moderate

Mid-Flood

Middle

3.5

18:08

9.19

8.01

31.56

26.98

1.27

3

<0.10

0.132

SW

WSR04

20200523

Cloudy

Moderate

Mid-Flood

Surface

1

18:09

7.64

8.19

31.67

26.41

0.91

<2

<0.10

0.16

W

WSR04

20200523

Cloudy

Moderate

Mid-Flood

Surface

1

18:09

9.41

8.24

31.09

26.47

0.79

<2

<0.10

0.154

W

WSR16

20200523

Cloudy

Moderate

Mid-Flood

Bottom

11.6

16:42

7.78

8.02

31.39

26.66

1.86

2

<0.10

0.211

N

WSR16

20200523

Cloudy

Moderate

Mid-Flood

Bottom

11.6

16:42

9.26

8.13

31.66

26.44

1.67

3

<0.10

0.206

NW

WSR16

20200523

Cloudy

Moderate

Mid-Flood

Middle

6.3

16:43

9.2

8.06

31.73

26.94

1.16

2

<0.10

0.217

NW

WSR16

20200523

Cloudy

Moderate

Mid-Flood

Middle

6.3

16:43

8.3

8.11

31.57

26.88

1.34

3

<0.10

0.208

N


 

 

WSR16

20200523

Cloudy

Moderate

Mid-Flood

Surface

1

16:44

7.79

8.13

31.47

26.73

1.38

2

<0.10

0.17

NW

WSR16

20200523

Cloudy

Moderate

Mid-Flood

Surface

1

16:44

8.79

8.18

31.75

26.34

1.01

3

<0.10

0.19

NW

WSR33

20200523

Cloudy

Moderate

Mid-Flood

Bottom

6

17:49

9.24

8.18

31.39

26.8

1.58

<2

<0.10

0.189

SW

WSR33

20200523

Cloudy

Moderate

Mid-Flood

Bottom

6

17:49

8.57

8.02

31.76

26.27

1.52

<2

<0.10

0.146

NW

WSR33

20200523

Cloudy

Moderate

Mid-Flood

Middle

3.5

17:50

8.13

8.03

31.72

26.69

0.77

2

<0.10

0.145

SW

WSR33

20200523

Cloudy

Moderate

Mid-Flood

Middle

3.5

17:50

9.02

8.09

31.36

26.94

1.26

2

<0.10

0.147

W

WSR33

20200523

Cloudy

Moderate

Mid-Flood

Surface

1

17:51

8.42

8.2

31.22

26.83

0.91

3

<0.10

0.146

NW

WSR33

20200523

Cloudy

Moderate

Mid-Flood

Surface

1

17:51

9.62

8.13

31.26

26.79

1.11

3

<0.10

0.177

W

WSR36

20200523

Cloudy

Moderate

Mid-Flood

Bottom

4.1

17:36

8.5

8.19

31.9

26.59

1.45

5

<0.10

0.165

W

WSR36

20200523

Cloudy

Moderate

Mid-Flood

Bottom

4.1

17:36

8.16

8.22

31.75

26.77

1.55

4

<0.10

0.178

SW

WSR36

20200523

Cloudy

Moderate

Mid-Flood

Surface

1

17:37

7.83

8.1

31.38

26.35

0.92

3

<0.10

0.174

W

WSR36

20200523

Cloudy

Moderate

Mid-Flood

Surface

1

17:37

9.16

8.03

31.14

26.33

1.32

3

<0.10

0.154

W

WSR37

20200523

Cloudy

Moderate

Mid-Flood

Bottom

7.5

17:17

8.82

8.04

31.65

26.54

1.6

5

<0.10

0.183

W

WSR37

20200523

Cloudy

Moderate

Mid-Flood

Bottom

7.5

17:17

9.25

8.02

31.26

26.36

1.37

5

<0.10

0.135

W

WSR37

20200523

Cloudy

Moderate

Mid-Flood

Middle

4.25

17:18

8.52

8.18

31.41

26.33

1.35

4

<0.10

0.132

W

WSR37

20200523

Cloudy

Moderate

Mid-Flood

Middle

4.25

17:18

7.89

8.04

31.78

26.44

1.06

5

<0.10

0.16

W

WSR37

20200523

Cloudy

Moderate

Mid-Flood

Surface

1

17:19

8.36

8.1

31.3

26.53

0.71

3

<0.10

0.143

SW

WSR37

20200523

Cloudy

Moderate

Mid-Flood

Surface

1

17:19

9.1

8.22

31.16

26.43

0.99

4

<0.10

0.131

W

CE

20200526

Cloudy

Moderate

Mid-Flood

Bottom

11.4

8:02

8.38

8.24

31.63

27.36

1.98

<2

<0.10

0.17

NW

CE

20200526

Cloudy

Moderate

Mid-Flood

Bottom

11.4

8:02

7.87

8.19

31.55

27.77

1.74

<2

<0.10

0.182

NW

CE

20200526

Cloudy

Moderate

Mid-Flood

Middle

6.2

8:03

7.34

8.11

32.28

27.32

1.37

2

<0.10

0.222

NW

CE

20200526

Cloudy

Moderate

Mid-Flood

Middle

6.2

8:03

8.48

8.21

31.58

27.53

1.36

2

<0.10

0.159

NW

CE

20200526

Cloudy

Moderate

Mid-Flood

Surface

1

8:04

8.57

8.04

31.22

27.44

1.32

<2

<0.10

0.206

NW

CE

20200526

Cloudy

Moderate

Mid-Flood

Surface

1

8:04

8.41

8.23

31.28

27.78

1.26

<2

<0.10

0.209

NW

CF

20200526

Cloudy

Moderate

Mid-Flood

Bottom

11.4

8:00

8.27

8.12

31.96

27.47

1.88

<2

<0.10

0.215

W

CF

20200526

Cloudy

Moderate

Mid-Flood

Bottom

11.4

8:00

8.06

8.1

31.39

27.79

2

<2

<0.10

0.214

W

CF

20200526

Cloudy

Moderate

Mid-Flood

Middle

6.2

8:01

8.82

8.14

31.95

27.63

1.38

<2

<0.10

0.237

W

CF

20200526

Cloudy

Moderate

Mid-Flood

Middle

6.2

8:01

8.18

8.12

31.18

27.55

1.19

<2

<0.10

0.245

SW

CF

20200526

Cloudy

Moderate

Mid-Flood

Surface

1

8:02

8.15

8.28

31.12

27.54

1.12

<2

<0.10

0.221

W

CF

20200526

Cloudy

Moderate

Mid-Flood

Surface

1

8:02

7.93

8.17

32.05

27.53

1.26

<2

<0.10

0.219

W

NF1

20200526

Cloudy

Moderate

Mid-Flood

Bottom

10.7

8:43

8.45

8.1

31.95

27.66

1.94

<2

<0.10

0.181

W

NF1

20200526

Cloudy

Moderate

Mid-Flood

Bottom

10.7

8:43

8.99

8.22

31.8

27.51

1.96

<2

<0.10

0.137

W

NF1

20200526

Cloudy

Moderate

Mid-Flood

Middle

5.85

8:44

7.63

8.24

31.7

27.5

1.2

<2

<0.10

0.15

NW


 

 

NF1

20200526

Cloudy

Moderate

Mid-Flood

Middle

5.85

8:44

7.35

8.26

32.2

27.36

1.3

<2

<0.10

0.184

W

NF1

20200526

Cloudy

Moderate

Mid-Flood

Surface

1

8:45

8.36

8.06

32.26

27.71

1.22

<2

<0.10

0.179

NW

NF1

20200526

Cloudy

Moderate

Mid-Flood

Surface

1

8:45

8.6

8.17

31.38

27.3

1.14

<2

<0.10

0.151

W

NF2

20200526

Cloudy

Moderate

Mid-Flood

Bottom

9.4

10:18

8.43

8.15

32.28

27.4

1.79

<2

<0.10

0.128

W

NF2

20200526

Cloudy

Moderate

Mid-Flood

Bottom

9.4

10:18

7.66

8.07

31.8

27.58

1.68

<2

<0.10

0.148

NW

NF2

20200526

Cloudy

Moderate

Mid-Flood

Middle

5.2

10:19

8.05

8.1

31.63

27.57

1.3

<2

<0.10

0.166

W

NF2

20200526

Cloudy

Moderate

Mid-Flood

Middle

5.2

10:19

7.34

8.17

31.28

27.79

1.24

<2

<0.10

0.161

W

NF2

20200526

Cloudy

Moderate

Mid-Flood

Surface

1

10:20

8.16

8.11

31.67

27.46

1.44

<2

<0.10

0.148

W

NF2

20200526

Cloudy

Moderate

Mid-Flood

Surface

1

10:20

7.7

8.17

31.92

27.46

1.31

<2

<0.10

0.169

W

NF3

20200526

Cloudy

Moderate

Mid-Flood

Bottom

9.8

10:26

8.92

8.12

32.2

27.81

1.86

<2

<0.10

0.194

W

NF3

20200526

Cloudy

Moderate

Mid-Flood

Bottom

9.8

10:26

7.53

8.03

31.54

27.38

1.83

<2

<0.10

0.179

SW

NF3

20200526

Cloudy

Moderate

Mid-Flood

Middle

5.4

10:27

8.71

8.03

31.25

27.68

1.32

<2

<0.10

0.157

W

NF3

20200526

Cloudy

Moderate

Mid-Flood

Middle

5.4

10:27

9.03

8.04

31.51

27.67

1.38

<2

<0.10

0.128

NW

NF3

20200526

Cloudy

Moderate

Mid-Flood

Surface

1

10:28

8.34

8.09

31.33

27.54

1.25

<2

<0.10

0.162

W

NF3

20200526

Cloudy

Moderate

Mid-Flood

Surface

1

10:28

7.47

8.05

32.21

27.31

1.12

<2

<0.10

0.13

W

WSR01

20200526

Cloudy

Moderate

Mid-Flood

Bottom

8.5

10:53

8.52

8.12

32.07

27.46

2.02

<2

<0.10

0.165

W

WSR01

20200526

Cloudy

Moderate

Mid-Flood

Bottom

8.5

10:53

7.38

8.25

31.73

27.33

1.83

<2

<0.10

0.143

W

WSR01

20200526

Cloudy

Moderate

Mid-Flood

Middle

4.75

10:54

7.73

8.28

32.24

27.75

1.2

<2

<0.10

0.133

W

WSR01

20200526

Cloudy

Moderate

Mid-Flood

Middle

4.75

10:54

8.81

8.07

32.1

27.63

1.17

<2

<0.10

0.178

NW

WSR01

20200526

Cloudy

Moderate

Mid-Flood

Surface

1

10:55

8.47

8.15

32.07

27.61

1.17

<2

<0.10

0.139

W

WSR01

20200526

Cloudy

Moderate

Mid-Flood

Surface

1

10:55

7.37

8.24

31.89

27.43

1.44

<2

<0.10

0.14

W

WSR02

20200526

Cloudy

Moderate

Mid-Flood

Bottom

8.2

10:29

8.92

8.27

31.92

27.75

1.87

<2

<0.10

0.166

NW

WSR02

20200526

Cloudy

Moderate

Mid-Flood

Bottom

8.2

10:29

8.79

8.28

31.45

27.38

1.89

<2

<0.10

0.157

NW

WSR02

20200526

Cloudy

Moderate

Mid-Flood

Middle

4.6

10:30

7.37

8.15

31.18

27.65

1.17

<2

<0.10

0.196

NW

WSR02

20200526

Cloudy

Moderate

Mid-Flood

Middle

4.6

10:30

9

8.19

32.19

27.65

1.34

<2

<0.10

0.192

W

WSR02

20200526

Cloudy

Moderate

Mid-Flood

Surface

1

10:31

7.53

8.08

31.33

27.65

1.37

<2

<0.10

0.177

SW

WSR02

20200526

Cloudy

Moderate

Mid-Flood

Surface

1

10:31

7.39

8.07

31.54

27.65

1.39

<2

<0.10

0.13

W

WSR03

20200526

Cloudy

Moderate

Mid-Flood

Bottom

6.9

10:01

8.84

8.18

31.45

27.61

2.02

<2

<0.10

0.196

W

WSR03

20200526

Cloudy

Moderate

Mid-Flood

Bottom

6.9

10:01

7.38

8.2

31.43

27.74

1.71

<2

<0.10

0.186

W

WSR03

20200526

Cloudy

Moderate

Mid-Flood

Middle

3.95

10:02

7.7

8.18

31.48

27.69

1.42

<2

<0.10

0.195

NW

WSR03

20200526

Cloudy

Moderate

Mid-Flood

Middle

3.95

10:02

8.16

8.18

31.58

27.57

1.28

<2

<0.10

0.181

NW

WSR03

20200526

Cloudy

Moderate

Mid-Flood

Surface

1

10:03

8.22

8.23

32.24

27.59

1.17

2

<0.10

0.165

NW

WSR03

20200526

Cloudy

Moderate

Mid-Flood

Surface

1

10:03

8.12

8.25

31.08

27.58

1.17

2

<0.10

0.147

W


 

 

WSR04

20200526

Cloudy

Moderate

Mid-Flood

Bottom

6.2

9:43

8.54

8.27

31.29

27.49

1.9

<2

<0.10

0.166

W

WSR04

20200526

Cloudy

Moderate

Mid-Flood

Bottom

6.2

9:43

8.4

8.06

31.41

27.32

1.89

<2

<0.10

0.137

SW

WSR04

20200526

Cloudy

Moderate

Mid-Flood

Middle

3.6

9:44

8.85

8.13

31.28

27.53

1.21

<2

<0.10

0.154

W

WSR04

20200526

Cloudy

Moderate

Mid-Flood

Middle

3.6

9:44

7.28

8.05

31.89

27.76

1.18

<2

<0.10

0.169

W

WSR04

20200526

Cloudy

Moderate

Mid-Flood

Surface

1

9:45

7.73

8.09

31.62

27.63

1.42

<2

<0.10

0.156

W

WSR04

20200526

Cloudy

Moderate

Mid-Flood

Surface

1

9:45

7.93

8.06

32.06

27.36

1.38

<2

<0.10

0.15

W

WSR16

20200526

Cloudy

Moderate

Mid-Flood

Bottom

11

8:24

8.34

8.14

32.17

27.43

1.81

<2

<0.10

0.215

NW

WSR16

20200526

Cloudy

Moderate

Mid-Flood

Bottom

11

8:24

8.98

8.14

31.74

27.7

1.77

<2

<0.10

0.196

NW

WSR16

20200526

Cloudy

Moderate

Mid-Flood

Middle

6

8:25

7.83

8.18

31.18

27.35

1.38

<2

<0.10

0.173

NW

WSR16

20200526

Cloudy

Moderate

Mid-Flood

Middle

6

8:25

8.07

8.03

31.34

27.52

1.39

<2

<0.10

0.177

NW

WSR16

20200526

Cloudy

Moderate

Mid-Flood

Surface

1

8:26

8.07

8.05

31.69

27.71

1.14

<2

<0.10

0.188

NW

WSR16

20200526

Cloudy

Moderate

Mid-Flood

Surface

1

8:26

8.63

8.18

32.11

27.64

1.25

<2

<0.10

0.166

NW

WSR33

20200526

Cloudy

Moderate

Mid-Flood

Bottom

6.4

9:25

8.87

8.2

31.89

27.47

1.71

<2

<0.10

0.188

NW

WSR33

20200526

Cloudy

Moderate

Mid-Flood

Bottom

6.4

9:25

7.83

8.06

31.72

27.65

1.7

<2

<0.10

0.153

W

WSR33

20200526

Cloudy

Moderate

Mid-Flood

Middle

3.7

9:26

8.73

8.21

31.83

27.68

1.38

<2

<0.10

0.173

NW

WSR33

20200526

Cloudy

Moderate

Mid-Flood

Middle

3.7

9:26

7.96

8.13

31.94

27.4

1.14

<2

<0.10

0.154

W

WSR33

20200526

Cloudy

Moderate

Mid-Flood

Surface

1

9:27

9.01

8.15

31.88

27.8

1.39

<2

<0.10

0.154

W

WSR33

20200526

Cloudy

Moderate

Mid-Flood

Surface

1

9:27

8.89

8.04

31.11

27.39

1.29

<2

<0.10

0.162

W

WSR36

20200526

Cloudy

Moderate

Mid-Flood

Bottom

3.9

9:13

8.89

8.11

31.28

27.36

1.78

<2

<0.10

0.183

SW

WSR36

20200526

Cloudy

Moderate

Mid-Flood

Bottom

3.9

9:13

7.54

8.24

32.25

27.81

1.86

<2

<0.10

0.142

SW

WSR36

20200526

Cloudy

Moderate

Mid-Flood

Surface

1

9:14

8.41

8.23

31.75

27.36

1.21

<2

<0.10

0.158

W

WSR36

20200526

Cloudy

Moderate

Mid-Flood

Surface

1

9:14

9.03

8.15

31.36

27.72

1.16

<2

<0.10

0.171

W

WSR37

20200526

Cloudy

Moderate

Mid-Flood

Bottom

7.7

8:57

8.88

8.17

32.09

27.51

1.82

<2

<0.10

0.166

W

WSR37

20200526

Cloudy

Moderate

Mid-Flood

Bottom

7.7

8:57

8.76

8.28

31.89

27.39

1.78

<2

<0.10

0.192

W

WSR37

20200526

Cloudy

Moderate

Mid-Flood

Middle

4.35

8:58

8.4

8.07

32.26

27.56

1.34

<2

<0.10

0.175

W

WSR37

20200526

Cloudy

Moderate

Mid-Flood

Middle

4.35

8:58

7.83

8.15

31.34

27.68

1.39

<2

<0.10

0.158

W

WSR37

20200526

Cloudy

Moderate

Mid-Flood

Surface

1

8:59

8.73

8.06

32

27.51

1.43

<2

<0.10

0.161

W

WSR37

20200526

Cloudy

Moderate

Mid-Flood

Surface

1

8:59

8.62

8.15

32.24

27.66

1.21

<2

<0.10

0.136

W

CE

20200526

Cloudy

Moderate

Mid-Ebb

Bottom

11.2

12:59

7.85

8.09

31.94

27.15

1.66

<2

<0.10

0.447

SE

CE

20200526

Cloudy

Moderate

Mid-Ebb

Bottom

11.2

12:59

8.85

8.31

31.94

27.3

2.25

<2

<0.10

0.368

SE

CE

20200526

Cloudy

Moderate

Mid-Ebb

Middle

6.1

13:00

7.48

8.21

31.66

27.63

1.82

<2

<0.10

0.349

E

CE

20200526

Cloudy

Moderate

Mid-Ebb

Middle

6.1

13:00

7.89

8.05

31.61

27.22

1.67

<2

<0.10

0.429

SE

CE

20200526

Cloudy

Moderate

Mid-Ebb

Surface

1

13:01

8.2

8.09

32.13

27.2

1.46

<2

<0.10

0.313

E


 

 

CE

20200526

Cloudy

Moderate

Mid-Ebb

Surface

1

13:01

7.87

8.07

31.7

27.59

1.28

<2

<0.10

0.451

E

CF

20200526

Cloudy

Moderate

Mid-Ebb

Bottom

11

13:03

8.18

8.03

31.83

27.45

1.67

<2

<0.10

0.209

SE

CF

20200526

Cloudy

Moderate

Mid-Ebb

Bottom

11

13:03

8.06

8.1

31.8

27.21

2.3

<2

<0.10

0.15

E

CF

20200526

Cloudy

Moderate

Mid-Ebb

Middle

6

13:04

7.84

8.31

32.1

27.11

1.72

<2

<0.10

0.214

E

CF

20200526

Cloudy

Moderate

Mid-Ebb

Middle

6

13:04

8.39

8.26

31.64

27.11

1.47

<2

<0.10

0.141

E

CF

20200526

Cloudy

Moderate

Mid-Ebb

Surface

1

13:05

7.95

8.02

31.81

27.57

1.59

<2

<0.10

0.214

SE

CF

20200526

Cloudy

Moderate

Mid-Ebb

Surface

1

13:05

7.79

8.08

31.92

27.26

1.18

<2

<0.10

0.166

SE

NF1

20200526

Cloudy

Moderate

Mid-Ebb

Bottom

10.7

13:39

7.82

8.28

32.2

27.65

2.07

<2

<0.10

0.178

E

NF1

20200526

Cloudy

Moderate

Mid-Ebb

Bottom

10.7

13:39

7.97

8.27

32.12

27.35

1.79

<2

<0.10

0.211

E

NF1

20200526

Cloudy

Moderate

Mid-Ebb

Middle

5.85

13:40

8.26

8.14

31.79

27.49

1.39

<2

<0.10

0.158

SE

NF1

20200526

Cloudy

Moderate

Mid-Ebb

Middle

5.85

13:40

7.39

8.23

32.23

27.32

1.37

<2

<0.10

0.148

E

NF1

20200526

Cloudy

Moderate

Mid-Ebb

Surface

1

13:41

8.01

8.25

32.13

27.24

1.33

<2

<0.10

0.132

E

NF1

20200526

Cloudy

Moderate

Mid-Ebb

Surface

1

13:41

8.04

8.2

31.7

27.35

1.46

<2

<0.10

0.167

E

NF2

20200526

Cloudy

Moderate

Mid-Ebb

Bottom

7.8

15:14

8.19

8.09

31.89

27.61

2.1

<2

<0.10

0.189

SE

NF2

20200526

Cloudy

Moderate

Mid-Ebb

Bottom

7.8

15:14

7.64

8.2

32.15

27.47

1.93

<2

<0.10

0.201

E

NF2

20200526

Cloudy

Moderate

Mid-Ebb

Middle

4.4

15:15

7.64

8.15

31.99

27.28

1.38

<2

<0.10

0.174

SE

NF2

20200526

Cloudy

Moderate

Mid-Ebb

Middle

4.4

15:15

7.43

8.04

32.05

27.49

1.7

<2

<0.10

0.216

SE

NF2

20200526

Cloudy

Moderate

Mid-Ebb

Surface

1

15:16

7.62

8.14

31.84

27.17

1.44

<2

<0.10

0.187

E

NF2

20200526

Cloudy

Moderate

Mid-Ebb

Surface

1

15:16

7.87

8.17

32.24

27.24

1.53

<2

<0.10

0.187

E

NF3

20200526

Cloudy

Moderate

Mid-Ebb

Bottom

9.2

15:23

7.49

8.06

31.77

27.26

2.02

<2

<0.10

0.202

SE

NF3

20200526

Cloudy

Moderate

Mid-Ebb

Bottom

9.2

15:23

7.66

8.25

32.11

27.43

1.68

<2

<0.10

0.192

E

NF3

20200526

Cloudy

Moderate

Mid-Ebb

Middle

5.1

15:24

8.05

8.04

31.61

27.15

1.5

<2

<0.10

0.2

E

NF3

20200526

Cloudy

Moderate

Mid-Ebb

Middle

5.1

15:24

8.05

8.01

31.79

27.49

1.41

<2

<0.10

0.178

E

NF3

20200526

Cloudy

Moderate

Mid-Ebb

Surface

1

15:25

7.45

8.2

31.92

27.57

1.7

<2

<0.10

0.218

E

NF3

20200526

Cloudy

Moderate

Mid-Ebb

Surface

1

15:25

7.69

8.2

32.19

27.36

1.77

<2

<0.10

0.2

SE

WSR01

20200526

Cloudy

Moderate

Mid-Ebb

Bottom

7.1

15:54

8.25

8.25

32.2

27.43

1.88

2

<0.10

0.214

SE

WSR01

20200526

Cloudy

Moderate

Mid-Ebb

Bottom

7.1

15:54

8.26

8.21

32.02

27.62

1.83

3

<0.10

0.177

E

WSR01

20200526

Cloudy

Moderate

Mid-Ebb

Middle

4.05

15:55

8.39

8.02

32.09

27.24

1.66

<2

<0.10

0.175

SE

WSR01

20200526

Cloudy

Moderate

Mid-Ebb

Middle

4.05

15:55

8.1

8.2

31.91

27.66

1.32

<2

<0.10

0.173

SE

WSR01

20200526

Cloudy

Moderate

Mid-Ebb

Surface

1

15:56

7.94

8.22

32.02

27.6

1.45

<2

<0.10

0.156

SE

WSR01

20200526

Cloudy

Moderate

Mid-Ebb

Surface

1

15:56

8.42

8.1

31.91

27.33

1.55

<2

<0.10

0.206

SE

WSR02

20200526

Cloudy

Moderate

Mid-Ebb

Bottom

7.1

15:31

8.83

8.31

31.88

27.63

1.75

<2

<0.10

0.132

SE

WSR02

20200526

Cloudy

Moderate

Mid-Ebb

Bottom

7.1

15:31

8.56

8.07

32.01

27.6

1.86

<2

<0.10

0.216

SE


 

 

WSR02

20200526

Cloudy

Moderate

Mid-Ebb

Middle

4.05

15:32

7.58

8.28

31.68

27.68

1.79

<2

<0.10

0.198

E

WSR02

20200526

Cloudy

Moderate

Mid-Ebb

Middle

4.05

15:32

8.8

8.11

31.66

27.66

1.44

<2

<0.10

0.175

SE

WSR02

20200526

Cloudy

Moderate

Mid-Ebb

Surface

1

15:33

8.02

8.18

32.12

27.48

1.69

<2

<0.10

0.146

SE

WSR02

20200526

Cloudy

Moderate

Mid-Ebb

Surface

1

15:33

8.06

8.21

31.82

27.33

1.37

<2

<0.10

0.216

E

WSR03

20200526

Cloudy

Moderate

Mid-Ebb

Bottom

6.2

14:57

8.83

8.22

31.77

27.5

1.79

3

<0.10

0.131

E

WSR03

20200526

Cloudy

Moderate

Mid-Ebb

Bottom

6.2

14:57

8.45

8.21

31.79

27.59

2.1

2

<0.10

0.197

E

WSR03

20200526

Cloudy

Moderate

Mid-Ebb

Middle

3.6

14:58

8.55

8.21

31.55

27.49

1.49

<2

<0.10

0.205

SE

WSR03

20200526

Cloudy

Moderate

Mid-Ebb

Middle

3.6

14:58

7.69

8.1

31.97

27.17

1.68

<2

<0.10

0.202

SE

WSR03

20200526

Cloudy

Moderate

Mid-Ebb

Surface

1

14:59

8.69

8.05

31.79

27.19

1.2

<2

<0.10

0.187

SE

WSR03

20200526

Cloudy

Moderate

Mid-Ebb

Surface

1

14:59

8.28

8.13

31.55

27.18

1.41

<2

<0.10

0.148

E

WSR04

20200526

Cloudy

Moderate

Mid-Ebb

Bottom

6.2

14:40

7.43

8.14

31.98

27.6

1.8

<2

<0.10

0.179

SE

WSR04

20200526

Cloudy

Moderate

Mid-Ebb

Bottom

6.2

14:40

8.36

8.11

31.76

27.61

2.26

<2

<0.10

0.17

SE

WSR04

20200526

Cloudy

Moderate

Mid-Ebb

Middle

3.6

14:41

7.67

8.23

32.01

27.22

1.85

<2

<0.10

0.155

E

WSR04

20200526

Cloudy

Moderate

Mid-Ebb

Middle

3.6

14:41

7.55

8.01

31.59

27.18

1.87

<2

<0.10

0.175

SE

WSR04

20200526

Cloudy

Moderate

Mid-Ebb

Surface

1

14:42

8.59

8.06

32.07

27.29

1.35

<2

<0.10

0.171

SE

WSR04

20200526

Cloudy

Moderate

Mid-Ebb

Surface

1

14:42

7.88

8.15

31.96

27.52

1.44

<2

<0.10

0.209

E

WSR16

20200526

Cloudy

Moderate

Mid-Ebb

Bottom

11

13:19

8.15

8.06

31.73

27.6

2.25

2

<0.10

0.149

SE

WSR16

20200526

Cloudy

Moderate

Mid-Ebb

Bottom

11

13:19

7.58

8.14

31.56

27.61

2.17

3

<0.10

0.211

E

WSR16

20200526

Cloudy

Moderate

Mid-Ebb

Middle

6

13:20

8.72

8.1

31.92

27.14

1.78

<2

<0.10

0.142

SE

WSR16

20200526

Cloudy

Moderate

Mid-Ebb

Middle

6

13:20

7.77

8.23

31.8

27.28

1.62

<2

<0.10

0.218

SE

WSR16

20200526

Cloudy

Moderate

Mid-Ebb

Surface

1

13:21

8.41

8.18

31.56

27.15

1.19

<2

<0.10

0.159

SE

WSR16

20200526

Cloudy

Moderate

Mid-Ebb

Surface

1

13:21

8.61

8.3

32.11

27.23

1.37

<2

<0.10

0.214

E

WSR33

20200526

Cloudy

Moderate

Mid-Ebb

Bottom

6.5

14:24

8.06

8.09

31.82

27.11

1.9

<2

<0.10

0.139

SE

WSR33

20200526

Cloudy

Moderate

Mid-Ebb

Bottom

6.5

14:24

8.6

8.25

31.56

27.69

1.69

<2

<0.10

0.144

SE

WSR33

20200526

Cloudy

Moderate

Mid-Ebb

Middle

3.75

14:25

7.49

8.07

31.77

27.66

1.51

2

<0.10

0.197

SE

WSR33

20200526

Cloudy

Moderate

Mid-Ebb

Middle

3.75

14:25

8.76

8.02

31.73

27.63

1.31

3

<0.10

0.207

E

WSR33

20200526

Cloudy

Moderate

Mid-Ebb

Surface

1

14:26

7.98

8.18

31.83

27.46

1.57

2

<0.10

0.181

E

WSR33

20200526

Cloudy

Moderate

Mid-Ebb

Surface

1

14:26

7.5

8.2

31.67

27.48

1.76

3

<0.10

0.171

SE

WSR36

20200526

Cloudy

Moderate

Mid-Ebb

Bottom

3.9

14:11

7.87

8.15

31.68

27.61

1.93

<2

<0.10

0.139

SE

WSR36

20200526

Cloudy

Moderate

Mid-Ebb

Bottom

3.9

14:11

7.59

8.22

32.17

27.28

1.67

<2

<0.10

0.197

SE

WSR36

20200526

Cloudy

Moderate

Mid-Ebb

Surface

1

14:12

7.73

8.19

32.15

27.59

1.61

<2

<0.10

0.197

E

WSR36

20200526

Cloudy

Moderate

Mid-Ebb

Surface

1

14:12

8.49

8.28

31.81

27.55

1.19

<2

<0.10

0.167

E

WSR37

20200526

Cloudy

Moderate

Mid-Ebb

Bottom

6.5

13:53

8.1

8.05

32.04

27.49

2.08

<2

<0.10

0.142

E


 

 

WSR37

20200526

Cloudy

Moderate

Mid-Ebb

Bottom

6.5

13:53

7.62

8.05

31.72

27.19

1.84

<2

<0.10

0.221

E

WSR37

20200526

Cloudy

Moderate

Mid-Ebb

Middle

3.75

13:54

8.06

8.19

31.83

27.39

1.87

<2

<0.10

0.18

SE

WSR37

20200526

Cloudy

Moderate

Mid-Ebb

Middle

3.75

13:54

8

8.19

32.19

27.29

1.71

<2

<0.10

0.186

E

WSR37

20200526

Cloudy

Moderate

Mid-Ebb

Surface

1

13:55

7.72

8.3

31.63

27.69

1.13

<2

<0.10

0.13

E

WSR37

20200526

Cloudy

Moderate

Mid-Ebb

Surface

1

13:55

8.09

8.1

31.79

27.12

1.63

<2

<0.10

0.151

SE

CE

20200528

Cloudy

Moderate

Mid-Flood

Bottom

12.1

8:50

9.49

7.99

32.36

26.27

0.59

2

<0.10

0.16

NW

CE

20200528

Cloudy

Moderate

Mid-Flood

Bottom

12.1

8:50

9.46

8.07

32.5

26.22

0.77

3

<0.10

0.183

N

CE

20200528

Cloudy

Moderate

Mid-Flood

Middle

6.55

8:51

9.33

8.09

32.24

26.29

0.87

3

<0.10

0.195

NW

CE

20200528

Cloudy

Moderate

Mid-Flood

Middle

6.55

8:51

8.93

8.08

32.23

26.31

0.51

2

<0.10

0.175

NW

CE

20200528

Cloudy

Moderate

Mid-Flood

Surface

1

8:52

8.39

8.06

31.81

26.47

0.97

2

<0.10

0.185

NW

CE

20200528

Cloudy

Moderate

Mid-Flood

Surface

1

8:52

8.38

8.05

31.8

26.48

0.8

2

<0.10

0.213

N

CF

20200528

Cloudy

Moderate

Mid-Flood

Bottom

11.4

8:00

9.88

8.07

32.19

26.4

1.54

<2

<0.10

0.242

W

CF

20200528

Cloudy

Moderate

Mid-Flood

Bottom

11.4

8:00

8.57

8.09

31.93

26.78

1.28

<2

<0.10

0.198

SW

CF

20200528

Cloudy

Moderate

Mid-Flood

Middle

6.2

8:01

8.67

8.19

32.1

26.63

0.81

3

<0.10

0.216

W

CF

20200528

Cloudy

Moderate

Mid-Flood

Middle

6.2

8:01

9.71

8.21

32.04

26.37

0.71

2

<0.10

0.202

W

CF

20200528

Cloudy

Moderate

Mid-Flood

Surface

1

8:02

9.46

8.09

32.18

26.46

1.23

2

<0.10

0.185

W

CF

20200528

Cloudy

Moderate

Mid-Flood

Surface

1

8:02

9.44

8.1

32.63

26.55

1.21

3

<0.10

0.208

W

NF1

20200528

Cloudy

Moderate

Mid-Flood

Bottom

10.7

9:25

10.02

8.05

32.35

26.68

0.47

3

<0.10

0.17

W

NF1

20200528

Cloudy

Moderate

Mid-Flood

Bottom

10.7

9:25

9.86

8.08

32.45

26.63

0.66

3

<0.10

0.18

SW

NF1

20200528

Cloudy

Moderate

Mid-Flood

Middle

5.85

9:26

10.1

8.14

32.17

26.78

0.85

2

<0.10

0.16

W

NF1

20200528

Cloudy

Moderate

Mid-Flood

Middle

5.85

9:26

9.95

8.13

32.15

26.78

0.67

3

<0.10

0.134

W

NF1

20200528

Cloudy

Moderate

Mid-Flood

Surface

1

9:27

8.95

8.13

32.02

26.91

0.93

2

<0.10

0.181

W

NF1

20200528

Cloudy

Moderate

Mid-Flood

Surface

1

9:27

8.67

8.12

32.04

26.92

0.75

2

<0.10

0.129

W

NF2

20200528

Cloudy

Moderate

Mid-Flood

Bottom

7.8

11:11

10.56

8.07

33.06

26.65

1.66

5

<0.10

0.18

W

NF2

20200528

Cloudy

Moderate

Mid-Flood

Bottom

7.8

11:11

10.33

8.07

33.09

26.61

1.5

6

<0.10

0.146

NW

NF2

20200528

Cloudy

Moderate

Mid-Flood

Middle

4.4

11:12

9.87

8.15

33.05

26.76

1.12

3

<0.10

0.185

NW

NF2

20200528

Cloudy

Moderate

Mid-Flood

Middle

4.4

11:12

9.68

8.13

33.09

26.75

1.32

4

<0.10

0.192

W

NF2

20200528

Cloudy

Moderate

Mid-Flood

Surface

1

11:13

8.94

8.11

32.87

26.91

0.63

3

<0.10

0.155

W

NF2

20200528

Cloudy

Moderate

Mid-Flood

Surface

1

11:13

8.79

8.09

32.87

26.92

0.96

4

<0.10

0.152

NW

NF3

20200528

Cloudy

Moderate

Mid-Flood

Bottom

7.3

11:24

12.63

8.07

32.26

26.65

0.54

4

<0.10

0.128

W

NF3

20200528

Cloudy

Moderate

Mid-Flood

Bottom

7.3

11:24

11.34

8.07

32.24

26.64

0.58

3

<0.10

0.145

SW

NF3

20200528

Cloudy

Moderate

Mid-Flood

Middle

4.15

11:25

10.14

8.08

32.42

26.76

0.64

<2

<0.10

0.191

SW

NF3

20200528

Cloudy

Moderate

Mid-Flood

Middle

4.15

11:25

9.97

8.08

32.42

26.74

0.64

3

<0.10

0.195

SW


 

 

NF3

20200528

Cloudy

Moderate

Mid-Flood

Surface

1

11:26

8.85

8.11

32.09

26.93

0.96

<2

<0.10

0.137

SW

NF3

20200528

Cloudy

Moderate

Mid-Flood

Surface

1

11:26

8.88

8.07

32.11

26.95

1.05

<2

<0.10

0.174

W

WSR01

20200528

Cloudy

Moderate

Mid-Flood

Bottom

8.4

10:47

9.66

8.04

32.22

26.64

1.59

4

<0.10

0.194

W

WSR01

20200528

Cloudy

Moderate

Mid-Flood

Bottom

8.4

10:47

8.99

8.19

32.05

26.55

1.19

4

<0.10

0.129

W

WSR01

20200528

Cloudy

Moderate

Mid-Flood

Middle

4.7

10:48

9.71

8.23

32.41

26.69

0.89

3

<0.10

0.151

SW

WSR01

20200528

Cloudy

Moderate

Mid-Flood

Middle

4.7

10:48

8.46

8.05

32.52

26.54

1.05

2

<0.10

0.141

W

WSR01

20200528

Cloudy

Moderate

Mid-Flood

Surface

1

10:49

8.94

8.2

32.38

26.61

1.09

2

<0.10

0.147

SW

WSR01

20200528

Cloudy

Moderate

Mid-Flood

Surface

1

10:49

8.64

8.08

32.04

26.64

1.18

2

<0.10

0.188

NW

WSR02

20200528

Cloudy

Moderate

Mid-Flood

Bottom

8.1

10:24

8.49

8.04

32.27

26.6

1.36

<2

<0.10

0.191

W

WSR02

20200528

Cloudy

Moderate

Mid-Flood

Bottom

8.1

10:24

9.08

8.01

32.38

26.68

1.47

<2

<0.10

0.167

NW

WSR02

20200528

Cloudy

Moderate

Mid-Flood

Middle

4.55

10:25

9.06

8.19

32.57

26.58

1.03

<2

<0.10

0.129

W

WSR02

20200528

Cloudy

Moderate

Mid-Flood

Middle

4.55

10:25

9.19

8.23

32.33

26.31

0.81

<2

<0.10

0.157

W

WSR02

20200528

Cloudy

Moderate

Mid-Flood

Surface

1

10:26

9.45

8.02

31.91

26.45

0.79

3

<0.10

0.177

W

WSR02

20200528

Cloudy

Moderate

Mid-Flood

Surface

1

10:26

9.92

8.01

32.26

26.75

0.99

2

<0.10

0.159

W

WSR03

20200528

Cloudy

Moderate

Mid-Flood

Bottom

8.4

10:40

9.87

8.06

32.8

26.34

4.14

<2

<0.10

0.184

W

WSR03

20200528

Cloudy

Moderate

Mid-Flood

Bottom

8.4

10:40

9.56

8.06

32.78

26.38

4.12

<2

<0.10

0.173

W

WSR03

20200528

Cloudy

Moderate

Mid-Flood

Middle

4.7

10:41

9.83

8.15

32.35

26.7

1.01

<2

<0.10

0.14

W

WSR03

20200528

Cloudy

Moderate

Mid-Flood

Middle

4.7

10:41

9.73

8.12

32.39

26.69

1

<2

<0.10

0.148

W

WSR03

20200528

Cloudy

Moderate

Mid-Flood

Surface

1

10:42

9.13

8.13

29.9

26.74

0.31

<2

<0.10

0.16

SW

WSR03

20200528

Cloudy

Moderate

Mid-Flood

Surface

1

10:42

8.29

8.07

32.55

26.74

0.35

<2

<0.10

0.181

W

WSR04

20200528

Cloudy

Moderate

Mid-Flood

Bottom

7.2

10:25

10.18

8.08

32.69

26.77

0.99

<2

<0.10

0.186

W

WSR04

20200528

Cloudy

Moderate

Mid-Flood

Bottom

7.2

10:25

10.01

8.25

32.5

26.66

1.03

<2

<0.10

0.146

W

WSR04

20200528

Cloudy

Moderate

Mid-Flood

Middle

4.1

10:26

10.29

8.33

32.21

26.41

0.79

<2

<0.10

0.172

W

WSR04

20200528

Cloudy

Moderate

Mid-Flood

Middle

4.1

10:26

10.33

8.19

32.17

26.37

0.87

<2

<0.10

0.139

W

WSR04

20200528

Cloudy

Moderate

Mid-Flood

Surface

1

10:27

10.49

8.38

32.41

26.5

0.78

<2

<0.10

0.157

SW

WSR04

20200528

Cloudy

Moderate

Mid-Flood

Surface

1

10:27

10.55

8.28

32.68

26.54

0.57

<2

<0.10

0.186

NW

WSR16

20200528

Cloudy

Moderate

Mid-Flood

Bottom

11.7

11:14

9.76

8.02

32.25

26.42

1.18

<2

<0.10

0.176

N

WSR16

20200528

Cloudy

Moderate

Mid-Flood

Bottom

11.7

11:14

9.66

8.18

31.94

26.55

1.18

<2

<0.10

0.21

NW

WSR16

20200528

Cloudy

Moderate

Mid-Flood

Middle

6.35

11:15

9.17

8.01

32.61

26.41

0.94

<2

<0.10

0.192

NW

WSR16

20200528

Cloudy

Moderate

Mid-Flood

Middle

6.35

11:15

9.85

8.19

32.42

26.62

0.69

<2

<0.10

0.184

NW

WSR16

20200528

Cloudy

Moderate

Mid-Flood

Surface

1

11:16

9.66

8.22

32.29

26.45

0.87

<2

<0.10

0.173

NW

WSR16

20200528

Cloudy

Moderate

Mid-Flood

Surface

1

11:16

8.79

8.15

32.54

26.72

0.79

<2

<0.10

0.177

N

WSR33

20200528

Cloudy

Moderate

Mid-Flood

Bottom

7.4

10:10

10.76

8.09

32.04

26.98

0.85

3

<0.10

0.142

SW


 

 

WSR33

20200528

Cloudy

Moderate

Mid-Flood

Bottom

7.4

10:10

10.49

8.09

32.01

26.96

0.94

4

<0.10

0.149

W

WSR33

20200528

Cloudy

Moderate

Mid-Flood

Middle

4.2

10:11

10.89

8.14

32.71

26.95

0.89

2

<0.10

0.175

NW

WSR33

20200528

Cloudy

Moderate

Mid-Flood

Middle

4.2

10:11

10.08

8.14

32.61

26.94

0.52

3

<0.10

0.151

W

WSR33

20200528

Cloudy

Moderate

Mid-Flood

Surface

1

10:12

9.45

8.18

32.59

26.93

0.65

2

<0.10

0.178

W

WSR33

20200528

Cloudy

Moderate

Mid-Flood

Surface

1

10:12

9.35

8.18

32.44

26.96

0.88

2

<0.10

0.186

W

WSR36

20200528

Cloudy

Moderate

Mid-Flood

Bottom

3.4

9:56

10.03

8.11

32.51

26.91

1.46

4

<0.10

0.193

W

WSR36

20200528

Cloudy

Moderate

Mid-Flood

Bottom

3.4

9:56

9.79

8.11

32.51

26.91

1.21

4

<0.10

0.159

NW

WSR36

20200528

Cloudy

Moderate

Mid-Flood

Surface

1

9:57

9.53

8.13

32.52

26.97

0.46

2

<0.10

0.158

W

WSR36

20200528

Cloudy

Moderate

Mid-Flood

Surface

1

9:57

9.16

8.13

32.53

26.97

0.52

3

<0.10

0.139

SW

WSR37

20200528

Cloudy

Moderate

Mid-Flood

Bottom

5.8

9:40

9.99

8.12

32.39

26.95

0.63

<2

<0.10

0.186

W

WSR37

20200528

Cloudy

Moderate

Mid-Flood

Bottom

5.8

9:40

9.93

8.13

32.39

26.94

0.45

<2

<0.10

0.181

NW

WSR37

20200528

Cloudy

Moderate

Mid-Flood

Middle

3.4

9:41

9.71

8.17

32.47

26.95

0.21

<2

<0.10

0.192

SW

WSR37

20200528

Cloudy

Moderate

Mid-Flood

Middle

3.4

9:41

9.32

8.17

32.47

26.95

0.2

<2

<0.10

0.14

W

WSR37

20200528

Cloudy

Moderate

Mid-Flood

Surface

1

9:42

8.65

8.13

32.26

26.98

0.56

2

<0.10

0.176

SW

WSR37

20200528

Cloudy

Moderate

Mid-Flood

Surface

1

9:42

8.68

8.13

32.27

26.99

0.36

2

<0.10

0.147

W

CE

20200528

Cloudy

Moderate

Mid-Ebb

Bottom

11.4

14:10

9.63

8.31

31.89

26.8

1.39

2

<0.10

0.443

E

CE

20200528

Cloudy

Moderate

Mid-Ebb

Bottom

11.4

14:10

8.97

8.15

31.74

26.84

1.42

3

<0.10

0.311

SE

CE

20200528

Cloudy

Moderate

Mid-Ebb

Middle

6.2

14:11

8.58

8.14

31.94

26.75

1.38

2

<0.10

0.369

SE

CE

20200528

Cloudy

Moderate

Mid-Ebb

Middle

6.2

14:11

9.08

8.2

31.9

26.95

1.1

2

<0.10

0.322

SE

CE

20200528

Cloudy

Moderate

Mid-Ebb

Surface

1

14:12

9.13

8.17

32.49

26.76

0.87

<2

<0.10

0.37

E

CE

20200528

Cloudy

Moderate

Mid-Ebb

Surface

1

14:12

8.92

8.11

32.22

26.9

1.33

<2

<0.10

0.275

SE

CF

20200528

Cloudy

Moderate

Mid-Ebb

Bottom

11.7

14:13

9.26

8.21

32.61

26.55

1.46

2

<0.10

0.199

E

CF

20200528

Cloudy

Moderate

Mid-Ebb

Bottom

11.7

14:13

8.89

8.09

31.79

26.97

1.38

2

<0.10

0.208

E

CF

20200528

Cloudy

Moderate

Mid-Ebb

Middle

6.35

14:14

9.17

8.25

32.15

26.95

1.02

<2

<0.10

0.17

SE

CF

20200528

Cloudy

Moderate

Mid-Ebb

Middle

6.35

14:14

9.4

8.29

31.82

26.66

1.2

<2

<0.10

0.207

E

CF

20200528

Cloudy

Moderate

Mid-Ebb

Surface

1

14:15

9.64

8.11

32.56

26.86

0.81

2

<0.10

0.154

SE

CF

20200528

Cloudy

Moderate

Mid-Ebb

Surface

1

14:15

9.05

8.12

32.65

26.47

1.1

3

<0.10

0.158

E

NF1

20200528

Cloudy

Moderate

Mid-Ebb

Bottom

10.1

14:51

8.82

8.05

32.48

26.51

1.32

4

<0.10

0.189

SE

NF1

20200528

Cloudy

Moderate

Mid-Ebb

Bottom

10.1

14:51

9.26

8.22

31.88

26.8

1.6

3

<0.10

0.165

SE

NF1

20200528

Cloudy

Moderate

Mid-Ebb

Middle

5.55

14:52

9.38

8.14

32.16

26.72

1.38

2

<0.10

0.169

SE

NF1

20200528

Cloudy

Moderate

Mid-Ebb

Middle

5.55

14:52

9.03

8.19

31.97

26.82

0.88

3

<0.10

0.169

E

NF1

20200528

Cloudy

Moderate

Mid-Ebb

Surface

1

14:53

9.38

8.16

31.8

26.72

0.85

<2

<0.10

0.205

E

NF1

20200528

Cloudy

Moderate

Mid-Ebb

Surface

1

14:53

8.96

8.23

32.5

26.63

0.8

<2

<0.10

0.194

E


 

 

NF2

20200528

Cloudy

Moderate

Mid-Ebb

Bottom

7.6

16:25

9.16

8.18

31.72

27.08

1.26

<2

<0.10

0.158

SE

NF2

20200528

Cloudy

Moderate

Mid-Ebb

Bottom

7.6

16:25

9.45

8.24

32.14

26.56

1.19

<2

<0.10

0.169

SE

NF2

20200528

Cloudy

Moderate

Mid-Ebb

Middle

4.3

16:26

9.29

8.11

32.08

26.89

1.17

<2

<0.10

0.176

SE

NF2

20200528

Cloudy

Moderate

Mid-Ebb

Middle

4.3

16:26

9.4

8.18

31.8

26.83

1.32

<2

<0.10

0.149

E

NF2

20200528

Cloudy

Moderate

Mid-Ebb

Surface

1

16:27

9.11

8.14

32.36

26.4

0.83

<2

<0.10

0.147

SE

NF2

20200528

Cloudy

Moderate

Mid-Ebb

Surface

1

16:27

9.75

8.15

32.19

26.52

1.12

<2

<0.10

0.188

E

NF3

20200528

Cloudy

Moderate

Mid-Ebb

Bottom

9.4

16:33

9.21

8.05

32.64

26.73

1.34

3

<0.10

0.217

E

NF3

20200528

Cloudy

Moderate

Mid-Ebb

Bottom

9.4

16:33

9.08

8.11

31.93

26.62

1.36

2

<0.10

0.205

E

NF3

20200528

Cloudy

Moderate

Mid-Ebb

Middle

5.2

16:34

8.99

8.29

32.11

27.07

1.3

3

<0.10

0.156

SE

NF3

20200528

Cloudy

Moderate

Mid-Ebb

Middle

5.2

16:34

8.94

8.27

32.59

26.95

1.44

3

<0.10

0.147

SE

NF3

20200528

Cloudy

Moderate

Mid-Ebb

Surface

1

16:35

9.57

8.18

31.96

26.67

1.24

4

<0.10

0.167

E

NF3

20200528

Cloudy

Moderate

Mid-Ebb

Surface

1

16:35

9.63

8.08

32.43

26.81

0.89

3

<0.10

0.205

SE

WSR01

20200528

Cloudy

Moderate

Mid-Ebb

Bottom

7.4

17:07

9.7

8.16

31.85

26.79

1.4

<2

<0.10

0.195

SE

WSR01

20200528

Cloudy

Moderate

Mid-Ebb

Bottom

7.4

17:07

9.67

8.05

32.07

26.73

1.2

<2

<0.10

0.166

E

WSR01

20200528

Cloudy

Moderate

Mid-Ebb

Middle

4.2

17:08

8.9

8.3

32.11

26.96

1.28

<2

<0.10

0.178

E

WSR01

20200528

Cloudy

Moderate

Mid-Ebb

Middle

4.2

17:08

9.2

8.07

31.77

26.87

1.25

<2

<0.10

0.133

E

WSR01

20200528

Cloudy

Moderate

Mid-Ebb

Surface

1

17:09

9.41

8.19

32.48

26.49

1.28

<2

<0.10

0.21

E

WSR01

20200528

Cloudy

Moderate

Mid-Ebb

Surface

1

17:09

8.71

8.23

32.11

26.61

1

<2

<0.10

0.198

SE

WSR02

20200528

Cloudy

Moderate

Mid-Ebb

Bottom

7.5

16:43

9.41

8.11

31.82

26.44

1.6

3

<0.10

0.163

E

WSR02

20200528

Cloudy

Moderate

Mid-Ebb

Bottom

7.5

16:43

8.96

8.09

31.79

26.89

1.2

4

<0.10

0.166

SE

WSR02

20200528

Cloudy

Moderate

Mid-Ebb

Middle

4.25

16:44

9.08

8.14

32.21

26.94

1.31

4

<0.10

0.133

SE

WSR02

20200528

Cloudy

Moderate

Mid-Ebb

Middle

4.25

16:44

9.09

8.05

32.63

26.86

1.07

3

<0.10

0.159

E

WSR02

20200528

Cloudy

Moderate

Mid-Ebb

Surface

1

16:45

9.71

8.29

32.03

26.71

0.8

5

<0.10

0.15

E

WSR02

20200528

Cloudy

Moderate

Mid-Ebb

Surface

1

16:45

8.81

8.11

32.27

26.66

0.93

4

<0.10

0.187

SE

WSR03

20200528

Cloudy

Moderate

Mid-Ebb

Bottom

6.1

16:08

8.95

8.25

32.42

26.41

1.51

2

<0.10

0.179

SE

WSR03

20200528

Cloudy

Moderate

Mid-Ebb

Bottom

6.1

16:08

9

8.28

32.57

26.91

1.59

2

<0.10

0.134

SE

WSR03

20200528

Cloudy

Moderate

Mid-Ebb

Middle

3.55

16:09

8.73

8.06

31.69

26.47

1.4

3

<0.10

0.146

E

WSR03

20200528

Cloudy

Moderate

Mid-Ebb

Middle

3.55

16:09

9.62

8.07

31.88

26.8

1.15

3

<0.10

0.199

SE

WSR03

20200528

Cloudy

Moderate

Mid-Ebb

Surface

1

16:10

9.54

8.08

32.68

26.73

1.08

2

<0.10

0.16

E

WSR03

20200528

Cloudy

Moderate

Mid-Ebb

Surface

1

16:10

9.04

8.19

31.9

26.65

1.29

3

<0.10

0.2

E

WSR04

20200528

Cloudy

Moderate

Mid-Ebb

Bottom

5.8

15:50

9.78

8.19

31.72

26.99

1.46

3

<0.10

0.181

E

WSR04

20200528

Cloudy

Moderate

Mid-Ebb

Bottom

5.8

15:50

9.09

8.31

32.66

26.54

1.66

2

<0.10

0.163

SE

WSR04

20200528

Cloudy

Moderate

Mid-Ebb

Middle

3.4

15:51

9.63

8.3

31.78

26.88

1.17

<2

<0.10

0.194

E


 

 

WSR04

20200528

Cloudy

Moderate

Mid-Ebb

Middle

3.4

15:51

8.84

8.1

32.43

26.63

1.25

<2

<0.10

0.219

SE

WSR04

20200528

Cloudy

Moderate

Mid-Ebb

Surface

1

15:52

9.7

8.07

32.18

26.59

1.07

<2

<0.10

0.182

E

WSR04

20200528

Cloudy

Moderate

Mid-Ebb

Surface

1

15:52

8.74

8.29

31.83

26.48

0.78

<2

<0.10

0.16

SE

WSR16

20200528

Cloudy

Moderate

Mid-Ebb

Bottom

10.5

14:32

8.79

8.1

32.64

26.97

1.18

<2

<0.10

0.155

E

WSR16

20200528

Cloudy

Moderate

Mid-Ebb

Bottom

10.5

14:32

9.71

8.08

32.35

26.82

1.35

<2

<0.10

0.209

E

WSR16

20200528

Cloudy

Moderate

Mid-Ebb

Middle

5.75

14:33

9.13

8.25

31.91

26.49

0.97

2

<0.10

0.226

SE

WSR16

20200528

Cloudy

Moderate

Mid-Ebb

Middle

5.75

14:33

8.92

8.17

31.74

26.94

0.96

3

<0.10

0.215

SE

WSR16

20200528

Cloudy

Moderate

Mid-Ebb

Surface

1

14:34

8.6

8.07

31.81

26.54

1.28

2

<0.10

0.208

E

WSR16

20200528

Cloudy

Moderate

Mid-Ebb

Surface

1

14:34

9.65

8.21

32

26.51

1.12

3

<0.10

0.228

SE

WSR33

20200528

Cloudy

Moderate

Mid-Ebb

Bottom

5.9

15:33

8.68

8.26

31.72

26.72

1.55

<2

<0.10

0.193

SE

WSR33

20200528

Cloudy

Moderate

Mid-Ebb

Bottom

5.9

15:33

9.59

8.07

32.35

26.58

1.35

<2

<0.10

0.148

SE

WSR33

20200528

Cloudy

Moderate

Mid-Ebb

Middle

3.45

15:34

9.45

8.27

31.75

26.58

1.08

2

<0.10

0.148

SE

WSR33

20200528

Cloudy

Moderate

Mid-Ebb

Middle

3.45

15:34

9.5

8.27

32.16

26.61

1.41

2

<0.10

0.163

SE

WSR33

20200528

Cloudy

Moderate

Mid-Ebb

Surface

1

15:35

9.27

8.31

32.02

26.91

1.1

2

<0.10

0.154

E

WSR33

20200528

Cloudy

Moderate

Mid-Ebb

Surface

1

15:35

9.02

8.12

32.33

26.71

1.22

2

<0.10

0.162

E

WSR36

20200528

Cloudy

Moderate

Mid-Ebb

Bottom

4

15:21

8.7

8.27

31.76

26.98

1.54

3

<0.10

0.209

SE

WSR36

20200528

Cloudy

Moderate

Mid-Ebb

Bottom

4

15:21

9.46

8.12

32.26

26.87

1.43

3

<0.10

0.165

SE

WSR36

20200528

Cloudy

Moderate

Mid-Ebb

Surface

1

15:22

9.12

8.22

31.97

26.62

1.14

<2

<0.10

0.203

SE

WSR36

20200528

Cloudy

Moderate

Mid-Ebb

Surface

1

15:22

8.92

8.27

31.84

27.04

1.29

<2

<0.10

0.183

SE

WSR37

20200528

Cloudy

Moderate

Mid-Ebb

Bottom

6.5

15:05

9.61

8.14

32.64

26.82

1.34

<2

<0.10

0.169

E

WSR37

20200528

Cloudy

Moderate

Mid-Ebb

Bottom

6.5

15:05

8.97

8.18

32.48

26.72

1.54

<2

<0.10

0.143

SE

WSR37

20200528

Cloudy

Moderate

Mid-Ebb

Middle

3.75

15:06

8.84

8.23

32.54

26.57

1.2

<2

<0.10

0.187

SE

WSR37

20200528

Cloudy

Moderate

Mid-Ebb

Middle

3.75

15:06

9.61

8.16

31.81

27.01

1.15

<2

<0.10

0.189

SE

WSR37

20200528

Cloudy

Moderate

Mid-Ebb

Surface

1

15:07

8.82

8.28

31.76

26.62

1.31

<2

<0.10

0.155

SE

WSR37

20200528

Cloudy

Moderate

Mid-Ebb

Surface

1

15:07

8.67

8.28

32.42

26.5

0.95

<2

<0.10

0.158

SE

CE

20200530

Rainy

Moderate

Mid-Flood

Bottom

11.9

9:15

9.2

8.3

32.04

27.49

1.27

3

<0.10

0.196

NW

CE

20200530

Rainy

Moderate

Mid-Flood

Bottom

11.9

9:15

8.65

8.29

32.09

27.67

1.54

3

<0.10

0.177

NW

CE

20200530

Rainy

Moderate

Mid-Flood

Middle

6.45

9:16

9.93

8.13

31.44

27.38

1.41

4

<0.10

0.161

NW

CE

20200530

Rainy

Moderate

Mid-Flood

Middle

6.45

9:16

9.66

8.18

32.21

27.73

0.76

4

<0.10

0.183

NW

CE

20200530

Rainy

Moderate

Mid-Flood

Surface

1

9:17

9.16

8.04

31.34

27.35

1.6

4

<0.10

0.209

NW

CE

20200530

Rainy

Moderate

Mid-Flood

Surface

1

9:17

9.8

8.08

31.1

27.56

1.68

4

<0.10

0.208

N

CF

20200530

Rainy

Moderate

Mid-Flood

Bottom

11.6

9:11

8.9

8.08

31.75

27.35

1.96

4

<0.10

0.19

W

CF

20200530

Rainy

Moderate

Mid-Flood

Bottom

11.6

9:11

9.74

8.18

31.24

27.49

1.38

4

<0.10

0.186

SW


 

 

CF

20200530

Rainy

Moderate

Mid-Flood

Middle

6.3

9:12

9.39

8.17

31.73

27.6

0.93

3

<0.10

0.244

SW

CF

20200530

Rainy

Moderate

Mid-Flood

Middle

6.3

9:12

8.52

8.11

31.51

27.51

1.34

3

<0.10

0.179

W

CF

20200530

Rainy

Moderate

Mid-Flood

Surface

1

9:13

9.75

8.18

31.51

27.39

1.45

3

<0.10

0.21

SW

CF

20200530

Rainy

Moderate

Mid-Flood

Surface

1

9:13

9.75

8.15

32.04

27.67

1.82

3

<0.10

0.243

SW

NF1

20200530

Rainy

Moderate

Mid-Flood

Bottom

10.9

9:56

9.66

8.07

31.81

27.42

1.47

6

<0.10

0.15

W

NF1

20200530

Rainy

Moderate

Mid-Flood

Bottom

10.9

9:56

9.32

8.23

31.93

27.63

1.88

6

<0.10

0.157

W

NF1

20200530

Rainy

Moderate

Mid-Flood

Middle

5.95

9:57

9.97

8.1

31.49

27.66

0.84

4

<0.10

0.156

SW

NF1

20200530

Rainy

Moderate

Mid-Flood

Middle

5.95

9:57

8.59

8.04

31.72

27.47

1.37

4

<0.10

0.132

W

NF1

20200530

Rainy

Moderate

Mid-Flood

Surface

1

9:58

9.56

8.37

31.14

27.31

2.02

4

<0.10

0.13

SW

NF1

20200530

Rainy

Moderate

Mid-Flood

Surface

1

9:58

9.45

8.17

31.95

27.56

1.57

4

<0.10

0.184

W

NF2

20200530

Rainy

Moderate

Mid-Flood

Bottom

8.8

11:33

9.92

8.14

31.18

27.58

1.11

2

<0.10

0.156

NW

NF2

20200530

Rainy

Moderate

Mid-Flood

Bottom

8.8

11:33

9.97

8.06

32.12

27.71

1.18

2

<0.10

0.19

W

NF2

20200530

Rainy

Moderate

Mid-Flood

Middle

4.9

11:34

8.98

8.13

32.1

27.35

1.67

2

<0.10

0.193

SW

NF2

20200530

Rainy

Moderate

Mid-Flood

Middle

4.9

11:34

9.52

8.01

31.28

27.52

0.77

3

<0.10

0.135

W

NF2

20200530

Rainy

Moderate

Mid-Flood

Surface

1

11:35

8.71

8.22

31.67

27.63

1.16

4

<0.10

0.177

SW

NF2

20200530

Rainy

Moderate

Mid-Flood

Surface

1

11:35

8.85

8.35

31.59

27.44

1.8

4

<0.10

0.184

W

NF3

20200530

Rainy

Moderate

Mid-Flood

Bottom

9.9

11:41

8.62

8.18

31.26

27.7

1.83

4

<0.10

0.128

SW

NF3

20200530

Rainy

Moderate

Mid-Flood

Bottom

9.9

11:41

9.03

8.19

31.21

27.41

1.65

3

<0.10

0.169

W

NF3

20200530

Rainy

Moderate

Mid-Flood

Middle

5.45

11:42

8.98

8.21

31.15

27.7

1.4

2

<0.10

0.164

W

NF3

20200530

Rainy

Moderate

Mid-Flood

Middle

5.45

11:42

8.71

8.33

31.44

27.61

0.96

2

<0.10

0.138

NW

NF3

20200530

Rainy

Moderate

Mid-Flood

Surface

1

11:43

8.87

8.2

31.94

27.73

1.25

2

<0.10

0.149

SW

NF3

20200530

Rainy

Moderate

Mid-Flood

Surface

1

11:43

8.86

8.01

31.23

27.43

1.44

2

<0.10

0.186

W

WSR01

20200530

Rainy

Moderate

Mid-Flood

Bottom

8.5

11:41

9.85

8.13

31.4

27.56

1.47

4

<0.10

0.156

W

WSR01

20200530

Rainy

Moderate

Mid-Flood

Bottom

8.5

11:41

9.54

8.1

31.86

27.63

1.83

4

<0.10

0.163

SW

WSR01

20200530

Rainy

Moderate

Mid-Flood

Middle

4.75

11:42

9.98

8.2

31.72

27.53

1.67

3

<0.10

0.154

NW

WSR01

20200530

Rainy

Moderate

Mid-Flood

Middle

4.75

11:42

9.99

8.04

31.19

27.73

0.85

3

<0.10

0.157

NW

WSR01

20200530

Rainy

Moderate

Mid-Flood

Surface

1

11:43

8.92

8.25

31.85

27.67

1.42

3

<0.10

0.171

W

WSR01

20200530

Rainy

Moderate

Mid-Flood

Surface

1

11:43

9.47

8.25

31.37

27.41

1.58

3

<0.10

0.137

W

WSR02

20200530

Rainy

Moderate

Mid-Flood

Bottom

8.8

12:06

9.07

8.23

31.25

27.58

1.82

2

<0.10

0.184

SW

WSR02

20200530

Rainy

Moderate

Mid-Flood

Bottom

8.8

12:06

8.87

8.05

31.93

27.47

1.35

2

<0.10

0.153

W

WSR02

20200530

Rainy

Moderate

Mid-Flood

Middle

4.9

12:07

9.02

8.18

31.42

27.68

1.52

2

<0.10

0.147

SW

WSR02

20200530

Rainy

Moderate

Mid-Flood

Middle

4.9

12:07

9.65

8.35

31.71

27.67

1.42

2

<0.10

0.17

W

WSR02

20200530

Rainy

Moderate

Mid-Flood

Surface

1

12:08

9.74

8.1

31.88

27.63

1.34

3

<0.10

0.148

W


 

 

WSR02

20200530

Rainy

Moderate

Mid-Flood

Surface

1

12:08

8.93

8.19

31.45

27.58

1.6

3

<0.10

0.174

W

WSR03

20200530

Rainy

Moderate

Mid-Flood

Bottom

7.1

11:15

9.21

8.17

31.27

27.31

1.18

3

<0.10

0.162

NW

WSR03

20200530

Rainy

Moderate

Mid-Flood

Bottom

7.1

11:15

9.64

8.19

31.5

27.3

1.93

3

<0.10

0.186

W

WSR03

20200530

Rainy

Moderate

Mid-Flood

Middle

4.05

11:16

8.66

8.2

31.24

27.35

1.22

4

<0.10

0.179

W

WSR03

20200530

Rainy

Moderate

Mid-Flood

Middle

4.05

11:16

9.86

8.17

31.9

27.7

1.02

4

<0.10

0.145

W

WSR03

20200530

Rainy

Moderate

Mid-Flood

Surface

1

11:17

8.45

8.29

31.85

27.41

1.9

5

<0.10

0.18

SW

WSR03

20200530

Rainy

Moderate

Mid-Flood

Surface

1

11:17

9.15

8.3

31.2

27.45

1.14

5

<0.10

0.13

W

WSR04

20200530

Rainy

Moderate

Mid-Flood

Bottom

5.7

10:57

9.63

8.21

31.47

27.68

1.7

2

<0.10

0.135

W

WSR04

20200530

Rainy

Moderate

Mid-Flood

Bottom

5.7

10:57

9.32

8.21

32.07

27.53

1.36

2

<0.10

0.186

W

WSR04

20200530

Rainy

Moderate

Mid-Flood

Middle

3.35

10:58

9.44

8.32

31.77

27.46

1.36

4

<0.10

0.185

W

WSR04

20200530

Rainy

Moderate

Mid-Flood

Middle

3.35

10:58

8.85

8.12

31.94

27.67

1.2

4

<0.10

0.18

W

WSR04

20200530

Rainy

Moderate

Mid-Flood

Surface

1

10:59

9.69

8.25

31.44

27.45

1.75

6

<0.10

0.146

W

WSR04

20200530

Rainy

Moderate

Mid-Flood

Surface

1

10:59

9.13

8.24

31.29

27.37

1.15

6

<0.10

0.142

W

WSR16

20200530

Rainy

Moderate

Mid-Flood

Bottom

11.7

9:34

9.34

8.19

32.26

27.4

1.55

3

<0.10

0.206

NW

WSR16

20200530

Rainy

Moderate

Mid-Flood

Bottom

11.7

9:34

9.99

8.2

31.23

27.71

1.39

3

<0.10

0.214

NW

WSR16

20200530

Rainy

Moderate

Mid-Flood

Middle

6.35

9:35

8.94

8.37

31.38

27.71

0.83

5

<0.10

0.216

N

WSR16

20200530

Rainy

Moderate

Mid-Flood

Middle

6.35

9:35

9.57

8.14

32.01

27.57

1.68

5

<0.10

0.213

NW

WSR16

20200530

Rainy

Moderate

Mid-Flood

Surface

1

9:36

9.32

8.16

31.25

27.43

2.03

6

<0.10

0.167

N

WSR16

20200530

Rainy

Moderate

Mid-Flood

Surface

1

9:36

9.07

8.06

32.02

27.63

1.59

6

<0.10

0.166

NW

WSR33

20200530

Rainy

Moderate

Mid-Flood

Bottom

6.7

10:40

8.49

8.35

31.98

27.67

1.22

5

<0.10

0.154

W

WSR33

20200530

Rainy

Moderate

Mid-Flood

Bottom

6.7

10:40

9.69

8.27

31.93

27.45

1.21

5

<0.10

0.132

W

WSR33

20200530

Rainy

Moderate

Mid-Flood

Middle

3.85

10:41

8.62

8.19

31.4

27.4

1.03

4

<0.10

0.153

SW

WSR33

20200530

Rainy

Moderate

Mid-Flood

Middle

3.85

10:41

8.84

8.25

31.83

27.34

1.63

4

<0.10

0.141

W

WSR33

20200530

Rainy

Moderate

Mid-Flood

Surface

1

10:42

9.58

8.3

31.84

27.45

1.5

3

<0.10

0.157

SW

WSR33

20200530

Rainy

Moderate

Mid-Flood

Surface

1

10:42

9.35

8.31

31.69

27.39

1.95

3

<0.10

0.192

W

WSR36

20200530

Rainy

Moderate

Mid-Flood

Bottom

4.1

10:26

9.05

8.26

32.21

27.55

1.32

3

<0.10

0.156

W

WSR36

20200530

Rainy

Moderate

Mid-Flood

Bottom

4.1

10:26

8.56

8.22

31.23

27.59

1.96

3

<0.10

0.144

SW

WSR36

20200530

Rainy

Moderate

Mid-Flood

Surface

1

10:27

8.92

8.3

31.71

27.41

1.8

4

<0.10

0.192

W

WSR36

20200530

Rainy

Moderate

Mid-Flood

Surface

1

10:27

9.31

8.22

32.09

27.45

1.28

4

<0.10

0.144

W

WSR37

20200530

Rainy

Moderate

Mid-Flood

Bottom

6.6

10:10

9.06

8.12

31.44

27.55

1.19

3

<0.10

0.188

SW

WSR37

20200530

Rainy

Moderate

Mid-Flood

Bottom

6.6

10:10

8.98

8.36

31.91

27.56

2.01

3

<0.10

0.155

W

WSR37

20200530

Rainy

Moderate

Mid-Flood

Middle

3.8

10:11

9.56

8.13

31.85

27.49

1.67

4

<0.10

0.161

NW

WSR37

20200530

Rainy

Moderate

Mid-Flood

Middle

3.8

10:11

9.29

8.34

31.39

27.3

1.65

4

<0.10

0.134

SW


 

 

WSR37

20200530

Rainy

Moderate

Mid-Flood

Surface

1

10:12

9.72

8.19

31.45

27.62

1.13

5

<0.10

0.15

NW

WSR37

20200530

Rainy

Moderate

Mid-Flood

Surface

1

10:12

9.73

8.1

32.15

27.51

1.15

5

<0.10

0.176

W

CE

20200530

Rainy

Moderate

Mid-Ebb

Bottom

10.8

14:31

10.42

8.05

31.1

27.59

1.58

4

<0.10

0.41

E

CE

20200530

Rainy

Moderate

Mid-Ebb

Bottom

10.8

14:31

9.59

8.28

31.27

27.35

1.4

4

<0.10

0.45

SE

CE

20200530

Rainy

Moderate

Mid-Ebb

Middle

5.9

14:32

10.02

8.05

31.33

27.38

1.36

3

<0.10

0.286

E

CE

20200530

Rainy

Moderate

Mid-Ebb

Middle

5.9

14:32

9.95

8.01

32.03

27.5

1.15

3

<0.10

0.325

SE

CE

20200530

Rainy

Moderate

Mid-Ebb

Surface

1

14:33

9.34

8.05

31.99

27.62

1.38

3

<0.10

0.283

SE

CE

20200530

Rainy

Moderate

Mid-Ebb

Surface

1

14:33

9.74

8.18

31.17

27.16

1.16

3

<0.10

0.351

SE

CF

20200530

Rainy

Moderate

Mid-Ebb

Bottom

12.2

14:33

10.39

8.17

31.31

27.4

1.17

<2

<0.10

0.18

SE

CF

20200530

Rainy

Moderate

Mid-Ebb

Bottom

12.2

14:33

9.16

8.07

31.47

27.25

1.8

<2

<0.10

0.136

SE

CF

20200530

Rainy

Moderate

Mid-Ebb

Middle

6.6

14:34

9.56

8.08

31.4

27.57

1.44

3

<0.10

0.137

SE

CF

20200530

Rainy

Moderate

Mid-Ebb

Middle

6.6

14:34

9.5

8.12

31.86

27.65

1.15

3

<0.10

0.219

SE

CF

20200530

Rainy

Moderate

Mid-Ebb

Surface

1

14:35

9.66

8.12

31.96

27.4

1.4

4

<0.10

0.221

E

CF

20200530

Rainy

Moderate

Mid-Ebb

Surface

1

14:35

9.16

8.12

31.46

27.15

1.79

4

<0.10

0.143

E

NF1

20200530

Rainy

Moderate

Mid-Ebb

Bottom

10.4

15:14

10.47

8.26

31.21

27.48

1.32

4

<0.10

0.193

SE

NF1

20200530

Rainy

Moderate

Mid-Ebb

Bottom

10.4

15:14

10.45

8.09

31.57

27.31

1.74

4

<0.10

0.203

E

NF1

20200530

Rainy

Moderate

Mid-Ebb

Middle

5.7

15:15

10.44

8.1

31.9

27.37

0.9

4

<0.10

0.132

SE

NF1

20200530

Rainy

Moderate

Mid-Ebb

Middle

5.7

15:15

10.25

8.03

32.29

27.68

1.52

4

<0.10

0.188

SE

NF1

20200530

Rainy

Moderate

Mid-Ebb

Surface

1

15:16

8.61

8.13

32.1

27.63

1.35

6

<0.10

0.167

E

NF1

20200530

Rainy

Moderate

Mid-Ebb

Surface

1

15:16

8.67

8.18

31.43

27.36

1.77

6

<0.10

0.189

E

NF2

20200530

Rainy

Moderate

Mid-Ebb

Bottom

8.3

16:46

10.39

8.08

31.55

27.3

1.15

4

<0.10

0.214

SE

NF2

20200530

Rainy

Moderate

Mid-Ebb

Bottom

8.3

16:46

8.7

8.05

31.72

27.56

1.27

4

<0.10

0.161

E

NF2

20200530

Rainy

Moderate

Mid-Ebb

Middle

4.65

16:47

9.61

8.11

31.93

27.54

0.87

3

<0.10

0.177

E

NF2

20200530

Rainy

Moderate

Mid-Ebb

Middle

4.65

16:47

8.9

8.27

31.07

27.41

1.21

3

<0.10

0.165

E

NF2

20200530

Rainy

Moderate

Mid-Ebb

Surface

1

16:48

9.3

8.04

31.15

27.64

1.13

3

<0.10

0.162

E

NF2

20200530

Rainy

Moderate

Mid-Ebb

Surface

1

16:48

9.13

8.15

32.06

27.41

1.81

3

<0.10

0.19

SE

NF3

20200530

Rainy

Moderate

Mid-Ebb

Bottom

9.5

16:58

9.97

8.08

31.11

27.13

1.6

4

<0.10

0.217

SE

NF3

20200530

Rainy

Moderate

Mid-Ebb

Bottom

9.5

16:58

9.43

8.06

31.55

27.31

1.29

4

<0.10

0.17

E

NF3

20200530

Rainy

Moderate

Mid-Ebb

Middle

5.25

16:59

8.89

8.2

31.89

27.15

1.46

3

<0.10

0.135

SE

NF3

20200530

Rainy

Moderate

Mid-Ebb

Middle

5.25

16:59

10.26

8.19

32.32

27.65

0.93

3

<0.10

0.147

SE

NF3

20200530

Rainy

Moderate

Mid-Ebb

Surface

1

17:00

8.8

8.02

31.21

27.18

1.51

3

<0.10

0.168

SE

NF3

20200530

Rainy

Moderate

Mid-Ebb

Surface

1

17:00

9.75

8.16

32.02

27.68

1.29

3

<0.10

0.208

E

WSR01

20200530

Rainy

Moderate

Mid-Ebb

Bottom

7.2

17:22

9.27

8.12

31.92

27.23

1.27

3

<0.10

0.22

E


 

 

WSR01

20200530

Rainy

Moderate

Mid-Ebb

Bottom

7.2

17:22

9.17

8.04

31.84

27.31

1.48

3

<0.10

0.17

E

WSR01

20200530

Rainy

Moderate

Mid-Ebb

Middle

4.1

17:23

9.66

8.1

31.34

27.67

0.92

3

<0.10

0.158

E

WSR01

20200530

Rainy

Moderate

Mid-Ebb

Middle

4.1

17:23

9.14

8.22

31.92

27.47

1.22

3

<0.10

0.166

SE

WSR01

20200530

Rainy

Moderate

Mid-Ebb

Surface

1

17:24

9.07

8.2

31.69

27.19

1.46

4

<0.10

0.134

SE

WSR01

20200530

Rainy

Moderate

Mid-Ebb

Surface

1

17:24

10.31

8.02

31.87

27.56

1.55

4

<0.10

0.133

E

WSR02

20200530

Rainy

Moderate

Mid-Ebb

Bottom

8.6

16:58

8.94

8.22

32.16

27.34

1.67

2

<0.10

0.15

E

WSR02

20200530

Rainy

Moderate

Mid-Ebb

Bottom

8.6

16:58

9.21

8.16

31.93

27.25

1.31

2

<0.10

0.192

E

WSR02

20200530

Rainy

Moderate

Mid-Ebb

Middle

4.8

16:59

9.91

8.12

32.29

27.23

1.05

2

<0.10

0.153

SE

WSR02

20200530

Rainy

Moderate

Mid-Ebb

Middle

4.8

16:59

9.13

8.17

31.08

27.64

0.93

2

<0.10

0.186

SE

WSR02

20200530

Rainy

Moderate

Mid-Ebb

Surface

1

17:00

9.48

8.27

32.37

27.52

1.69

3

<0.10

0.151

SE

WSR02

20200530

Rainy

Moderate

Mid-Ebb

Surface

1

17:00

8.98

8.1

31.83

27.37

1.59

3

<0.10

0.197

SE

WSR03

20200530

Rainy

Moderate

Mid-Ebb

Bottom

6.8

16:28

9.83

8.22

31.31

27.39

1.41

4

<0.10

0.158

E

WSR03

20200530

Rainy

Moderate

Mid-Ebb

Bottom

6.8

16:28

9.19

8.08

31.5

27.12

1.68

4

<0.10

0.141

E

WSR03

20200530

Rainy

Moderate

Mid-Ebb

Middle

3.9

16:29

10.19

8.23

32.14

27.24

0.88

<2

<0.10

0.212

SE

WSR03

20200530

Rainy

Moderate

Mid-Ebb

Middle

3.9

16:29

9.66

8.11

31.97

27.17

1.42

<2

<0.10

0.16

E

WSR03

20200530

Rainy

Moderate

Mid-Ebb

Surface

1

16:30

9.51

8.03

32.35

27.4

1.81

<2

<0.10

0.22

SE

WSR03

20200530

Rainy

Moderate

Mid-Ebb

Surface

1

16:30

9.84

8.24

32.29

27.15

1.26

<2

<0.10

0.187

SE

WSR04

20200530

Rainy

Moderate

Mid-Ebb

Bottom

6.1

16:11

8.59

8.06

31.87

27.4

1.81

3

<0.10

0.154

SE

WSR04

20200530

Rainy

Moderate

Mid-Ebb

Bottom

6.1

16:11

9.02

8.25

32.13

27.14

1.35

3

<0.10

0.209

E

WSR04

20200530

Rainy

Moderate

Mid-Ebb

Middle

3.55

16:12

9.72

8.17

31.48

27.24

1.35

2

<0.10

0.203

SE

WSR04

20200530

Rainy

Moderate

Mid-Ebb

Middle

3.55

16:12

8.84

8.2

31.68

27.16

1.11

2

<0.10

0.217

E

WSR04

20200530

Rainy

Moderate

Mid-Ebb

Surface

1

16:13

8.57

8.13

31.98

27.57

1.64

2

<0.10

0.21

SE

WSR04

20200530

Rainy

Moderate

Mid-Ebb

Surface

1

16:13

8.64

8.27

31.07

27.58

1.49

2

<0.10

0.156

E

WSR16

20200530

Rainy

Moderate

Mid-Ebb

Bottom

11.5

14:53

9.51

8.02

32.04

27.16

1.12

2

<0.10

0.145

SE

WSR16

20200530

Rainy

Moderate

Mid-Ebb

Bottom

11.5

14:53

9.4

8.01

32.03

27.65

1.43

2

<0.10

0.143

SE

WSR16

20200530

Rainy

Moderate

Mid-Ebb

Middle

6.25

14:54

8.79

8.02

31.85

27.59

1.25

4

<0.10

0.164

SE

WSR16

20200530

Rainy

Moderate

Mid-Ebb

Middle

6.25

14:54

9.52

8.09

32.27

27.66

1.52

4

<0.10

0.167

SE

WSR16

20200530

Rainy

Moderate

Mid-Ebb

Surface

1

14:55

9.88

8.14

32.1

27.42

1.14

4

<0.10

0.177

E

WSR16

20200530

Rainy

Moderate

Mid-Ebb

Surface

1

14:55

9.43

8.23

31.06

27.61

1.46

4

<0.10

0.198

SE

WSR33

20200530

Rainy

Moderate

Mid-Ebb

Bottom

6.4

15:55

10.14

8.16

31.49

27.43

1.81

<2

<0.10

0.159

SE

WSR33

20200530

Rainy

Moderate

Mid-Ebb

Bottom

6.4

15:55

10.38

8.02

31.41

27.5

1.81

<2

<0.10

0.154

SE

WSR33

20200530

Rainy

Moderate

Mid-Ebb

Middle

3.7

15:56

9.24

8.01

31.8

27.26

1.4

2

<0.10

0.217

SE

WSR33

20200530

Rainy

Moderate

Mid-Ebb

Middle

3.7

15:56

10.2

8.03

31.78

27.12

1.25

2

<0.10

0.171

E


 

 

WSR33

20200530

Rainy

Moderate

Mid-Ebb

Surface

1

15:57

10.31

8.07

32.25

27.51

1.36

3

<0.10

0.137

E

WSR33

20200530

Rainy

Moderate

Mid-Ebb

Surface

1

15:57

9.38

8.1

32.21

27.26

1.12

3

<0.10

0.153

E

WSR36

20200530

Rainy

Moderate

Mid-Ebb

Bottom

3.9

15:43

8.72

8.24

31.98

27.49

1.66

2

<0.10

0.169

SE

WSR36

20200530

Rainy

Moderate

Mid-Ebb

Bottom

3.9

15:43

9.72

8.06

32.24

27.61

1.25

2

<0.10

0.167

E

WSR36

20200530

Rainy

Moderate

Mid-Ebb

Surface

1

15:44

8.8

8.07

31.15

27.68

1.46

3

<0.10

0.219

E

WSR36

20200530

Rainy

Moderate

Mid-Ebb

Surface

1

15:44

8.96

8.02

31.38

27.27

1.68

3

<0.10

0.211

E

WSR37

20200530

Rainy

Moderate

Mid-Ebb

Bottom

6.3

15:26

10.09

8.2

32.24

27.21

1.32

6

<0.10

0.141

E

WSR37

20200530

Rainy

Moderate

Mid-Ebb

Bottom

6.3

15:26

10.25

8.04

31.26

27.4

1.65

6

<0.10

0.164

SE

WSR37

20200530

Rainy

Moderate

Mid-Ebb

Middle

3.65

15:27

9.18

8.12

32.23

27.27

1.54

4

<0.10

0.214

E

WSR37

20200530

Rainy

Moderate

Mid-Ebb

Middle

3.65

15:27

8.95

8.26

32.35

27.17

1.2

5

<0.10

0.141

E

WSR37

20200530

Rainy

Moderate

Mid-Ebb

Surface

1

15:28

9

8.08

32.34

27.35

1.82

4

<0.10

0.15

SE

WSR37

20200530

Rainy

Moderate

Mid-Ebb

Surface

1

15:28

9.11

8.03

32.19

27.39

1.24

4

<0.10

0.139

SE

CE

20200602

Cloudy

Moderate

Mid-Ebb

Bottom

11.2

8:00

8.09

8.07

31.99

26.3

2.36

4

<0.10

0.386

E

CE

20200602

Cloudy

Moderate

Mid-Ebb

Bottom

11.2

8:00

9.6

8.03

31.51

26.61

2.19

4

<0.10

0.303

SE

CE

20200602

Cloudy

Moderate

Mid-Ebb

Middle

6.1

8:01

9.59

8.16

31.36

26.78

2.08

4

<0.10

0.437

E

CE

20200602

Cloudy

Moderate

Mid-Ebb

Middle

6.1

8:01

8.14

8.05

31.45

26.78

1.9

4

<0.10

0.409

E

CE

20200602

Cloudy

Moderate

Mid-Ebb

Surface

1

8:02

7.62

8.24

32.14

26.61

1.54

3

<0.10

0.352

E

CE

20200602

Cloudy

Moderate

Mid-Ebb

Surface

1

8:02

8.26

8.03

32.87

26.18

1.34

3

<0.10

0.443

SE

CF

20200602

Cloudy

Moderate

Mid-Ebb

Bottom

11

8:07

7.91

8.15

32.38

26.72

2.15

2

<0.10

0.13

E

CF

20200602

Cloudy

Moderate

Mid-Ebb

Bottom

11

8:07

9.53

8.17

31.81

26.6

1.83

2

<0.10

0.202

E

CF

20200602

Cloudy

Moderate

Mid-Ebb

Middle

6

8:08

9.16

8.23

31.41

26.31

1.97

3

<0.10

0.136

E

CF

20200602

Cloudy

Moderate

Mid-Ebb

Middle

6

8:08

8.93

8.16

31.48

26.77

1.12

3

<0.10

0.185

SE

CF

20200602

Cloudy

Moderate

Mid-Ebb

Surface

1

8:09

7.67

8.2

32.65

26.44

1.45

3

<0.10

0.13

E

CF

20200602

Cloudy

Moderate

Mid-Ebb

Surface

1

8:09

8.36

8.05

32.18

26.54

0.93

3

<0.10

0.141

E

NF1

20200602

Cloudy

Moderate

Mid-Ebb

Bottom

10.1

8:41

8.43

8.16

32.53

26.92

1.59

3

<0.10

0.16

E

NF1

20200602

Cloudy

Moderate

Mid-Ebb

Bottom

10.1

8:41

9.43

8.15

32.51

26.79

1.51

3

<0.10

0.132

E

NF1

20200602

Cloudy

Moderate

Mid-Ebb

Middle

5.55

8:42

9.19

8.13

32.43

27.11

1.59

4

<0.10

0.136

E

NF1

20200602

Cloudy

Moderate

Mid-Ebb

Middle

5.55

8:42

9.22

8.18

32.73

26.74

1.62

4

<0.10

0.14

SE

NF1

20200602

Cloudy

Moderate

Mid-Ebb

Surface

1

8:43

7.78

8.13

32.33

26.46

2.01

5

<0.10

0.188

SE

NF1

20200602

Cloudy

Moderate

Mid-Ebb

Surface

1

8:43

7.82

8.15

32.01

27.05

0.98

5

<0.10

0.191

E

NF2

20200602

Cloudy

Moderate

Mid-Ebb

Bottom

7.7

10:13

9.39

8.23

31.65

27.19

1.5

3

<0.10

0.169

SE

NF2

20200602

Cloudy

Moderate

Mid-Ebb

Bottom

7.7

10:13

8.26

8.22

31.67

27.34

2.55

3

<0.10

0.185

SE

NF2

20200602

Cloudy

Moderate

Mid-Ebb

Middle

4.35

10:14

9.55

8.18

31.33

26.67

1.7

4

<0.10

0.207

E


 

 

NF2

20200602

Cloudy

Moderate

Mid-Ebb

Middle

4.35

10:14

8.64

8.06

32.32

27.3

1.31

4

<0.10

0.148

E

NF2

20200602

Cloudy

Moderate

Mid-Ebb

Surface

1

10:15

7.94

8.19

32.83

27.67

2.17

5

<0.10

0.193

E

NF2

20200602

Cloudy

Moderate

Mid-Ebb

Surface

1

10:15

7.66

8.2

31.87

26.63

1.04

5

<0.10

0.189

E

NF3

20200602

Cloudy

Moderate

Mid-Ebb

Bottom

9.6

10:23

9.61

8.08

32.78

27.78

2.24

6

<0.10

0.188

SE

NF3

20200602

Cloudy

Moderate

Mid-Ebb

Bottom

9.6

10:23

9.68

8.12

31.96

26.95

2.47

6

<0.10

0.184

SE

NF3

20200602

Cloudy

Moderate

Mid-Ebb

Middle

5.3

10:24

7.73

8.13

32.28

27.47

1.25

4

<0.10

0.133

SE

NF3

20200602

Cloudy

Moderate

Mid-Ebb

Middle

5.3

10:24

8.05

8.05

32.75

26.81

1.73

4

<0.10

0.197

SE

NF3

20200602

Cloudy

Moderate

Mid-Ebb

Surface

1

10:25

9.63

8.16

32.55

27.18

1.35

3

<0.10

0.132

E

NF3

20200602

Cloudy

Moderate

Mid-Ebb

Surface

1

10:25

9.7

8.09

32.6

26.67

1.85

3

<0.10

0.171

E

WSR01

20200602

Cloudy

Moderate

Mid-Ebb

Bottom

7.9

10:56

8.59

8.12

31.45

27.79

2.36

5

<0.10

0.156

E

WSR01

20200602

Cloudy

Moderate

Mid-Ebb

Bottom

7.9

10:56

9.6

8.14

32.35

26.94

1.8

5

<0.10

0.144

E

WSR01

20200602

Cloudy

Moderate

Mid-Ebb

Middle

4.45

10:57

8.91

8.05

32.17

27.35

2.09

4

<0.10

0.141

SE

WSR01

20200602

Cloudy

Moderate

Mid-Ebb

Middle

4.45

10:57

9.5

8.1

31.44

27.09

1.53

4

<0.10

0.202

SE

WSR01

20200602

Cloudy

Moderate

Mid-Ebb

Surface

1

10:58

8.78

8.09

32.07

27.39

1.3

3

<0.10

0.159

E

WSR01

20200602

Cloudy

Moderate

Mid-Ebb

Surface

1

10:58

8.12

8.2

32.81

27.23

1.37

2

<0.10

0.13

SE

WSR02

20200602

Cloudy

Moderate

Mid-Ebb

Bottom

8.7

10:32

7.88

8.08

32.93

27.03

1.97

4

<0.10

0.186

E

WSR02

20200602

Cloudy

Moderate

Mid-Ebb

Bottom

8.7

10:32

8.06

8.22

32.51

27.77

2.36

3

<0.10

0.209

SE

WSR02

20200602

Cloudy

Moderate

Mid-Ebb

Middle

4.85

10:33

7.69

8.09

31.89

27.6

1.92

3

<0.10

0.22

SE

WSR02

20200602

Cloudy

Moderate

Mid-Ebb

Middle

4.85

10:33

8.87

8.08

32.74

27.6

1.58

3

<0.10

0.133

E

WSR02

20200602

Cloudy

Moderate

Mid-Ebb

Surface

1

10:34

7.5

8.2

31.91

27.81

2.09

2

<0.10

0.149

SE

WSR02

20200602

Cloudy

Moderate

Mid-Ebb

Surface

1

10:34

9.22

8.02

32.09

27.41

1.89

2

<0.10

0.166

E

WSR03

20200602

Cloudy

Moderate

Mid-Ebb

Bottom

7.2

9:57

9.18

8.13

31.56

26.49

2.59

3

<0.10

0.19

E

WSR03

20200602

Cloudy

Moderate

Mid-Ebb

Bottom

7.2

9:57

8

8.18

32.88

27.03

2.25

3

<0.10

0.186

E

WSR03

20200602

Cloudy

Moderate

Mid-Ebb

Middle

4.1

9:58

7.76

8.24

31.33

26.69

2.02

4

<0.10

0.196

SE

WSR03

20200602

Cloudy

Moderate

Mid-Ebb

Middle

4.1

9:58

7.73

8.03

31.79

26.43

1.53

4

<0.10

0.16

E

WSR03

20200602

Cloudy

Moderate

Mid-Ebb

Surface

1

9:59

8.11

8.04

32.01

27.28

0.94

4

<0.10

0.191

E

WSR03

20200602

Cloudy

Moderate

Mid-Ebb

Surface

1

9:59

8.73

8.12

31.95

27.07

2.17

4

<0.10

0.15

E

WSR04

20200602

Cloudy

Moderate

Mid-Ebb

Bottom

5.8

9:40

9.4

8.05

32.97

27.33

2.6

4

<0.10

0.153

E

WSR04

20200602

Cloudy

Moderate

Mid-Ebb

Bottom

5.8

9:40

8.99

8.02

31.93

27.09

1.92

4

<0.10

0.143

SE

WSR04

20200602

Cloudy

Moderate

Mid-Ebb

Middle

3.4

9:41

7.59

8.07

32.67

27.5

1.08

3

<0.10

0.181

SE

WSR04

20200602

Cloudy

Moderate

Mid-Ebb

Middle

3.4

9:41

9.54

8.07

32.06

27.13

1.18

3

<0.10

0.2

SE

WSR04

20200602

Cloudy

Moderate

Mid-Ebb

Surface

1

9:42

9.55

8.18

32.29

27.1

1.58

3

<0.10

0.151

E

WSR04

20200602

Cloudy

Moderate

Mid-Ebb

Surface

1

9:42

9.13

8.04

31.83

27.35

1.95

3

<0.10

0.156

E


 

 

WSR16

20200602

Cloudy

Moderate

Mid-Ebb

Bottom

11.6

8:19

9.14

8.06

32.96

26.99

1.7

2

<0.10

0.162

E

WSR16

20200602

Cloudy

Moderate

Mid-Ebb

Bottom

11.6

8:19

9.41

8.18

32.33

26.52

1.74

2

<0.10

0.154

E

WSR16

20200602

Cloudy

Moderate

Mid-Ebb

Middle

6.3

8:20

8.12

8.05

32.22

26.71

1.96

3

<0.10

0.212

SE

WSR16

20200602

Cloudy

Moderate

Mid-Ebb

Middle

6.3

8:20

8.26

8.09

31.58

26.06

1.05

3

<0.10

0.172

SE

WSR16

20200602

Cloudy

Moderate

Mid-Ebb

Surface

1

8:21

8.07

8.22

32.44

26.17

1.54

4

<0.10

0.163

SE

WSR16

20200602

Cloudy

Moderate

Mid-Ebb

Surface

1

8:21

9.44

8.03

32.71

26.67

1.43

4

<0.10

0.163

SE

WSR33

20200602

Cloudy

Moderate

Mid-Ebb

Bottom

6.5

9:22

9.44

8.19

32.04

26.71

1.57

4

<0.10

0.214

E

WSR33

20200602

Cloudy

Moderate

Mid-Ebb

Bottom

6.5

9:22

9.13

8.15

31.38

27.61

2.3

4

<0.10

0.154

SE

WSR33

20200602

Cloudy

Moderate

Mid-Ebb

Middle

3.75

9:23

9.14

8.03

32.57

27.56

1.52

3

<0.10

0.196

E

WSR33

20200602

Cloudy

Moderate

Mid-Ebb

Middle

3.75

9:23

8.95

8.07

31.95

26.59

1.15

3

<0.10

0.164

E

WSR33

20200602

Cloudy

Moderate

Mid-Ebb

Surface

1

9:24

9.62

8.16

31.64

26.9

2

2

<0.10

0.19

SE

WSR33

20200602

Cloudy

Moderate

Mid-Ebb

Surface

1

9:24

8.46

8.18

32.52

27.04

1.89

2

<0.10

0.169

SE

WSR36

20200602

Cloudy

Moderate

Mid-Ebb

Bottom

4.1

9:08

8.04

8.21

31.74

27.05

2.65

7

<0.10

0.159

SE

WSR36

20200602

Cloudy

Moderate

Mid-Ebb

Bottom

4.1

9:08

8.01

8.14

31.4

26.9

2.12

7

<0.10

0.157

SE

WSR36

20200602

Cloudy

Moderate

Mid-Ebb

Surface

1

9:09

9.53

8.21

32.16

26.95

1.14

4

<0.10

0.168

E

WSR36

20200602

Cloudy

Moderate

Mid-Ebb

Surface

1

9:09

8.51

8.1

31.65

27.6

1.39

4

<0.10

0.161

E

WSR37

20200602

Cloudy

Moderate

Mid-Ebb

Bottom

6.5

8:52

7.83

8.2

32.42

26.8

1.76

6

<0.10

0.176

E

WSR37

20200602

Cloudy

Moderate

Mid-Ebb

Bottom

6.5

8:52

9.33

8.14

32.79

26.4

1.81

6

<0.10

0.206

E

WSR37

20200602

Cloudy

Moderate

Mid-Ebb

Middle

3.75

8:53

9.13

8.03

31.36

26.44

1.99

4

<0.10

0.221

SE

WSR37

20200602

Cloudy

Moderate

Mid-Ebb

Middle

3.75

8:53

9.58

8.07

32.91

26.83

1.2

4

<0.10

0.178

SE

WSR37

20200602

Cloudy

Moderate

Mid-Ebb

Surface

1

8:54

7.67

8.02

32.03

26.48

1.38

3

<0.10

0.197

E

WSR37

20200602

Cloudy

Moderate

Mid-Ebb

Surface

1

8:54

9.03

8.06

31.86

26.92

1.85

3

<0.10

0.165

E

CE

20200602

Cloudy

Moderate

Mid-Flood

Bottom

11.2

14:02

8.79

8.25

31.99

27.68

1.71

3

<0.10

0.203

NW

CE

20200602

Cloudy

Moderate

Mid-Flood

Bottom

11.2

14:02

8.98

8.23

32.35

27.81

2.5

3

<0.10

0.159

NW

CE

20200602

Cloudy

Moderate

Mid-Flood

Middle

6.1

14:03

9.39

8.14

31.68

27.48

1.13

2

<0.10

0.163

NW

CE

20200602

Cloudy

Moderate

Mid-Flood

Middle

6.1

14:03

7.97

8.19

31.67

27.76

1.77

2

<0.10

0.162

NW

CE

20200602

Cloudy

Moderate

Mid-Flood

Surface

1

14:04

8.1

8.32

31.2

27.81

1.03

<2

<0.10

0.213

N

CE

20200602

Cloudy

Moderate

Mid-Flood

Surface

1

14:04

8.33

8.34

32.21

27.71

1.45

<2

<0.10

0.218

N

CF

20200602

Cloudy

Moderate

Mid-Flood

Bottom

11.3

14:01

9.38

8.01

32.03

27.93

2.06

5

<0.10

0.241

SW

CF

20200602

Cloudy

Moderate

Mid-Flood

Bottom

11.3

14:01

8.88

8.21

31.72

27.53

2.51

5

<0.10

0.158

NW

CF

20200602

Cloudy

Moderate

Mid-Flood

Middle

6.15

14:02

9.22

8.22

31.58

27.52

2.04

6

<0.10

0.222

SW

CF

20200602

Cloudy

Moderate

Mid-Flood

Middle

6.15

14:02

9.25

8.34

31.77

27.38

1.93

6

<0.10

0.221

W

CF

20200602

Cloudy

Moderate

Mid-Flood

Surface

1

14:03

8.11

8.09

32.45

27.58

1.05

6

<0.10

0.218

W


 

 

CF

20200602

Cloudy

Moderate

Mid-Flood

Surface

1

14:03

8.65

8.02

32.22

27.91

0.9

6

<0.10

0.223

W

NF1

20200602

Cloudy

Moderate

Mid-Flood

Bottom

10.8

14:44

8.72

8.13

32.41

27.92

1.82

3

<0.10

0.186

W

NF1

20200602

Cloudy

Moderate

Mid-Flood

Bottom

10.8

14:44

9.14

8.29

31.55

27.49

1.89

3

<0.10

0.152

W

NF1

20200602

Cloudy

Moderate

Mid-Flood

Middle

5.9

14:45

9.17

8.02

31.49

27.42

1.82

3

<0.10

0.173

SW

NF1

20200602

Cloudy

Moderate

Mid-Flood

Middle

5.9

14:45

8.08

8.08

32.04

27.62

1.27

3

<0.10

0.196

W

NF1

20200602

Cloudy

Moderate

Mid-Flood

Surface

1

14:46

8.58

8.2

31.35

27.43

1.45

4

<0.10

0.129

NW

NF1

20200602

Cloudy

Moderate

Mid-Flood

Surface

1

14:46

9.21

8.16

32.48

27.45

1.07

4

<0.10

0.13

NW

NF2

20200602

Cloudy

Moderate

Mid-Flood

Bottom

9.5

16:14

8.65

8.05

31.54

27.77

2.62

3

<0.10

0.193

W

NF2

20200602

Cloudy

Moderate

Mid-Flood

Bottom

9.5

16:14

8.78

8.29

31.49

27.57

2.31

3

<0.10

0.128

SW

NF2

20200602

Cloudy

Moderate

Mid-Flood

Middle

5.25

16:15

8.68

8.06

32

27.41

1.91

3

<0.10

0.193

W

NF2

20200602

Cloudy

Moderate

Mid-Flood

Middle

5.25

16:15

9.24

8.17

31.83

27.74

1.92

3

<0.10

0.135

W

NF2

20200602

Cloudy

Moderate

Mid-Flood

Surface

1

16:16

9.29

8.18

31.17

27.66

0.76

2

<0.10

0.183

W

NF2

20200602

Cloudy

Moderate

Mid-Flood

Surface

1

16:16

8.31

8.19

31.78

27.93

1.54

2

<0.10

0.149

W

NF3

20200602

Cloudy

Moderate

Mid-Flood

Bottom

10.1

16:22

9.02

8.11

31.16

27.34

1.57

5

<0.10

0.189

SW

NF3

20200602

Cloudy

Moderate

Mid-Flood

Bottom

10.1

16:22

8.15

8.28

31.1

27.88

2.09

5

<0.10

0.151

NW

NF3

20200602

Cloudy

Moderate

Mid-Flood

Middle

5.55

16:23

8.47

8.34

31.39

27.41

1.28

4

<0.10

0.162

SW

NF3

20200602

Cloudy

Moderate

Mid-Flood

Middle

5.55

16:23

9.11

8.3

32.19

27.63

1.31

4

<0.10

0.196

W

NF3

20200602

Cloudy

Moderate

Mid-Flood

Surface

1

16:24

8.34

8.16

32.33

27.49

0.8

4

<0.10

0.176

NW

NF3

20200602

Cloudy

Moderate

Mid-Flood

Surface

1

16:24

8.2

8.22

32.01

27.81

1.03

4

<0.10

0.178

SW

WSR01

20200602

Cloudy

Moderate

Mid-Flood

Bottom

7.3

16:47

8.14

8.31

31.59

27.45

1.91

2

<0.10

0.184

W

WSR01

20200602

Cloudy

Moderate

Mid-Flood

Bottom

7.3

16:47

8.98

8.07

31.76

27.42

2.21

2

<0.10

0.144

SW

WSR01

20200602

Cloudy

Moderate

Mid-Flood

Middle

4.15

16:48

9.47

8

31.98

27.76

1.59

4

<0.10

0.194

W

WSR01

20200602

Cloudy

Moderate

Mid-Flood

Middle

4.15

16:48

8.91

8.32

31.33

27.89

1.81

4

<0.10

0.162

W

WSR01

20200602

Cloudy

Moderate

Mid-Flood

Surface

1

16:49

9.16

8.28

31.89

27.74

1.44

5

<0.10

0.13

SW

WSR01

20200602

Cloudy

Moderate

Mid-Flood

Surface

1

16:49

9.3

8.06

32.53

27.88

1.06

5

<0.10

0.147

W

WSR02

20200602

Cloudy

Moderate

Mid-Flood

Bottom

8.1

16:23

8.37

8.08

32.27

27.64

1.62

3

<0.10

0.148

W

WSR02

20200602

Cloudy

Moderate

Mid-Flood

Bottom

8.1

16:23

8.06

8.29

32.52

27.42

1.67

3

<0.10

0.18

W

WSR02

20200602

Cloudy

Moderate

Mid-Flood

Middle

4.55

16:24

8.08

8.29

31.88

27.56

1.42

3

<0.10

0.171

W

WSR02

20200602

Cloudy

Moderate

Mid-Flood

Middle

4.55

16:24

8.42

8.15

32.21

27.84

1.55

2

<0.10

0.146

W

WSR02

20200602

Cloudy

Moderate

Mid-Flood

Surface

1

16:25

7.91

8.14

31.55

27.5

0.89

3

<0.10

0.173

NW

WSR02

20200602

Cloudy

Moderate

Mid-Flood

Surface

1

16:25

9.25

8.28

32.29

27.62

1.45

3

<0.10

0.137

W

WSR03

20200602

Cloudy

Moderate

Mid-Flood

Bottom

7.3

15:57

9.45

8.1

31.74

27.63

1.72

4

<0.10

0.195

SW

WSR03

20200602

Cloudy

Moderate

Mid-Flood

Bottom

7.3

15:57

8.13

8.22

32.31

27.59

2.04

4

<0.10

0.169

NW


 

 

WSR03

20200602

Cloudy

Moderate

Mid-Flood

Middle

4.15

15:58

8.38

8.3

32.5

27.96

1.11

4

<0.10

0.144

W

WSR03

20200602

Cloudy

Moderate

Mid-Flood

Middle

4.15

15:58

8.34

8.28

31.19

27.8

1.28

4

<0.10

0.191

W

WSR03

20200602

Cloudy

Moderate

Mid-Flood

Surface

1

15:59

7.88

8.32

31.57

27.74

1.31

4

<0.10

0.187

W

WSR03

20200602

Cloudy

Moderate

Mid-Flood

Surface

1

15:59

9.02

8.01

31.98

27.42

1.78

4

<0.10

0.174

W

WSR04

20200602

Cloudy

Moderate

Mid-Flood

Bottom

6.2

15:41

8.48

8.3

31.64

27.39

1.9

6

<0.10

0.144

SW

WSR04

20200602

Cloudy

Moderate

Mid-Flood

Bottom

6.2

15:41

8.32

8.28

31.49

27.74

2.54

5

<0.10

0.188

W

WSR04

20200602

Cloudy

Moderate

Mid-Flood

Middle

3.6

15:42

7.95

8.19

31.97

27.93

1.45

4

<0.10

0.183

W

WSR04

20200602

Cloudy

Moderate

Mid-Flood

Middle

3.6

15:42

8.88

8.12

31.35

27.78

1.7

4

<0.10

0.151

SW

WSR04

20200602

Cloudy

Moderate

Mid-Flood

Surface

1

15:43

7.88

8.06

32.08

27.52

0.87

4

<0.10

0.185

NW

WSR04

20200602

Cloudy

Moderate

Mid-Flood

Surface

1

15:43

8.5

8.31

31.6

27.85

1.19

4

<0.10

0.134

W

WSR16

20200602

Cloudy

Moderate

Mid-Flood

Bottom

11.8

14:24

9.24

8.12

32.1

27.8

2.62

3

<0.10

0.225

NW

WSR16

20200602

Cloudy

Moderate

Mid-Flood

Bottom

11.8

14:24

8.58

8.12

31.53

27.71

2.36

3

<0.10

0.178

NW

WSR16

20200602

Cloudy

Moderate

Mid-Flood

Middle

6.4

14:25

7.93

8.06

32.29

27.76

1.83

4

<0.10

0.182

NW

WSR16

20200602

Cloudy

Moderate

Mid-Flood

Middle

6.4

14:25

9.41

8.09

32.51

27.47

1.5

4

<0.10

0.188

N

WSR16

20200602

Cloudy

Moderate

Mid-Flood

Surface

1

14:26

8.26

8.18

31.27

27.51

1.65

4

<0.10

0.224

N

WSR16

20200602

Cloudy

Moderate

Mid-Flood

Surface

1

14:26

9.4

8.18

32.02

27.55

0.81

4

<0.10

0.207

NW

WSR33

20200602

Cloudy

Moderate

Mid-Flood

Bottom

6.7

15:25

8.51

8.17

31.96

27.85

1.83

5

<0.10

0.129

SW

WSR33

20200602

Cloudy

Moderate

Mid-Flood

Bottom

6.7

15:25

8.43

8.03

32.3

27.76

2.24

5

<0.10

0.132

W

WSR33

20200602

Cloudy

Moderate

Mid-Flood

Middle

3.85

15:26

7.93

8.31

31.59

27.43

1.81

4

<0.10

0.139

SW

WSR33

20200602

Cloudy

Moderate

Mid-Flood

Middle

3.85

15:26

7.89

8.06

32.29

27.92

1.53

4

<0.10

0.149

W

WSR33

20200602

Cloudy

Moderate

Mid-Flood

Surface

1

15:27

8.73

8.33

31.59

27.3

0.79

3

<0.10

0.192

SW

WSR33

20200602

Cloudy

Moderate

Mid-Flood

Surface

1

15:27

8.71

8

31.87

27.63

1.53

3

<0.10

0.166

W

WSR36

20200602

Cloudy

Moderate

Mid-Flood

Bottom

4.7

15:13

9.37

8.12

31.92

27.54

2.22

3

<0.10

0.186

SW

WSR36

20200602

Cloudy

Moderate

Mid-Flood

Bottom

4.7

15:13

9.13

8.14

32.11

27.83

2.43

3

<0.10

0.14

SW

WSR36

20200602

Cloudy

Moderate

Mid-Flood

Surface

1

15:14

9.34

8.02

31.93

27.89

0.8

5

<0.10

0.195

W

WSR36

20200602

Cloudy

Moderate

Mid-Flood

Surface

1

15:14

8.65

8.26

32.18

27.33

1.6

5

<0.10

0.129

W

WSR37

20200602

Cloudy

Moderate

Mid-Flood

Bottom

7.5

14:57

8.59

8.25

32.53

27.68

2.55

4

<0.10

0.152

W

WSR37

20200602

Cloudy

Moderate

Mid-Flood

Bottom

7.5

14:57

8.47

8.26

31.79

27.77

1.72

4

<0.10

0.164

W

WSR37

20200602

Cloudy

Moderate

Mid-Flood

Middle

4.25

14:58

8.5

8.04

31.86

27.69

1.79

4

<0.10

0.177

SW

WSR37

20200602

Cloudy

Moderate

Mid-Flood

Middle

4.25

14:58

8.54

8.26

31.62

27.81

1.53

4

<0.10

0.145

W

WSR37

20200602

Cloudy

Moderate

Mid-Flood

Surface

1

14:59

9.3

8.2

32.58

27.55

0.71

5

<0.10

0.163

W

WSR37

20200602

Cloudy

Moderate

Mid-Flood

Surface

1

14:59

9.11

8.22

32.08

27.57

1.56

5

<0.10

0.181

NW

CE

20200604

Sunny

Moderate

Mid-Ebb

Bottom

11.1

9:13

10.85

8.07

33.29

24.79

1.3

3

<0.10

0.404

SE


 

 

CE

20200604

Sunny

Moderate

Mid-Ebb

Bottom

11.1

9:13

10.52

8.06

33.28

24.8

1.64

4

<0.10

0.417

E

CE

20200604

Sunny

Moderate

Mid-Ebb

Middle

6.05

9:14

8.53

8.01

33.05

25.06

1.81

4

<0.10

0.342

SE

CE

20200604

Sunny

Moderate

Mid-Ebb

Middle

6.05

9:14

8.32

8.01

33.13

25

1.71

4

<0.10

0.422

E

CE

20200604

Sunny

Moderate

Mid-Ebb

Surface

1

9:15

8.71

8.03

31.26

26.71

3.44

3

<0.10

0.306

SE

CE

20200604

Sunny

Moderate

Mid-Ebb

Surface

1

9:15

8.41

8

31.19

26.75

4.71

2

<0.10

0.342

SE

CF

20200604

Sunny

Moderate

Mid-Ebb

Bottom

11.4

9:14

10.25

8.25

31.79

25.68

2.04

<2

<0.10

0.207

SE

CF

20200604

Sunny

Moderate

Mid-Ebb

Bottom

11.4

9:14

9.43

8.23

31.36

26.39

1.71

<2

<0.10

0.181

SE

CF

20200604

Sunny

Moderate

Mid-Ebb

Middle

6.2

9:15

9.25

8.25

31.18

26.31

1.02

<2

<0.10

0.166

SE

CF

20200604

Sunny

Moderate

Mid-Ebb

Middle

6.2

9:15

9.21

8.12

32.1

25.58

1.41

<2

<0.10

0.201

SE

CF

20200604

Sunny

Moderate

Mid-Ebb

Surface

1

9:16

9.09

8.02

32.48

25.71

1.82

2

<0.10

0.164

E

CF

20200604

Sunny

Moderate

Mid-Ebb

Surface

1

9:16

10.34

8.25

31.73

26.62

1.34

2

<0.10

0.148

E

NF1

20200604

Sunny

Moderate

Mid-Ebb

Bottom

15.5

9:42

11.3

8.08

33.78

24.44

4.27

2

<0.10

0.184

SE

NF1

20200604

Sunny

Moderate

Mid-Ebb

Bottom

15.5

9:42

10.59

8.07

33.77

24.45

4.18

2

<0.10

0.173

SE

NF1

20200604

Sunny

Moderate

Mid-Ebb

Middle

8.25

9:43

8.21

8.03

33.68

24.61

2.32

2

<0.10

0.202

SE

NF1

20200604

Sunny

Moderate

Mid-Ebb

Middle

8.25

9:43

7.89

8.05

33.64

24.63

2.5

2

<0.10

0.163

SE

NF1

20200604

Sunny

Moderate

Mid-Ebb

Surface

1

9:44

8.79

8.2

31.43

27.04

1.4

2

<0.10

0.17

E

NF1

20200604

Sunny

Moderate

Mid-Ebb

Surface

1

9:44

9.04

8.14

31.51

27.1

1.32

3

<0.10

0.179

SE

NF2

20200604

Sunny

Moderate

Mid-Ebb

Bottom

8.1

11:34

9.7

8.14

33.53

25.42

0.38

2

<0.10

0.171

SE

NF2

20200604

Sunny

Moderate

Mid-Ebb

Bottom

8.1

11:34

9.13

8.13

33.58

25.36

0.65

3

<0.10

0.215

SE

NF2

20200604

Sunny

Moderate

Mid-Ebb

Middle

4.55

11:35

9.53

8.21

32.82

25.98

0.89

2

<0.10

0.152

SE

NF2

20200604

Sunny

Moderate

Mid-Ebb

Middle

4.55

11:35

11.41

8.29

32.1

26.61

0.76

2

<0.10

0.155

E

NF2

20200604

Sunny

Moderate

Mid-Ebb

Surface

1

11:36

12.07

8.34

32.02

27.19

0.68

3

<0.10

0.167

E

NF2

20200604

Sunny

Moderate

Mid-Ebb

Surface

1

11:36

11.66

8.3

32

27.23

0.75

4

<0.10

0.131

SE

NF3

20200604

Sunny

Moderate

Mid-Ebb

Bottom

11.2

11:49

9.03

8.12

34.08

25.15

0.8

<2

<0.10

0.195

SE

NF3

20200604

Sunny

Moderate

Mid-Ebb

Bottom

11.2

11:49

8.56

8.12

34.1

25.11

0.65

<2

<0.10

0.193

E

NF3

20200604

Sunny

Moderate

Mid-Ebb

Middle

6.1

11:50

11.89

8.16

33.04

26.13

0.57

3

<0.10

0.205

SE

NF3

20200604

Sunny

Moderate

Mid-Ebb

Middle

6.1

11:50

9.78

8.12

33.6

25.55

0.72

3

<0.10

0.175

E

NF3

20200604

Sunny

Moderate

Mid-Ebb

Surface

1

11:51

11.45

8.33

32.22

27.34

0.95

3

<0.10

0.151

SE

NF3

20200604

Sunny

Moderate

Mid-Ebb

Surface

1

11:51

11.72

8.21

32.12

27.39

0.9

3

<0.10

0.151

E

WSR01

20200604

Sunny

Moderate

Mid-Ebb

Bottom

8

12:02

10.17

8.24

31.18

26.8

2.16

2

<0.10

0.219

SE

WSR01

20200604

Sunny

Moderate

Mid-Ebb

Bottom

8

12:02

9.65

8.32

31.42

25.44

1.98

2

<0.10

0.16

E

WSR01

20200604

Sunny

Moderate

Mid-Ebb

Middle

4.5

12:03

9.22

8.15

31.4

26.36

1.28

2

<0.10

0.13

E

WSR01

20200604

Sunny

Moderate

Mid-Ebb

Middle

4.5

12:03

9.09

8.3

31.38

26.76

1.62

3

<0.10

0.138

E


 

 

WSR01

20200604

Sunny

Moderate

Mid-Ebb

Surface

1

12:04

9.83

8.16

31.19

26.93

1.49

2

<0.10

0.19

SE

WSR01

20200604

Sunny

Moderate

Mid-Ebb

Surface

1

12:04

9.31

8.3

32.3

25.05

1.29

2

<0.10

0.18

SE

WSR02

20200604

Sunny

Moderate

Mid-Ebb

Bottom

8.3

11:39

9.8

8.02

31.7

26.18

1.72

5

<0.10

0.15

SE

WSR02

20200604

Sunny

Moderate

Mid-Ebb

Bottom

8.3

11:39

10.19

8.01

32.53

25.65

2.11

5

<0.10

0.168

E

WSR02

20200604

Sunny

Moderate

Mid-Ebb

Middle

4.65

11:40

9.5

8.25

31.36

26.58

1.39

5

<0.10

0.18

E

WSR02

20200604

Sunny

Moderate

Mid-Ebb

Middle

4.65

11:40

8.38

8.34

31.4

26.65

1.6

4

<0.10

0.205

SE

WSR02

20200604

Sunny

Moderate

Mid-Ebb

Surface

1

11:41

9.13

8.19

32.58

25.21

1.46

4

<0.10

0.189

E

WSR02

20200604

Sunny

Moderate

Mid-Ebb

Surface

1

11:41

10.31

8.11

32.56

26.48

1.53

4

<0.10

0.134

SE

WSR03

20200604

Sunny

Moderate

Mid-Ebb

Bottom

8.7

11:06

8.36

8.1

34

25.06

3.24

4

<0.10

0.162

SE

WSR03

20200604

Sunny

Moderate

Mid-Ebb

Bottom

8.7

11:06

8.08

8.1

33.94

25.11

0.8

3

<0.10

0.175

SE

WSR03

20200604

Sunny

Moderate

Mid-Ebb

Middle

4.85

11:07

9.19

8.19

33.23

25.82

0.91

3

<0.10

0.213

SE

WSR03

20200604

Sunny

Moderate

Mid-Ebb

Middle

4.85

11:07

9.66

8.22

33.13

25.92

0.63

2

<0.10

0.167

SE

WSR03

20200604

Sunny

Moderate

Mid-Ebb

Surface

1

11:08

9.24

8.27

32.06

27.03

1.37

3

<0.10

0.136

E

WSR03

20200604

Sunny

Moderate

Mid-Ebb

Surface

1

11:08

9.68

8.22

31.84

27.03

0.98

2

<0.10

0.176

SE

WSR04

20200604

Sunny

Moderate

Mid-Ebb

Bottom

7.5

10:50

8.67

8.1

34.18

25.16

2.62

3

<0.10

0.148

E

WSR04

20200604

Sunny

Moderate

Mid-Ebb

Bottom

7.5

10:50

8.28

8.1

34.22

25.01

2.19

3

<0.10

0.14

SE

WSR04

20200604

Sunny

Moderate

Mid-Ebb

Middle

4.25

10:51

9.52

8.2

32.87

26.41

1.53

3

<0.10

0.133

E

WSR04

20200604

Sunny

Moderate

Mid-Ebb

Middle

4.25

10:51

11.34

8.17

31.75

27.17

1.46

2

<0.10

0.148

E

WSR04

20200604

Sunny

Moderate

Mid-Ebb

Surface

1

10:52

10.8

8.28

31.9

27.28

1.32

3

<0.10

0.181

SE

WSR04

20200604

Sunny

Moderate

Mid-Ebb

Surface

1

10:52

10.21

8.19

31.85

27.38

2.06

3

<0.10

0.183

E

WSR16

20200604

Sunny

Moderate

Mid-Ebb

Bottom

10.9

12:27

9.2

8.32

32.29

25.37

2.04

2

<0.10

0.202

SE

WSR16

20200604

Sunny

Moderate

Mid-Ebb

Bottom

10.9

12:27

8.52

8.3

31.34

26.78

1.84

3

<0.10

0.206

SE

WSR16

20200604

Sunny

Moderate

Mid-Ebb

Middle

5.95

12:28

10.38

8.23

32.34

26.89

1.42

2

<0.10

0.218

SE

WSR16

20200604

Sunny

Moderate

Mid-Ebb

Middle

5.95

12:28

10.09

8.25

32.51

25.06

1.26

3

<0.10

0.228

E

WSR16

20200604

Sunny

Moderate

Mid-Ebb

Surface

1

12:29

10.32

8.02

32.19

26.85

1.6

<2

<0.10

0.149

E

WSR16

20200604

Sunny

Moderate

Mid-Ebb

Surface

1

12:29

8.67

8.23

31.24

25.35

1.4

<2

<0.10

0.175

SE

WSR33

20200604

Sunny

Moderate

Mid-Ebb

Bottom

8.6

10:29

8.99

8.12

33.33

25.52

4.46

4

<0.10

0.165

E

WSR33

20200604

Sunny

Moderate

Mid-Ebb

Bottom

8.6

10:29

8.18

8.12

33.52

25.27

1.56

4

<0.10

0.203

SE

WSR33

20200604

Sunny

Moderate

Mid-Ebb

Middle

4.8

10:30

10.97

8.16

32.06

26.59

0.84

4

<0.10

0.206

E

WSR33

20200604

Sunny

Moderate

Mid-Ebb

Middle

4.8

10:30

10.91

8.18

31.87

26.75

0.89

4

<0.10

0.152

SE

WSR33

20200604

Sunny

Moderate

Mid-Ebb

Surface

1

10:31

11.38

8.29

31.33

27.7

0.73

4

<0.10

0.215

E

WSR33

20200604

Sunny

Moderate

Mid-Ebb

Surface

1

10:31

11.44

8.22

31.25

28.01

0.69

4

<0.10

0.191

SE

WSR36

20200604

Sunny

Moderate

Mid-Ebb

Bottom

8

10:13

10.55

8.12

33.57

25.54

0.87

2

<0.10

0.157

E


 

 

WSR36

20200604

Sunny

Moderate

Mid-Ebb

Bottom

8

10:13

9.84

8.11

33.57

25.51

0.71

3

<0.10

0.211

E

WSR36

20200604

Sunny

Moderate

Mid-Ebb

Middle

4.5

10:14

9.94

8.13

32.44

25.73

0.89

3

<0.10

0.177

E

WSR36

20200604

Sunny

Moderate

Mid-Ebb

Middle

4.5

10:14

10.05

8.18

32.74

25.92

0.89

2

<0.10

0.183

SE

WSR36

20200604

Sunny

Moderate

Mid-Ebb

Surface

1

10:15

10.42

8.27

32.16

27.27

0.87

4

<0.10

0.201

E

WSR36

20200604

Sunny

Moderate

Mid-Ebb

Surface

1

10:15

10.08

8.23

32.08

27.32

0.84

3

<0.10

0.168

E

WSR37

20200604

Sunny

Moderate

Mid-Ebb

Bottom

3.6

9:59

8.89

8.11

32.57

26.09

1.28

2

<0.10

0.141

SE

WSR37

20200604

Sunny

Moderate

Mid-Ebb

Bottom

3.6

9:59

8.75

8.11

32.6

26.09

1.11

3

<0.10

0.175

E

WSR37

20200604

Sunny

Moderate

Mid-Ebb

Surface

1

10:01

9.8

8.23

31.5

27.22

0.98

2

<0.10

0.184

E

WSR37

20200604

Sunny

Moderate

Mid-Ebb

Surface

1

10:01

9.84

8.21

31.38

27.31

0.97

3

<0.10

0.202

SE

CE

20200604

Sunny

Moderate

Mid-Flood

Bottom

11.9

14:24

8.36

8.31

31.58

25.53

1.56

2

<0.10

0.184

NW

CE

20200604

Sunny

Moderate

Mid-Flood

Bottom

11.9

14:24

9.23

8.31

31.29

25.22

2.09

2

<0.10

0.163

NW

CE

20200604

Sunny

Moderate

Mid-Flood

Middle

6.45

14:25

9.24

8.2

31.69

25.74

1.28

2

<0.10

0.195

NW

CE

20200604

Sunny

Moderate

Mid-Flood

Middle

6.45

14:25

9.53

8.33

32.55

26.79

1.07

2

<0.10

0.196

NW

CE

20200604

Sunny

Moderate

Mid-Flood

Surface

1

14:26

9.18

8.12

31.85

25.82

1.14

2

<0.10

0.218

NW

CE

20200604

Sunny

Moderate

Mid-Flood

Surface

1

14:26

8.78

8.01

32.69

25.72

1.4

3

<0.10

0.18

N

CF

20200604

Sunny

Moderate

Mid-Flood

Bottom

11.8

14:21

8.44

8.05

31.78

25.67

1.96

<2

<0.10

0.178

W

CF

20200604

Sunny

Moderate

Mid-Flood

Bottom

11.8

14:21

8.64

8.12

31.82

25.42

1.5

<2

<0.10

0.163

W

CF

20200604

Sunny

Moderate

Mid-Flood

Middle

6.4

14:22

9.37

8.26

32.74

25.3

1.49

<2

<0.10

0.246

NW

CF

20200604

Sunny

Moderate

Mid-Flood

Middle

6.4

14:22

9.16

8.26

31.76

26.33

1.63

<2

<0.10

0.168

NW

CF

20200604

Sunny

Moderate

Mid-Flood

Surface

1

14:23

8.75

8.12

32.75

25.76

1.03

<2

<0.10

0.192

SW

CF

20200604

Sunny

Moderate

Mid-Flood

Surface

1

14:23

8.12

8.09

32.1

25.8

1.54

<2

<0.10

0.224

W

NF1

20200604

Sunny

Moderate

Mid-Flood

Bottom

9.5

15:03

8.82

8.16

31.68

25.68

2.09

2

<0.10

0.185

W

NF1

20200604

Sunny

Moderate

Mid-Flood

Bottom

9.5

15:03

9.26

8.01

32.21

25.77

1.48

2

<0.10

0.155

W

NF1

20200604

Sunny

Moderate

Mid-Flood

Middle

5.25

15:04

8.8

8.12

32.82

26.55

1.42

<2

<0.10

0.152

W

NF1

20200604

Sunny

Moderate

Mid-Flood

Middle

5.25

15:04

8.42

8.11

32.45

26.64

1.42

<2

<0.10

0.159

NW

NF1

20200604

Sunny

Moderate

Mid-Flood

Surface

1

15:05

8.35

8.34

32.13

25.89

0.95

<2

<0.10

0.176

W

NF1

20200604

Sunny

Moderate

Mid-Flood

Surface

1

15:05

8.75

8.25

31.73

25.29

1.18

<2

<0.10

0.155

NW

NF2

20200604

Sunny

Moderate

Mid-Flood

Bottom

8.1

16:36

8.75

8.11

31.22

25.52

1.49

<2

<0.10

0.196

W

NF2

20200604

Sunny

Moderate

Mid-Flood

Bottom

8.1

16:36

8.18

8.22

32.43

26.71

1.44

<2

<0.10

0.133

NW

NF2

20200604

Sunny

Moderate

Mid-Flood

Middle

4.55

16:37

8.37

8.16

32.51

26.35

1.6

<2

<0.10

0.138

SW

NF2

20200604

Sunny

Moderate

Mid-Flood

Middle

4.55

16:37

9.47

8.25

31.31

26.84

1.4

<2

<0.10

0.183

SW

NF2

20200604

Sunny

Moderate

Mid-Flood

Surface

1

16:38

8.33

8.14

31.49

25.85

1.09

<2

<0.10

0.183

SW

NF2

20200604

Sunny

Moderate

Mid-Flood

Surface

1

16:38

8.22

8.05

32.59

25.52

1.51

<2

<0.10

0.141

W


 

 

NF3

20200604

Sunny

Moderate

Mid-Flood

Bottom

9.8

16:45

8.42

8.12

31.28

26.07

1.43

<2

<0.10

0.155

W

NF3

20200604

Sunny

Moderate

Mid-Flood

Bottom

9.8

16:45

8.99

8.05

32.01

26.2

1.97

<2

<0.10

0.172

NW

NF3

20200604

Sunny

Moderate

Mid-Flood

Middle

5.4

16:46

8.58

8.11

31.48

25.65

1.09

3

<0.10

0.138

NW

NF3

20200604

Sunny

Moderate

Mid-Flood

Middle

5.4

16:46

8.64

8.27

31.81

26.82

1.49

2

<0.10

0.171

SW

NF3

20200604

Sunny

Moderate

Mid-Flood

Surface

1

16:47

8.2

8.19

31.89

26.07

1.58

2

<0.10

0.171

W

NF3

20200604

Sunny

Moderate

Mid-Flood

Surface

1

16:47

9.21

8.13

31.63

25.9

0.83

3

<0.10

0.168

SW

WSR01

20200604

Sunny

Moderate

Mid-Flood

Bottom

8.2

17:04

8.52

8.33

31.65

25.88

1.41

2

<0.10

0.194

W

WSR01

20200604

Sunny

Moderate

Mid-Flood

Bottom

8.2

17:04

8.19

8.09

31.67

26

1.59

2

<0.10

0.174

SW

WSR01

20200604

Sunny

Moderate

Mid-Flood

Middle

4.6

17:05

8.37

8.3

31.19

25.99

1.46

2

<0.10

0.155

NW

WSR01

20200604

Sunny

Moderate

Mid-Flood

Middle

4.6

17:05

9.4

8.26

31.72

26.33

1.34

2

<0.10

0.144

W

WSR01

20200604

Sunny

Moderate

Mid-Flood

Surface

1

17:06

8.5

8.02

32.05

25.95

1.66

<2

<0.10

0.142

SW

WSR01

20200604

Sunny

Moderate

Mid-Flood

Surface

1

17:06

8.9

8.11

32

26.64

0.84

<2

<0.10

0.155

W

WSR02

20200604

Sunny

Moderate

Mid-Flood

Bottom

8.4

16:40

9.06

8.24

32.44

25.55

1.68

<2

<0.10

0.162

W

WSR02

20200604

Sunny

Moderate

Mid-Flood

Bottom

8.4

16:40

8.55

8.26

31.32

25.76

1.82

<2

<0.10

0.148

W

WSR02

20200604

Sunny

Moderate

Mid-Flood

Middle

4.7

16:41

9.38

8.08

32.25

26.31

1.64

<2

<0.10

0.162

NW

WSR02

20200604

Sunny

Moderate

Mid-Flood

Middle

4.7

16:41

8.15

8.29

31.7

26.2

1.04

<2

<0.10

0.149

SW

WSR02

20200604

Sunny

Moderate

Mid-Flood

Surface

1

16:42

9.05

8.04

32.64

26.4

1.32

<2

<0.10

0.183

W

WSR02

20200604

Sunny

Moderate

Mid-Flood

Surface

1

16:42

9.19

8.06

31.44

25.17

1.33

<2

<0.10

0.156

SW

WSR03

20200604

Sunny

Moderate

Mid-Flood

Bottom

7.4

16:19

9.05

8.18

32.44

25.92

1.89

<2

<0.10

0.15

NW

WSR03

20200604

Sunny

Moderate

Mid-Flood

Bottom

7.4

16:19

8.45

8.23

31.59

26.7

1.97

<2

<0.10

0.159

W

WSR03

20200604

Sunny

Moderate

Mid-Flood

Middle

4.2

16:20

8.3

8.33

32.68

25.93

1.29

<2

<0.10

0.159

SW

WSR03

20200604

Sunny

Moderate

Mid-Flood

Middle

4.2

16:20

8.74

8.13

31.48

25.93

1.15

<2

<0.10

0.128

W

WSR03

20200604

Sunny

Moderate

Mid-Flood

Surface

1

16:21

9.03

8.05

31.45

25.73

1.51

2

<0.10

0.169

NW

WSR03

20200604

Sunny

Moderate

Mid-Flood

Surface

1

16:21

8.28

8.07

32.1

25.25

0.97

3

<0.10

0.162

W

WSR04

20200604

Sunny

Moderate

Mid-Flood

Bottom

6.2

16:02

8.91

8.19

31.53

25.93

1.5

<2

<0.10

0.164

W

WSR04

20200604

Sunny

Moderate

Mid-Flood

Bottom

6.2

16:02

8.63

8.02

32.28

25.16

1.9

<2

<0.10

0.189

W

WSR04

20200604

Sunny

Moderate

Mid-Flood

Middle

3.6

16:03

8.38

8.14

32.21

25.07

1.02

2

<0.10

0.19

SW

WSR04

20200604

Sunny

Moderate

Mid-Flood

Middle

3.6

16:03

8.36

8.34

31.86

26.77

1.68

2

<0.10

0.163

SW

WSR04

20200604

Sunny

Moderate

Mid-Flood

Surface

1

16:04

8.82

8.16

32.73

26.14

1.07

2

<0.10

0.162

W

WSR04

20200604

Sunny

Moderate

Mid-Flood

Surface

1

16:04

9.18

8.33

31.84

26.67

0.84

2

<0.10

0.171

W

WSR16

20200604

Sunny

Moderate

Mid-Flood

Bottom

11.2

14:43

8.55

8.17

32.71

25.53

1.95

2

<0.10

0.165

N

WSR16

20200604

Sunny

Moderate

Mid-Flood

Bottom

11.2

14:43

9.06

8.15

31.78

25.09

2.13

2

<0.10

0.183

N

WSR16

20200604

Sunny

Moderate

Mid-Flood

Middle

6.1

14:44

9.54

8.24

31.47

25.97

1.56

2

<0.10

0.182

NW


 

 

WSR16

20200604

Sunny

Moderate

Mid-Flood

Middle

6.1

14:44

9.22

8.31

32.72

26.38

0.88

2

<0.10

0.222

NW

WSR16

20200604

Sunny

Moderate

Mid-Flood

Surface

1

14:45

9.54

8.18

32.47

26.91

1.48

<2

<0.10

0.213

N

WSR16

20200604

Sunny

Moderate

Mid-Flood

Surface

1

14:45

8.11

8.18

31.88

25.42

0.89

<2

<0.10

0.207

NW

WSR33

20200604

Sunny

Moderate

Mid-Flood

Bottom

6.7

15:45

8.43

8.13

31.7

25.39

1.57

<2

<0.10

0.158

W

WSR33

20200604

Sunny

Moderate

Mid-Flood

Bottom

6.7

15:45

9.12

8.03

32.17

25.46

1.41

<2

<0.10

0.15

W

WSR33

20200604

Sunny

Moderate

Mid-Flood

Middle

3.85

15:46

8.39

8.33

31.4

25.94

1.68

<2

<0.10

0.167

W

WSR33

20200604

Sunny

Moderate

Mid-Flood

Middle

3.85

15:46

9.43

8.14

32.69

26.3

1.2

<2

<0.10

0.19

W

WSR33

20200604

Sunny

Moderate

Mid-Flood

Surface

1

15:47

9.18

8.12

31.58

26.03

0.82

<2

<0.10

0.177

SW

WSR33

20200604

Sunny

Moderate

Mid-Flood

Surface

1

15:47

9.22

8.14

31.98

25.3

0.97

<2

<0.10

0.194

SW

WSR36

20200604

Sunny

Moderate

Mid-Flood

Bottom

4.3

15:32

8.75

8.31

31.95

25.28

1.72

<2

<0.10

0.18

W

WSR36

20200604

Sunny

Moderate

Mid-Flood

Bottom

4.3

15:32

8.77

8.24

32.63

25.28

1.85

<2

<0.10

0.142

W

WSR36

20200604

Sunny

Moderate

Mid-Flood

Surface

1

15:33

8.16

8.33

31.32

25.64

1.05

<2

<0.10

0.19

W

WSR36

20200604

Sunny

Moderate

Mid-Flood

Surface

1

15:33

9.04

8.16

31.99

26.93

1.59

<2

<0.10

0.16

W

WSR37

20200604

Sunny

Moderate

Mid-Flood

Bottom

6.7

15:15

8.82

8.33

32.76

25.34

1.72

<2

<0.10

0.196

W

WSR37

20200604

Sunny

Moderate

Mid-Flood

Bottom

6.7

15:15

8.49

8.31

31.34

26.12

1.6

<2

<0.10

0.196

W

WSR37

20200604

Sunny

Moderate

Mid-Flood

Middle

3.85

15:16

8.53

8.19

32.36

25.83

1.08

<2

<0.10

0.17

W

WSR37

20200604

Sunny

Moderate

Mid-Flood

Middle

3.85

15:16

8.97

8.15

31.74

26.38

1.06

<2

<0.10

0.16

W

WSR37

20200604

Sunny

Moderate

Mid-Flood

Surface

1

15:17

8.15

8.14

31.25

26.55

0.99

<2

<0.10

0.182

W

WSR37

20200604

Sunny

Moderate

Mid-Flood

Surface

1

15:17

9.01

8.01

31.92

25.93

1

<2

<0.10

0.16

W

CE

20200606

Rainy

Moderate

Mid-Ebb

Bottom

10.8

10:45

8.79

8.16

31

26.38

1.74

9

<0.10

0.381

SE

CE

20200606

Rainy

Moderate

Mid-Ebb

Bottom

10.8

10:45

8.99

8.04

30.66

26.43

1.38

8

<0.10

0.278

SE

CE

20200606

Rainy

Moderate

Mid-Ebb

Middle

5.9

10:46

9.59

8.08

31.16

25.99

1.24

9

<0.10

0.403

SE

CE

20200606

Rainy

Moderate

Mid-Ebb

Middle

5.9

10:46

9.61

8.24

31.53

25.45

0.91

8

<0.10

0.372

SE

CE

20200606

Rainy

Moderate

Mid-Ebb

Surface

1

10:47

9.12

8.13

31.18

25.72

1.14

9

<0.10

0.335

E

CE

20200606

Rainy

Moderate

Mid-Ebb

Surface

1

10:47

9.6

8.25

31.07

25.74

1

9

<0.10

0.341

SE

CF

20200606

Rainy

Moderate

Mid-Ebb

Bottom

11.1

10:50

9.78

8.1

31.78

26.34

1.67

11

<0.10

0.16

E

CF

20200606

Rainy

Moderate

Mid-Ebb

Bottom

11.1

10:50

9.26

8.12

31.62

26.22

1.9

10

<0.10

0.187

SE

CF

20200606

Rainy

Moderate

Mid-Ebb

Middle

6.05

10:51

8.46

8.12

31.22

25.56

1.28

10

<0.10

0.211

E

CF

20200606

Rainy

Moderate

Mid-Ebb

Middle

6.05

10:51

9.28

8.08

30.69

25.87

1.26

10

<0.10

0.192

E

CF

20200606

Rainy

Moderate

Mid-Ebb

Surface

1

10:52

9.33

8.1

31.12

26.15

1.03

10

<0.10

0.201

E

CF

20200606

Rainy

Moderate

Mid-Ebb

Surface

1

10:52

8.74

8.17

31

26.16

1.17

9

<0.10

0.161

E

NF1

20200606

Rainy

Moderate

Mid-Ebb

Bottom

9.5

11:28

9.57

8.15

31.63

25.61

1.85

6

<0.10

0.17

SE

NF1

20200606

Rainy

Moderate

Mid-Ebb

Bottom

9.5

11:28

9.02

8.06

31.83

25.62

1.44

7

<0.10

0.138

SE


 

 

NF1

20200606

Rainy

Moderate

Mid-Ebb

Middle

5.25

11:29

8.7

8.19

31.25

26.11

1.52

5

<0.10

0.159

SE

NF1

20200606

Rainy

Moderate

Mid-Ebb

Middle

5.25

11:29

9.54

8.06

31.05

25.49

1.25

5

<0.10

0.153

E

NF1

20200606

Rainy

Moderate

Mid-Ebb

Surface

1

11:30

9.16

8.13

30.4

26.32

1.05

5

<0.10

0.207

SE

NF1

20200606

Rainy

Moderate

Mid-Ebb

Surface

1

11:30

8.57

8.03

31.87

25.46

1.48

5

<0.10

0.216

E

NF2

20200606

Rainy

Moderate

Mid-Ebb

Bottom

7.9

13:02

9.12

8.13

30.56

26.09

1.59

6

<0.10

0.145

SE

NF2

20200606

Rainy

Moderate

Mid-Ebb

Bottom

7.9

13:02

9.34

8.12

30.54

26.21

1.53

4

<0.10

0.147

SE

NF2

20200606

Rainy

Moderate

Mid-Ebb

Middle

4.45

13:03

9.2

8.14

31.24

25.99

0.89

5

<0.10

0.211

SE

NF2

20200606

Rainy

Moderate

Mid-Ebb

Middle

4.45

13:03

9.07

8.06

31.81

25.69

1.27

6

<0.10

0.186

SE

NF2

20200606

Rainy

Moderate

Mid-Ebb

Surface

1

13:04

8.88

8.17

30.64

25.46

1.3

6

<0.10

0.195

SE

NF2

20200606

Rainy

Moderate

Mid-Ebb

Surface

1

13:04

9.75

8.08

31.16

25.92

1.06

5

<0.10

0.144

SE

NF3

20200606

Rainy

Moderate

Mid-Ebb

Bottom

9.5

13:13

8.79

8.16

31.42

26.16

1.84

7

<0.10

0.137

SE

NF3

20200606

Rainy

Moderate

Mid-Ebb

Bottom

9.5

13:13

8.91

8.24

31.62

25.89

1.62

6

<0.10

0.205

SE

NF3

20200606

Rainy

Moderate

Mid-Ebb

Middle

5.25

13:14

9.43

8.13

30.65

25.52

1.57

5

<0.10

0.221

E

NF3

20200606

Rainy

Moderate

Mid-Ebb

Middle

5.25

13:14

9.44

8.24

30.55

25.7

0.97

5

<0.10

0.188

E

NF3

20200606

Rainy

Moderate

Mid-Ebb

Surface

1

13:15

9.21

8.08

31.49

26.3

0.97

3

<0.10

0.182

SE

NF3

20200606

Rainy

Moderate

Mid-Ebb

Surface

1

13:15

9.24

8.25

31.27

26.24

1.39

4

<0.10

0.13

SE

WSR01

20200606

Rainy

Moderate

Mid-Ebb

Bottom

7.5

13:37

9.44

8.2

31.6

25.78

1.32

10

<0.10

0.168

SE

WSR01

20200606

Rainy

Moderate

Mid-Ebb

Bottom

7.5

13:37

8.51

8.07

30.99

25.95

1.3

11

<0.10

0.168

SE

WSR01

20200606

Rainy

Moderate

Mid-Ebb

Middle

4.25

13:38

9.08

8.19

31.18

25.88

1.39

10

<0.10

0.202

SE

WSR01

20200606

Rainy

Moderate

Mid-Ebb

Middle

4.25

13:38

8.65

8.05

30.95

25.71

1.27

10

<0.10

0.192

E

WSR01

20200606

Rainy

Moderate

Mid-Ebb

Surface

1

13:39

9.21

8.18

30.41

26.43

1.42

9

<0.10

0.154

E

WSR01

20200606

Rainy

Moderate

Mid-Ebb

Surface

1

13:39

9.64

8.18

30.66

25.56

1.56

9

<0.10

0.13

E

WSR02

20200606

Rainy

Moderate

Mid-Ebb

Bottom

8.1

13:14

9.58

8.2

31.59

26.41

1.54

9

<0.10

0.207

SE

WSR02

20200606

Rainy

Moderate

Mid-Ebb

Bottom

8.1

13:14

9.02

8.21

31.42

25.64

1.3

9

<0.10

0.133

SE

WSR02

20200606

Rainy

Moderate

Mid-Ebb

Middle

4.55

13:15

9.51

8.1

30.78

25.45

1.5

10

<0.10

0.144

SE

WSR02

20200606

Rainy

Moderate

Mid-Ebb

Middle

4.55

13:15

8.86

8.25

30.68

25.49

1.54

9

<0.10

0.13

E

WSR02

20200606

Rainy

Moderate

Mid-Ebb

Surface

1

13:16

8.48

8.2

31.63

25.9

1.36

11

<0.10

0.218

SE

WSR02

20200606

Rainy

Moderate

Mid-Ebb

Surface

1

13:16

9.75

8.16

31.52

25.92

0.96

11

<0.10

0.203

SE

WSR03

20200606

Rainy

Moderate

Mid-Ebb

Bottom

6.2

12:44

8.56

8.19

31.45

25.69

1.54

8

<0.10

0.22

SE

WSR03

20200606

Rainy

Moderate

Mid-Ebb

Bottom

6.2

12:44

9.1

8.16

31.53

26.43

1.54

9

<0.10

0.185

SE

WSR03

20200606

Rainy

Moderate

Mid-Ebb

Middle

3.6

12:45

9.68

8.18

31.05

25.71

1.44

8

<0.10

0.206

SE

WSR03

20200606

Rainy

Moderate

Mid-Ebb

Middle

3.6

12:45

8.77

8.18

31.45

25.53

1.59

9

<0.10

0.213

E

WSR03

20200606

Rainy

Moderate

Mid-Ebb

Surface

1

12:46

9.18

8.03

30.64

25.46

0.85

8

<0.10

0.212

E


 

 

WSR03

20200606

Rainy

Moderate

Mid-Ebb

Surface

1

12:46

9

8.14

30.79

25.51

1.6

9

<0.10

0.198

SE

WSR04

20200606

Rainy

Moderate

Mid-Ebb

Bottom

5.5

12:26

9.52

8.14

31.36

26.33

1.82

8

<0.10

0.149

SE

WSR04

20200606

Rainy

Moderate

Mid-Ebb

Bottom

5.5

12:26

8.68

8.19

31.8

25.77

1.51

8

<0.10

0.138

SE

WSR04

20200606

Rainy

Moderate

Mid-Ebb

Middle

3.25

12:27

9.17

8.07

30.97

25.54

1.5

8

<0.10

0.169

E

WSR04

20200606

Rainy

Moderate

Mid-Ebb

Middle

3.25

12:27

8.83

8.14

31.72

26.35

1.64

8

<0.10

0.163

E

WSR04

20200606

Rainy

Moderate

Mid-Ebb

Surface

1

12:28

9.35

8.16

30.58

25.77

1.48

9

<0.10

0.139

E

WSR04

20200606

Rainy

Moderate

Mid-Ebb

Surface

1

12:28

8.99

8.19

31.88

26.26

1.54

9

<0.10

0.163

SE

WSR16

20200606

Rainy

Moderate

Mid-Ebb

Bottom

11

11:07

8.71

8.09

31.05

26.11

1.62

7

<0.10

0.231

SE

WSR16

20200606

Rainy

Moderate

Mid-Ebb

Bottom

11

11:07

8.6

8.13

31.27

25.84

1.36

7

<0.10

0.193

SE

WSR16

20200606

Rainy

Moderate

Mid-Ebb

Middle

6

11:08

9.19

8.17

31.19

26.27

1.56

9

<0.10

0.224

SE

WSR16

20200606

Rainy

Moderate

Mid-Ebb

Middle

6

11:08

9.68

8.08

30.6

25.79

1

8

<0.10

0.226

E

WSR16

20200606

Rainy

Moderate

Mid-Ebb

Surface

1

11:09

9.06

8.12

31.69

25.55

1.19

8

<0.10

0.205

E

WSR16

20200606

Rainy

Moderate

Mid-Ebb

Surface

1

11:09

8.7

8.04

30.56

25.81

1.12

9

<0.10

0.217

E

WSR33

20200606

Rainy

Moderate

Mid-Ebb

Bottom

6.3

12:08

8.69

8.09

30.4

26.37

1.94

8

<0.10

0.193

E

WSR33

20200606

Rainy

Moderate

Mid-Ebb

Bottom

6.3

12:08

9.17

8.15

30.75

25.85

1.89

7

<0.10

0.197

E

WSR33

20200606

Rainy

Moderate

Mid-Ebb

Middle

3.65

12:09

9.58

8.04

31.58

25.53

1.19

9

<0.10

0.132

E

WSR33

20200606

Rainy

Moderate

Mid-Ebb

Middle

3.65

12:09

9.26

8.14

31.16

25.73

1.28

8

<0.10

0.15

SE

WSR33

20200606

Rainy

Moderate

Mid-Ebb

Surface

1

12:10

9.73

8.12

30.54

25.65

0.94

9

<0.10

0.209

E

WSR33

20200606

Rainy

Moderate

Mid-Ebb

Surface

1

12:10

8.86

8.09

30.98

25.76

1.03

8

<0.10

0.144

SE

WSR36

20200606

Rainy

Moderate

Mid-Ebb

Bottom

4.6

11:56

9.07

8.08

31.18

25.78

1.94

7

<0.10

0.149

E

WSR36

20200606

Rainy

Moderate

Mid-Ebb

Bottom

4.6

11:56

8.59

8.25

30.79

26.33

1.52

7

<0.10

0.199

E

WSR36

20200606

Rainy

Moderate

Mid-Ebb

Surface

1

11:57

9.25

8.24

31.62

25.96

0.95

6

<0.10

0.165

SE

WSR36

20200606

Rainy

Moderate

Mid-Ebb

Surface

1

11:57

8.44

8.25

30.64

25.81

1.14

6

<0.10

0.183

SE

WSR37

20200606

Rainy

Moderate

Mid-Ebb

Bottom

6.6

11:39

9.59

8.16

31.36

25.67

1.39

7

<0.10

0.177

SE

WSR37

20200606

Rainy

Moderate

Mid-Ebb

Bottom

6.6

11:39

9.05

8.13

30.59

25.86

1.48

7

<0.10

0.167

E

WSR37

20200606

Rainy

Moderate

Mid-Ebb

Middle

3.8

11:40

9.73

8.21

30.77

25.87

1.47

5

<0.10

0.171

SE

WSR37

20200606

Rainy

Moderate

Mid-Ebb

Middle

3.8

11:40

8.57

8.08

31.58

25.6

1.55

6

<0.10

0.21

SE

WSR37

20200606

Rainy

Moderate

Mid-Ebb

Surface

1

11:41

8.93

8.05

30.75

25.95

1.14

5

<0.10

0.173

E

WSR37

20200606

Rainy

Moderate

Mid-Ebb

Surface

1

11:41

9.38

8.06

31.28

26.44

1.03

5

<0.10

0.138

SE

CE

20200606

Rainy

Moderate

Mid-Flood

Bottom

11.2

16:01

9.29

8.21

30.91

27.83

1.39

12

<0.10

0.16

NW

CE

20200606

Rainy

Moderate

Mid-Flood

Bottom

11.2

16:01

8.91

8.29

31.67

27.54

1.41

13

<0.10

0.189

NW

CE

20200606

Rainy

Moderate

Mid-Flood

Middle

6.1

16:02

9.61

8.2

30.55

27.15

1.49

12

<0.10

0.159

NW

CE

20200606

Rainy

Moderate

Mid-Flood

Middle

6.1

16:02

9.45

8.17

31.53

27.67

1.22

13

<0.10

0.213

N


 

 

CE

20200606

Rainy

Moderate

Mid-Flood

Surface

1

16:03

9.36

8.27

31.29

27.7

1.47

11

<0.10

0.216

NW

CE

20200606

Rainy

Moderate

Mid-Flood

Surface

1

16:03

9.02

8.21

31.09

27.19

1.38

10

<0.10

0.166

NW

CF

20200606

Rainy

Moderate

Mid-Flood

Bottom

11.4

16:00

9.07

8.24

31.2

27.58

1.49

11

<0.10

0.231

W

CF

20200606

Rainy

Moderate

Mid-Flood

Bottom

11.4

16:00

9.41

8.17

30.69

27.87

1.87

12

<0.10

0.181

NW

CF

20200606

Rainy

Moderate

Mid-Flood

Middle

6.2

16:01

9.44

8.08

30.65

27.84

1.52

12

<0.10

0.181

W

CF

20200606

Rainy

Moderate

Mid-Flood

Middle

6.2

16:01

8.65

8.31

31.74

27.4

1.32

11

<0.10

0.185

SW

CF

20200606

Rainy

Moderate

Mid-Flood

Surface

1

16:02

8.98

8.32

30.96

27.21

1.06

10

<0.10

0.222

W

CF

20200606

Rainy

Moderate

Mid-Flood

Surface

1

16:02

9.06

8.21

30.51

27.47

0.91

10

<0.10

0.167

W

NF1

20200606

Rainy

Moderate

Mid-Flood

Bottom

10.4

16:44

8.74

8.11

31.31

27.24

1.37

9

<0.10

0.18

W

NF1

20200606

Rainy

Moderate

Mid-Flood

Bottom

10.4

16:44

9.24

8.15

31.27

27.57

1.35

8

<0.10

0.167

W

NF1

20200606

Rainy

Moderate

Mid-Flood

Middle

5.7

16:45

8.53

8.08

31.12

27.23

1.08

11

<0.10

0.166

W

NF1

20200606

Rainy

Moderate

Mid-Flood

Middle

5.7

16:45

9.36

8.07

31.8

27.26

1.19

10

<0.10

0.186

W

NF1

20200606

Rainy

Moderate

Mid-Flood

Surface

1

16:46

8.74

8.14

31.63

27.49

1.38

10

<0.10

0.131

W

NF1

20200606

Rainy

Moderate

Mid-Flood

Surface

1

16:46

9.39

8.09

30.97

27.21

1.03

11

<0.10

0.188

W

NF2

20200606

Rainy

Moderate

Mid-Flood

Bottom

9.6

18:18

8.8

8.29

30.55

27.36

1.99

10

<0.10

0.171

SW

NF2

20200606

Rainy

Moderate

Mid-Flood

Bottom

9.6

18:18

9.86

8.3

31.44

27.62

1.35

9

<0.10

0.166

NW

NF2

20200606

Rainy

Moderate

Mid-Flood

Middle

5.3

18:19

9.91

8.24

31.82

27.59

1.49

9

<0.10

0.18

SW

NF2

20200606

Rainy

Moderate

Mid-Flood

Middle

5.3

18:19

10.08

8.15

31.67

27.67

1.39

9

<0.10

0.157

W

NF2

20200606

Rainy

Moderate

Mid-Flood

Surface

1

18:20

10.11

8.32

31.5

27.52

0.82

8

<0.10

0.192

SW

NF2

20200606

Rainy

Moderate

Mid-Flood

Surface

1

18:20

9.68

8.23

31.25

27.17

1.43

9

<0.10

0.183

NW

NF3

20200606

Rainy

Moderate

Mid-Flood

Bottom

10.1

18:27

8.93

8.17

31.57

27.73

1.74

10

<0.10

0.161

W

NF3

20200606

Rainy

Moderate

Mid-Flood

Bottom

10.1

18:27

8.52

8.29

31.34

27.5

1.54

10

<0.10

0.193

W

NF3

20200606

Rainy

Moderate

Mid-Flood

Middle

5.55

18:28

9.27

8.07

31.03

27.26

1.08

8

<0.10

0.154

W

NF3

20200606

Rainy

Moderate

Mid-Flood

Middle

5.55

18:28

8.8

8.2

31.2

27.63

0.96

9

<0.10

0.158

W

NF3

20200606

Rainy

Moderate

Mid-Flood

Surface

1

18:29

10.11

8.32

31.29

27.87

1.2

8

<0.10

0.168

W

NF3

20200606

Rainy

Moderate

Mid-Flood

Surface

1

18:29

9.4

8.3

30.5

27.14

1

8

<0.10

0.131

W

WSR01

20200606

Rainy

Moderate

Mid-Flood

Bottom

7.9

18:51

9.15

8.2

30.87

27.35

2.06

12

<0.10

0.185

NW

WSR01

20200606

Rainy

Moderate

Mid-Flood

Bottom

7.9

18:51

8.78

8.24

31.75

27.82

1.78

13

<0.10

0.149

SW

WSR01

20200606

Rainy

Moderate

Mid-Flood

Middle

4.45

18:52

9.55

8.1

31.36

27.23

1.1

12

<0.10

0.178

W

WSR01

20200606

Rainy

Moderate

Mid-Flood

Middle

4.45

18:52

9.84

8.21

31.62

27.33

1.27

11

<0.10

0.182

W

WSR01

20200606

Rainy

Moderate

Mid-Flood

Surface

1

18:53

9.5

8.25

30.79

27.7

1.32

10

<0.10

0.144

NW

WSR01

20200606

Rainy

Moderate

Mid-Flood

Surface

1

18:53

8.65

8.27

31.31

27.26

1.22

11

<0.10

0.139

W

WSR02

20200606

Rainy

Moderate

Mid-Flood

Bottom

8.7

18:28

9.33

8.21

31.82

27.56

1.41

11

<0.10

0.161

W


 

 

WSR02

20200606

Rainy

Moderate

Mid-Flood

Bottom

8.7

18:28

8.58

8.28

31.72

27.78

1.4

10

<0.10

0.177

W

WSR02

20200606

Rainy

Moderate

Mid-Flood

Middle

4.85

18:29

9.2

8.27

31.38

27.8

1.03

12

<0.10

0.193

W

WSR02

20200606

Rainy

Moderate

Mid-Flood

Middle

4.85

18:29

9.16

8.27

30.56

27.28

0.97

11

<0.10

0.152

W

WSR02

20200606

Rainy

Moderate

Mid-Flood

Surface

1

18:30

9.51

8.08

31.31

27.16

0.94

12

<0.10

0.162

W

WSR02

20200606

Rainy

Moderate

Mid-Flood

Surface

1

18:30

9.16

8.07

31.53

27.75

1.45

12

<0.10

0.162

W

WSR03

20200606

Rainy

Moderate

Mid-Flood

Bottom

7.5

18:02

9.9

8.25

31.12

27.66

1.69

14

<0.10

0.166

SW

WSR03

20200606

Rainy

Moderate

Mid-Flood

Bottom

7.5

18:02

8.58

8.19

31.24

27.58

1.6

14

<0.10

0.185

W

WSR03

20200606

Rainy

Moderate

Mid-Flood

Middle

4.25

18:03

9.62

8.2

31.76

27.7

1.16

13

<0.10

0.159

NW

WSR03

20200606

Rainy

Moderate

Mid-Flood

Middle

4.25

18:03

8.53

8.16

30.52

27.14

0.99

12

<0.10

0.134

W

WSR03

20200606

Rainy

Moderate

Mid-Flood

Surface

1

18:04

9.86

8.27

31.77

27.38

0.76

11

<0.10

0.135

W

WSR03

20200606

Rainy

Moderate

Mid-Flood

Surface

1

18:04

8.71

8.27

30.5

27.7

0.97

11

<0.10

0.191

W

WSR04

20200606

Rainy

Moderate

Mid-Flood

Bottom

6.7

17:44

9.95

8.19

30.97

27.66

1.43

14

<0.10

0.14

NW

WSR04

20200606

Rainy

Moderate

Mid-Flood

Bottom

6.7

17:44

9.08

8.14

31.54

27.62

1.96

13

<0.10

0.157

W

WSR04

20200606

Rainy

Moderate

Mid-Flood

Middle

3.85

17:45

10.06

8.07

30.49

27.29

1.33

13

<0.10

0.158

SW

WSR04

20200606

Rainy

Moderate

Mid-Flood

Middle

3.85

17:45

9.13

8.18

30.72

27.63

1.46

14

<0.10

0.189

W

WSR04

20200606

Rainy

Moderate

Mid-Flood

Surface

1

17:46

9.41

8.31

30.75

27.29

1.3

12

<0.10

0.182

NW

WSR04

20200606

Rainy

Moderate

Mid-Flood

Surface

1

17:46

9.36

8.28

30.83

27.15

0.76

11

<0.10

0.145

W

WSR16

20200606

Rainy

Moderate

Mid-Flood

Bottom

10.8

16:23

8.74

8.17

31.31

27.64

1.61

10

<0.10

0.162

NW

WSR16

20200606

Rainy

Moderate

Mid-Flood

Bottom

10.8

16:23

9.76

8.11

30.83

27.22

1.73

9

<0.10

0.177

NW

WSR16

20200606

Rainy

Moderate

Mid-Flood

Middle

5.9

16:24

9

8.31

30.72

27.21

1

10

<0.10

0.192

NW

WSR16

20200606

Rainy

Moderate

Mid-Flood

Middle

5.9

16:24

9.6

8.19

31.62

27.24

1.21

11

<0.10

0.192

NW

WSR16

20200606

Rainy

Moderate

Mid-Flood

Surface

1

16:25

9.15

8.08

31.41

27.59

1.12

12

<0.10

0.197

NW

WSR16

20200606

Rainy

Moderate

Mid-Flood

Surface

1

16:25

9.27

8.26

30.85

27.16

0.8

12

<0.10

0.224

NW

WSR33

20200606

Rainy

Moderate

Mid-Flood

Bottom

6.1

17:28

9.42

8.21

31.33

27.34

1.75

11

<0.10

0.166

W

WSR33

20200606

Rainy

Moderate

Mid-Flood

Bottom

6.1

17:28

9.24

8.14

30.56

27.34

1.82

10

<0.10

0.186

W

WSR33

20200606

Rainy

Moderate

Mid-Flood

Middle

3.55

17:29

10.06

8.19

30.91

27.81

1.08

9

<0.10

0.176

W

WSR33

20200606

Rainy

Moderate

Mid-Flood

Middle

3.55

17:29

9.72

8.22

30.49

27.24

1.14

10

<0.10

0.174

NW

WSR33

20200606

Rainy

Moderate

Mid-Flood

Surface

1

17:30

9.73

8.31

31.88

27.3

1.2

10

<0.10

0.192

W

WSR33

20200606

Rainy

Moderate

Mid-Flood

Surface

1

17:30

8.87

8.24

30.83

27.27

0.84

9

<0.10

0.164

NW

WSR36

20200606

Rainy

Moderate

Mid-Flood

Bottom

3.8

17:14

10.11

8.3

31.56

27.47

1.58

11

<0.10

0.175

W

WSR36

20200606

Rainy

Moderate

Mid-Flood

Bottom

3.8

17:14

9.5

8.31

31.17

27.61

1.96

10

<0.10

0.153

W

WSR36

20200606

Rainy

Moderate

Mid-Flood

Surface

1

17:15

10.03

8.17

31.15

27.78

0.93

13

<0.10

0.168

W

WSR36

20200606

Rainy

Moderate

Mid-Flood

Surface

1

17:15

8.52

8.07

31.73

27.72

1.32

14

<0.10

0.135

NW


 

 

WSR37

20200606

Rainy

Moderate

Mid-Flood

Bottom

6.7

16:57

9.04

8.19

32

27.76

1.76

8

<0.10

0.186

SW

WSR37

20200606

Rainy

Moderate

Mid-Flood

Bottom

6.7

16:57

9.86

8.22

31.47

27.44

2.11

8

<0.10

0.181

SW

WSR37

20200606

Rainy

Moderate

Mid-Flood

Middle

3.85

16:58

8.97

8.16

30.81

27.8

0.98

9

<0.10

0.132

W

WSR37

20200606

Rainy

Moderate

Mid-Flood

Middle

3.85

16:58

9.73

8.08

31.5

27.84

1

9

<0.10

0.151

NW

WSR37

20200606

Rainy

Moderate

Mid-Flood

Surface

1

16:59

9.54

8.13

31.96

27.28

0.94

10

<0.10

0.148

W

WSR37

20200606

Rainy

Moderate

Mid-Flood

Surface

1

16:59

10.06

8.21

30.51

27.79

0.75

10

<0.10

0.137

SW

 

Legend

 

 

The data shaped in grey area were collected under heavy rain. The data measured and sampled on 6 June 2020 were not used as baseline reference.


 

 

 

 


 

 

 

 

 

 

 

 

 

 

 

 

Appendix E

 

HOKLAS Laboratory Certificate

 

 

 

 

 

 

 

 

 

 

 

 

Appendix F

 

Water Quality Monitoring Equipment Calibration Certificate